viimane versioon :
31/03/2026
Kuraare-taoline  ravim   Cisatracurium besylate  
Süsteravim
Stabiilsus lahustes Stabiilsust mõjutavad tegurid stabiilsust mõjutavad faktorid Sobimatus Manustamis viis Viited pdf
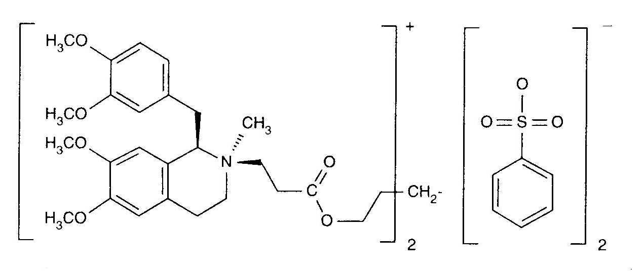
   keemiline struktuur  

Kaubanduslikud nimed erinevates maades   Kaubanduslikud nimed erinevates maades     

Preparaatide nimed on näitlikud ja abianete sisaldus võib erineda sõltuvalt riigist ja laborist

Bensitrak Mehhiko
Besilato de cisatracurio
Cicuryl Mehhiko
Cirium Kolumbia
Cis Atracure
Cisatracurio Brasiilia, Ecuador, Hispaania, Itaalia, Kolumbia, Maroko, Tšiili
Cisatracurium Belgia, Iirimaa, Kanada, Prantsusmaa, Saksamaa, Soome, Suurbritannia, Tuneesia, Ungari
Nimbex Ameerika ühendriigid, Araabia Ühendemiraadid, Austria, Belgia, Ecuador, Egiptus, Hispaania, Holland, Iirimaa, Iraan, Itaalia, Kanada, Kreeka, Luksemburg, Malaisia, Maroko, Mehhiko, Norra, Poola, Portugal, Prantsusmaa, Rootsi, Saksamaa, Saudi Araabia, Sloveenia, Soome, Suurbritannia, Taani, Tšiili, Tuneesia, Türgi, Ungari, Venetsueela
Nimbium Brasiilia, Kolumbia
Stabiilsus lahustes   Süsteravim   Stabiilsus lahustes : Cisatracurium besylate     
konteiner lahusti kontsentratsioon temperatuur ladustamine Stabiilsuse kestus Viited
klaas mitte ükski 10 mg/ml 2-8°C kaitsta valguse eest
450 päev
4769
Tõenduspõhisuse tase A+

klaas mitte ükski 2 & 10 mg/ml 23°C valgusega või ilma valguseta
45 päev
533
Tõenduspõhisuse tase A+

klaas mitte ükski 2 & 10 mg/ml 4°C kaitsta valguse eest
90 päev
533
Tõenduspõhisuse tase A+

polüvinüülkloriid naatriumkloriid 0.9% 0,1 & 2 & 5 mg/ml 4°C kaitsta valguse eest
30 päev
533
Tõenduspõhisuse tase A+

polüvinüülkloriid naatriumkloriid 0.9% 5 mg/ml 23°C valgusega või ilma valguseta
30 päev
533
Tõenduspõhisuse tase A+

polüvinüülkloriid glükoos 5% 0,1 & 2 & 5 mg/ml 4°C kaitsta valguse eest
30 päev
533
Tõenduspõhisuse tase A+

polüvinüülkloriid glükoos 5% 5 mg/ml 23°C valgusega või ilma valguseta
30 päev
533
Tõenduspõhisuse tase A+

polüolefiin naatriumkloriid 0.9% 0,1 mg/ml 23-27°C pole täpsustatud
48 Tund
4358
Tõenduspõhisuse tase C+

polüolefiin naatriumkloriid 0.9% 0,1 mg/ml 4-6°C pole täpsustatud
7 päev
4358
Tõenduspõhisuse tase C+

polüolefiin glükoos 5% 0,1 mg/ml 23-27°C pole täpsustatud
24 Tund
4358
Tõenduspõhisuse tase C+

polüolefiin glükoos 5% 0,1 mg/ml 4-6°C pole täpsustatud
7 päev
4358
Tõenduspõhisuse tase C+

süstal  polüpropüleenist naatriumkloriid 0.9% 0,1 mg/ml 23-27°C pole täpsustatud
2 päev
4358
Tõenduspõhisuse tase C+

süstal  polüpropüleenist naatriumkloriid 0.9% 0,1 mg/ml 4-6°C pole täpsustatud
7 päev
4358
Tõenduspõhisuse tase C+

süstal  polüpropüleenist glükoos 5% 0,1 mg/ml 23-27°C pole täpsustatud
2 päev
4358
Tõenduspõhisuse tase C+

süstal  polüpropüleenist glükoos 5% 0,1 mg/ml 4-6°C pole täpsustatud
2 päev
4358
Tõenduspõhisuse tase C+

süstal  polüpropüleenist mitte ükski 2 mg/ml 23-27°C pole täpsustatud
7 päev
4358
Tõenduspõhisuse tase C+

süstal  polüpropüleenist mitte ükski 2 mg/ml 23°C valgusega või ilma valguseta
30 päev
533
Tõenduspõhisuse tase A+

süstal  polüpropüleenist mitte ükski 2 mg/ml 4-6°C pole täpsustatud
7 päev
4358
Tõenduspõhisuse tase C+

süstal  polüpropüleenist mitte ükski 2 mg/ml 4°C kaitsta valguse eest
30 päev
533
Tõenduspõhisuse tase A+

süstal  polüpropüleenist mitte ükski 5 mg/ml 23-27°C pole täpsustatud
7 päev
4358
Tõenduspõhisuse tase C+

süstal  polüpropüleenist mitte ükski 5 mg/ml 4-6°C pole täpsustatud
7 päev
4358
Tõenduspõhisuse tase C+


  Mentions Légales