Última actualização :
31/03/2026
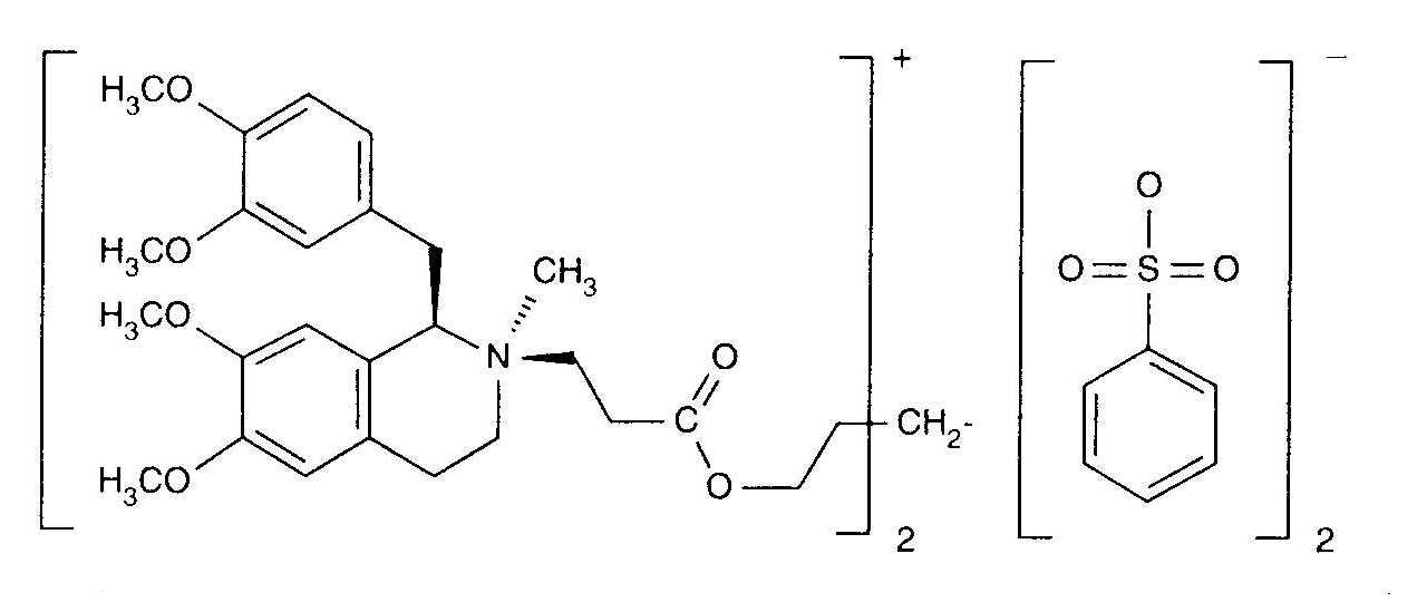
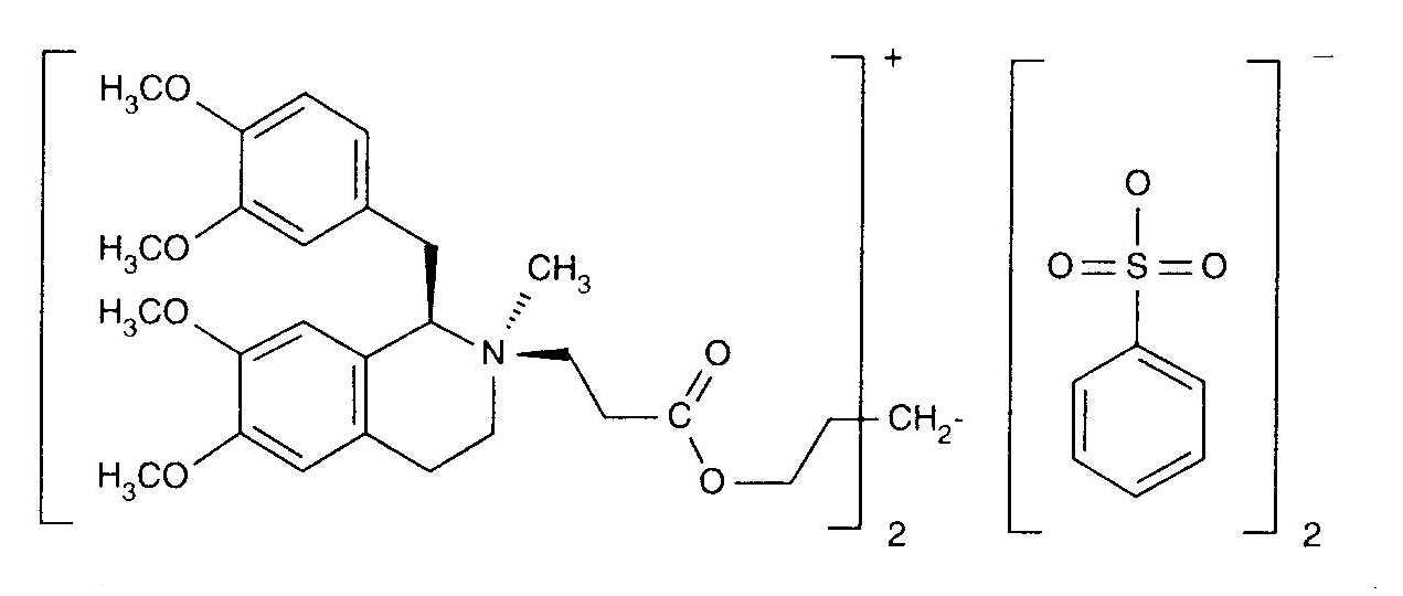
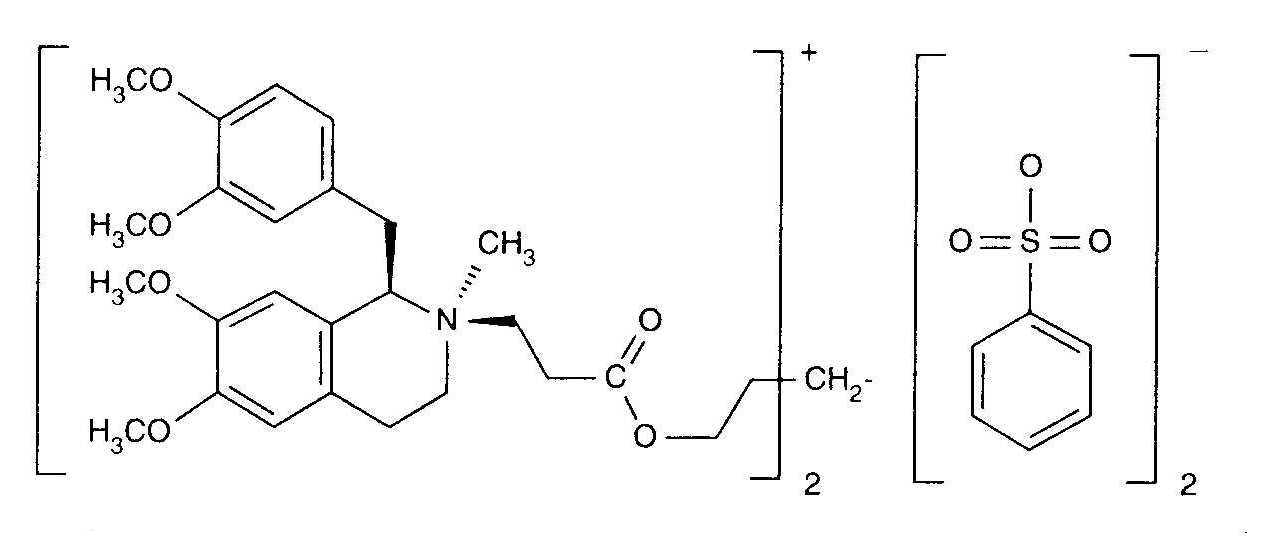
Curarizante   Cisatracurium besylate  
injetável
Estabilidade em soluções simples Estabilidade em misturas Factores que afectam a sua estabilidade Compatibilidade Método de administração Bibliografía pdf
   estrutura química  

Nomes comerciais nos diversos países   Nomes comerciais nos diversos países     

OS NOMES COMERCIAIS SÃO INDICATIVOS E OS EXCIPIENTES DA FORMULAÇÃO PODEM SER DIFERENTES CONFORME O PAÍS E FABRICANTE.

Bensitrak México
Besilato de cisatracurio
Cicuryl México
Cirium Colômbia
Cis Atracure
Cisatracurio Brasil, Chilli, Colômbia, Equator, Espanha, Itália, Peru
Cisatracurium Alemanha, Bélgica, Canadá, Finlandia, França, Gran-bretanha, Hungria, Irlanda, Tunísia
Nimbex Alemanha, Arábia Saudita, Austria, Bélgica, Canadá, Chilli, Dinamarca, Egipto, Emirados Árabes Unidos, Equator, Eslovenia, Espanha, Estados Unidos de América, Finlandia, França, Gran-bretanha, Grècia, Hungria, Irã, Irlanda, Itália, Luxemburgo, Malásia, México, Noruega, Países Baixos, Peru, Polonia, Portugal, Suècia, Tunísia, Turquia, Venezuela
Nimbium Brasil, Colômbia
Estabilidade em soluções simples   injetável   Estabilidade em soluções simples : Cisatracurium besylate     
Embalagem Solvente concentração temperatura conservação Duração da estabilidade Bibliografia
vidro nenhum 10 mg/ml 2-8°C ao abrigo da luz
450 dia
4769
Nível de evidência A+

vidro nenhum 2 & 10 mg/ml 23°C Com ou sem luz
45 dia
533
Nível de evidência A+

vidro nenhum 2 & 10 mg/ml 4°C ao abrigo da luz
90 dia
533
Nível de evidência A+

Cloreto de polivinilo cloreto de sódio 0,9% 0,1 & 2 & 5 mg/ml 4°C ao abrigo da luz
30 dia
533
Nível de evidência A+

Cloreto de polivinilo cloreto de sódio 0,9% 5 mg/ml 23°C Com ou sem luz
30 dia
533
Nível de evidência A+

Cloreto de polivinilo Glucose 5% 0,1 & 2 & 5 mg/ml 4°C ao abrigo da luz
30 dia
533
Nível de evidência A+

Cloreto de polivinilo Glucose 5% 5 mg/ml 23°C Com ou sem luz
30 dia
533
Nível de evidência A+

Poliolefina cloreto de sódio 0,9% 0,1 mg/ml 23-27°C no especificado
48 hora
4358
Nível de evidência C+

Poliolefina cloreto de sódio 0,9% 0,1 mg/ml 4-6°C no especificado
7 dia
4358
Nível de evidência C+

Poliolefina Glucose 5% 0,1 mg/ml 23-27°C no especificado
24 hora
4358
Nível de evidência C+

Poliolefina Glucose 5% 0,1 mg/ml 4-6°C no especificado
7 dia
4358
Nível de evidência C+

seringa polipropylen cloreto de sódio 0,9% 0,1 mg/ml 23-27°C no especificado
2 dia
4358
Nível de evidência C+

seringa polipropylen cloreto de sódio 0,9% 0,1 mg/ml 4-6°C no especificado
7 dia
4358
Nível de evidência C+

seringa polipropylen Glucose 5% 0,1 mg/ml 23-27°C no especificado
2 dia
4358
Nível de evidência C+

seringa polipropylen Glucose 5% 0,1 mg/ml 4-6°C no especificado
2 dia
4358
Nível de evidência C+

seringa polipropylen nenhum 2 mg/ml 23-27°C no especificado
7 dia
4358
Nível de evidência C+

seringa polipropylen nenhum 2 mg/ml 23°C Com ou sem luz
30 dia
533
Nível de evidência A+

seringa polipropylen nenhum 2 mg/ml 4-6°C no especificado
7 dia
4358
Nível de evidência C+

seringa polipropylen nenhum 2 mg/ml 4°C ao abrigo da luz
30 dia
533
Nível de evidência A+

seringa polipropylen nenhum 5 mg/ml 23-27°C no especificado
7 dia
4358
Nível de evidência C+

seringa polipropylen nenhum 5 mg/ml 4-6°C no especificado
7 dia
4358
Nível de evidência C+


  Mentions Légales