Son güncelleme :
31/03/2026
Kurarimimetik   Cisatracurium besylate  
Enjeksiyon
Çözeltilerin stabilitesi Karışımlardaki stabilitesi Stabiliteyi etkileyen faktörler Uyumluluk Uygulama yöntemi Kaynaklar pdf
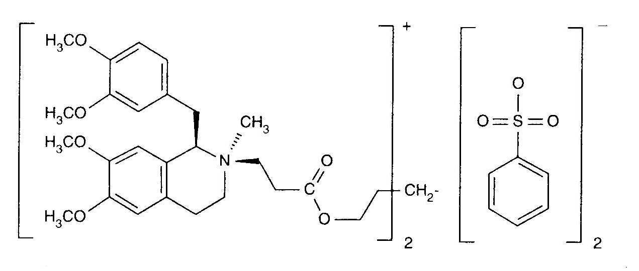
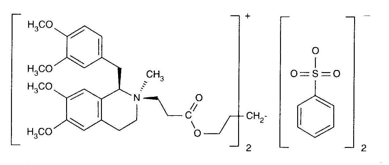
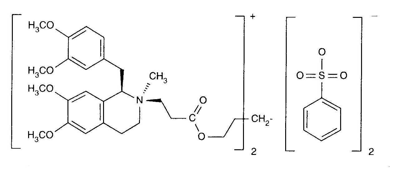
   Kimyasal yapı   

Ticari isim   Ticari isim     

Trade names are indicative and excipients composition can be different depending on the country and manufacturers

Bensitrak Meksika
Besilato de cisatracurio
Cicuryl Meksika
Cirium Kolombiya
Cis Atracure
Cisatracurio Brezilya, Ekvador, İspanya, İtalya, Kolombiya, Peru, Şili
Cisatracurium Almanya, Belçika, Büyük Britanya, Finlandiya, Fransa, İrlanda, Kanada, Macaristan, Tunus
Nimbex Almanya, Amerika Birleşik Devletleri, Avusturya, Belçika, Birleşik Arap Emirlikleri, Büyük Britanya, Danimarka, Ekvador, Finlandiya, Fransa, Hollanda, İran, İrlanda, İspanya, İsveç, İtalya, Kanada, Lüksemburg, Macaristan, Malezya, Meksika, Mısır, Norveç, Peru, Polonya, Portekiz, Şili, Slovenya, Suudi Arabistan, Tunus, Türkiye, Venezuela, Yunanistan
Nimbium Brezilya, Kolombiya
Çözeltilerin stabilitesi   Enjeksiyon    Çözeltilerin stabilitesi : Cisatracurium besylate     
Saklama kabı Çözücü Konsantrasyon Isı Saklama    Stabilite süresi Kaynaklar
Cam Yok 10 mg/ml 2-8°C Işıktan koruyunuz
450 Gün
4769
Kanıt düzeyi A+

Cam Yok 2 & 10 mg/ml 23°C Işıklı veya ışıksız
45 Gün
533
Kanıt düzeyi A+

Cam Yok 2 & 10 mg/ml 4°C Işıktan koruyunuz
90 Gün
533
Kanıt düzeyi A+

Polivinil klorür Sodyum klorür % 0,9 0,1 & 2 & 5 mg/ml 4°C Işıktan koruyunuz
30 Gün
533
Kanıt düzeyi A+

Polivinil klorür Sodyum klorür % 0,9 5 mg/ml 23°C Işıklı veya ışıksız
30 Gün
533
Kanıt düzeyi A+

Polivinil klorür Glukoz %5 0,1 & 2 & 5 mg/ml 4°C Işıktan koruyunuz
30 Gün
533
Kanıt düzeyi A+

Polivinil klorür Glukoz %5 5 mg/ml 23°C Işıklı veya ışıksız
30 Gün
533
Kanıt düzeyi A+

Poliolefin Sodyum klorür % 0,9 0,1 mg/ml 23-27°C Belirtilmemiş
48 Zaman
4358
Kanıt düzeyi C+

Poliolefin Sodyum klorür % 0,9 0,1 mg/ml 4-6°C Belirtilmemiş
7 Gün
4358
Kanıt düzeyi C+

Poliolefin Glukoz %5 0,1 mg/ml 23-27°C Belirtilmemiş
24 Zaman
4358
Kanıt düzeyi C+

Poliolefin Glukoz %5 0,1 mg/ml 4-6°C Belirtilmemiş
7 Gün
4358
Kanıt düzeyi C+

Şırınga polipropilen Sodyum klorür % 0,9 0,1 mg/ml 23-27°C Belirtilmemiş
2 Gün
4358
Kanıt düzeyi C+

Şırınga polipropilen Sodyum klorür % 0,9 0,1 mg/ml 4-6°C Belirtilmemiş
7 Gün
4358
Kanıt düzeyi C+

Şırınga polipropilen Glukoz %5 0,1 mg/ml 23-27°C Belirtilmemiş
2 Gün
4358
Kanıt düzeyi C+

Şırınga polipropilen Glukoz %5 0,1 mg/ml 4-6°C Belirtilmemiş
2 Gün
4358
Kanıt düzeyi C+

Şırınga polipropilen Yok 2 mg/ml 23-27°C Belirtilmemiş
7 Gün
4358
Kanıt düzeyi C+

Şırınga polipropilen Yok 2 mg/ml 23°C Işıklı veya ışıksız
30 Gün
533
Kanıt düzeyi A+

Şırınga polipropilen Yok 2 mg/ml 4-6°C Belirtilmemiş
7 Gün
4358
Kanıt düzeyi C+

Şırınga polipropilen Yok 2 mg/ml 4°C Işıktan koruyunuz
30 Gün
533
Kanıt düzeyi A+

Şırınga polipropilen Yok 5 mg/ml 23-27°C Belirtilmemiş
7 Gün
4358
Kanıt düzeyi C+

Şırınga polipropilen Yok 5 mg/ml 4-6°C Belirtilmemiş
7 Gün
4358
Kanıt düzeyi C+


  Mentions Légales