Utolsó frissítés :
31/03/2026
Izombénító   Cisatracurium besylate  
Injekció
Az oldatok stabilitása A keverékek stabilitása Stabilitást befolyásoló tényezők Kompatibilitás Az alkalmazás módja Irodalom pdf
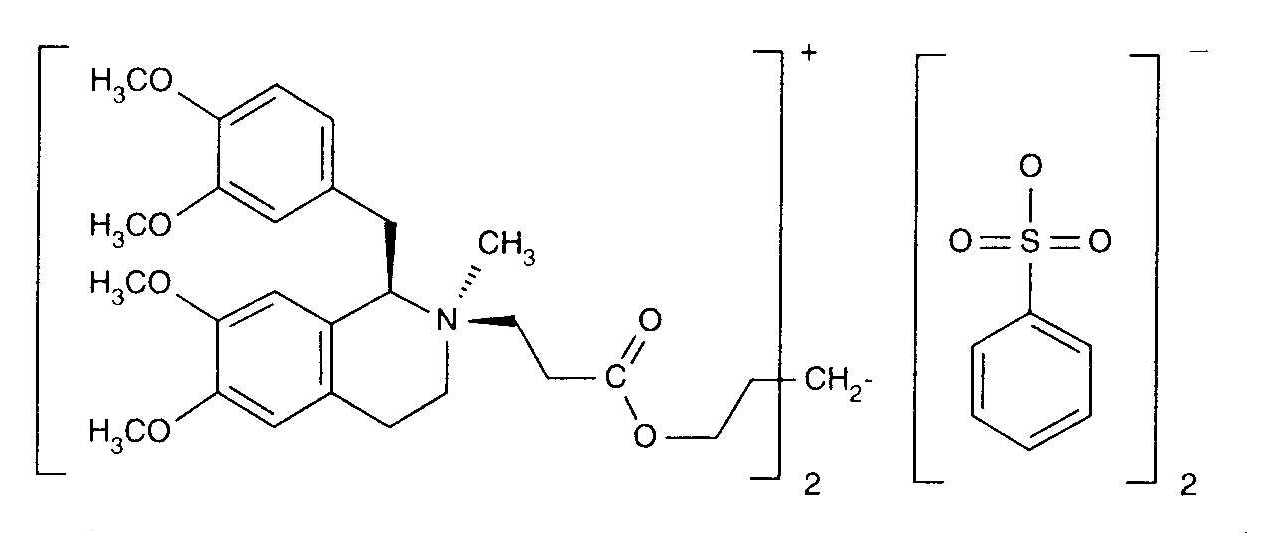
   Kémiai szerkezet   

Kereskedelmi név   Kereskedelmi név     

A kereskedelmi név meghatározó jelentőségű: a készítmények összetétele országonként, előállítóként eltérő lehet

Bensitrak Mexikó
Besilato de cisatracurio
Cicuryl Mexikó
Cirium Colombia
Cis Atracure
Cisatracurio Brazília, Chile, Colombia, Ecuador, Olaszország, Peru, Spanyolország
Cisatracurium Belgium, Finnország, Franciaország, Írország, Kanada, Magyarország, Nagy-Britannia, Németország, Tunézia
Nimbex Amerikai Egyesült Államok, Ausztria, Belgium, Chile, Dánia, Ecuador, Egyesült Arab Emírségek, Egyiptom, Finnország, Franciaország, Görögország, Hollandia, Irán, Írország, Kanada, Lengyelország, Luxemburg, Magyarország, Malaysia, Mexikó, Nagy-Britannia, Németország, Norvégia, Olaszország, Peru, Portugália, Spanyolország, Svédország, Szaúd-Arábiában, Szlovénia, Törökország, Tunézia, Venezuela
Nimbium Brazília, Colombia
Az oldatok stabilitása   Injekció   Az oldatok stabilitása : Cisatracurium besylate     
Csomagolás Oldószer Koncentráció Hőmérséklet Tárolás A stabilitás időtartama Irodalom
Üveg Egy sem 10 mg/ml 2-8°C Fénytől védve tartandó
450 Nap
4769
Szintű bizonyítékot A+

Üveg Egy sem 2 & 10 mg/ml 23°C Fénnyel vagy anélkül
45 Nap
533
Szintű bizonyítékot A+

Üveg Egy sem 2 & 10 mg/ml 4°C Fénytől védve tartandó
90 Nap
533
Szintű bizonyítékot A+

Poli(vinilklorid) 0,9% nátrium-klorid 0,1 & 2 & 5 mg/ml 4°C Fénytől védve tartandó
30 Nap
533
Szintű bizonyítékot A+

Poli(vinilklorid) 0,9% nátrium-klorid 5 mg/ml 23°C Fénnyel vagy anélkül
30 Nap
533
Szintű bizonyítékot A+

Poli(vinilklorid) 5% glükóz 0,1 & 2 & 5 mg/ml 4°C Fénytől védve tartandó
30 Nap
533
Szintű bizonyítékot A+

Poli(vinilklorid) 5% glükóz 5 mg/ml 23°C Fénnyel vagy anélkül
30 Nap
533
Szintű bizonyítékot A+

Poliolefin 0,9% nátrium-klorid 0,1 mg/ml 23-27°C Nincs meghatározva
48 Óra
4358
Szintű bizonyítékot C+

Poliolefin 0,9% nátrium-klorid 0,1 mg/ml 4-6°C Nincs meghatározva
7 Nap
4358
Szintű bizonyítékot C+

Poliolefin 5% glükóz 0,1 mg/ml 23-27°C Nincs meghatározva
24 Óra
4358
Szintű bizonyítékot C+

Poliolefin 5% glükóz 0,1 mg/ml 4-6°C Nincs meghatározva
7 Nap
4358
Szintű bizonyítékot C+

fecskendő polipropilén 0,9% nátrium-klorid 0,1 mg/ml 23-27°C Nincs meghatározva
2 Nap
4358
Szintű bizonyítékot C+

fecskendő polipropilén 0,9% nátrium-klorid 0,1 mg/ml 4-6°C Nincs meghatározva
7 Nap
4358
Szintű bizonyítékot C+

fecskendő polipropilén 5% glükóz 0,1 mg/ml 23-27°C Nincs meghatározva
2 Nap
4358
Szintű bizonyítékot C+

fecskendő polipropilén 5% glükóz 0,1 mg/ml 4-6°C Nincs meghatározva
2 Nap
4358
Szintű bizonyítékot C+

fecskendő polipropilén Egy sem 2 mg/ml 23-27°C Nincs meghatározva
7 Nap
4358
Szintű bizonyítékot C+

fecskendő polipropilén Egy sem 2 mg/ml 23°C Fénnyel vagy anélkül
30 Nap
533
Szintű bizonyítékot A+

fecskendő polipropilén Egy sem 2 mg/ml 4-6°C Nincs meghatározva
7 Nap
4358
Szintű bizonyítékot C+

fecskendő polipropilén Egy sem 2 mg/ml 4°C Fénytől védve tartandó
30 Nap
533
Szintű bizonyítékot A+

fecskendő polipropilén Egy sem 5 mg/ml 23-27°C Nincs meghatározva
7 Nap
4358
Szintű bizonyítékot C+

fecskendő polipropilén Egy sem 5 mg/ml 4-6°C Nincs meghatározva
7 Nap
4358
Szintű bizonyítékot C+


  Mentions Légales