Senaste uppdateringen :
31/03/2026
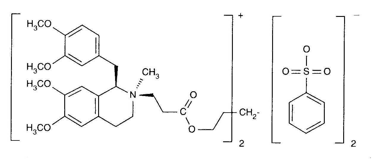
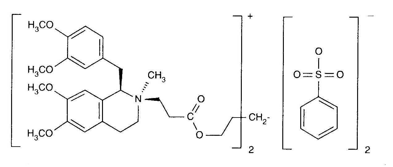
Muskel avslappande medel   Cisatracurium besylate  
injektion
Lösningars stabilitet Stabilitet i blandningar Faktorer som påverkar stabiliteten Kompatibilitet Administreringssätt Hänvisningar pdf
   Molekylstruktur  

Varunamn   Varunamn     

Angivna handelsnamn på läkemedel är enbart vägledande då formulering inklusive hjälpämnen kan variera mellan länder och tillverkare

Bensitrak Mexiko
Besilato de cisatracurio
Cicuryl Mexiko
Cirium Colombia
Cis Atracure
Cisatracurio Brasilien, Chile, Colombia, Ecuador, Italien, Peru, Spanien
Cisatracurium Belgien, Finland, Frankrike, Irland, Kanada, Storbritannien, Tunisien, Tyskland, Ungern
Nimbex Belgien, Chile, Danmark, Ecuador, Egypten, Finland, Förenade Arabemiraten, Förenta Staterna, Frankrike, Grekland, Iran, Irland, Italien, Kanada, Luxemburg, Malaysia, Mexiko, Nederländerna, Norge, Österrike, Peru, Polen, Portugal, Saudi-Arabien, Slovenien, Spanien, Storbritannien, Sverige, Tunisien, Turkiet, Tyskland, Ungern, Venezuela
Nimbium Brasilien, Colombia
Administreringssätt   Administreringssätt :Cisatracurium besylate     
Voie
Intravenös
Långtidsinfusion

  Mentions Légales