Última actualización :
31/03/2026
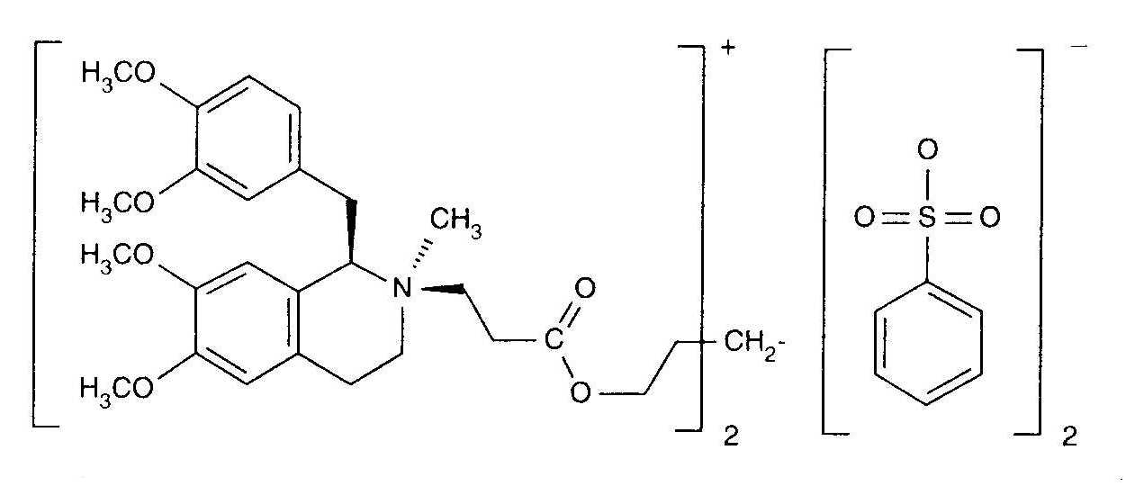
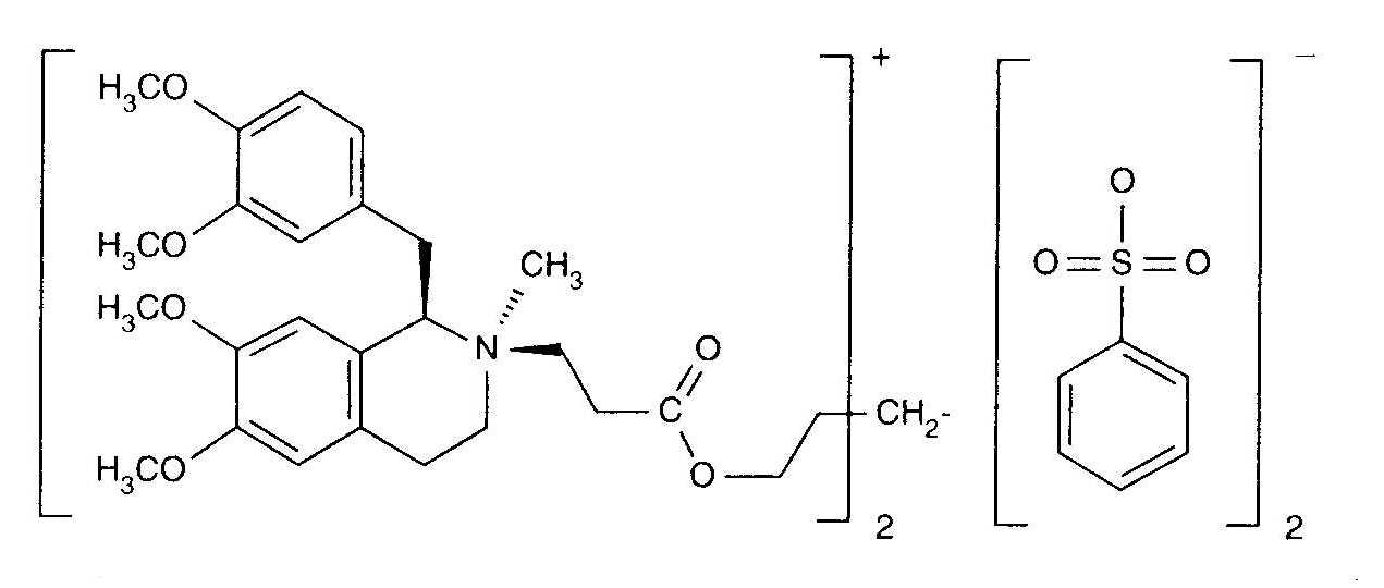
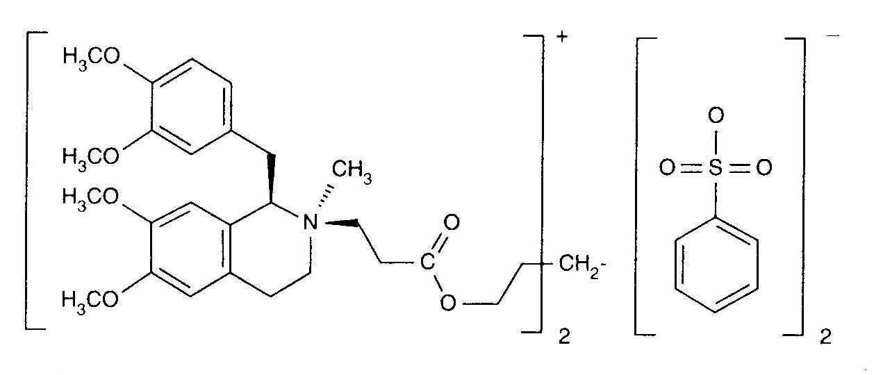
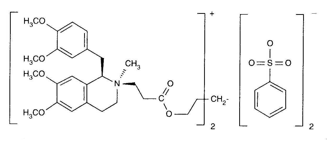
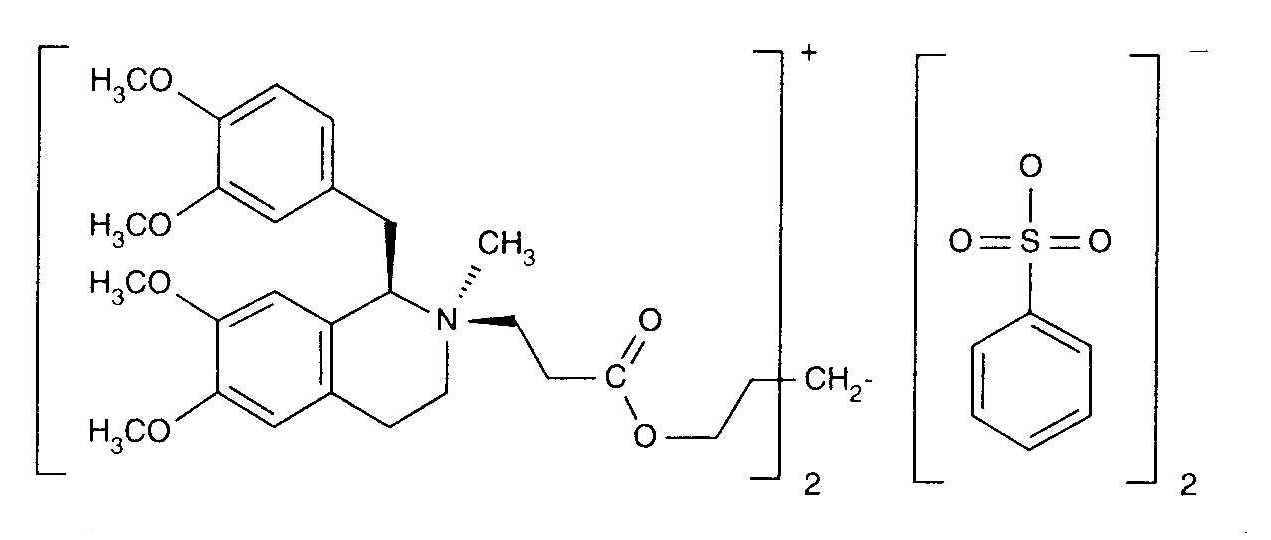
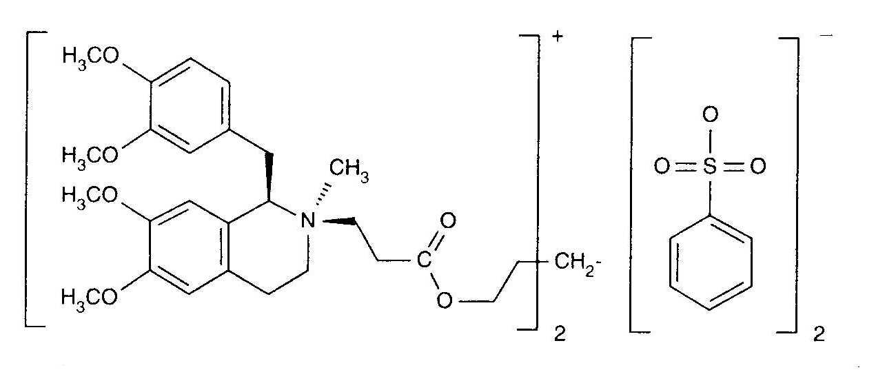
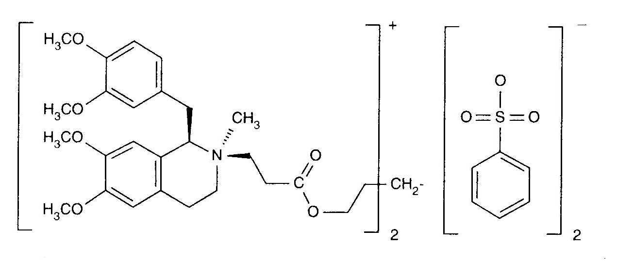
Curarizante   Cisatracurium besylate  
Inyectables
Estabilidad en solucion Estabilidad en mezcla Factores que influyen sobre la estabilidad Compatibilidades método de inyección Bibliografía pdf
   Estructura química  

Nombre comercial   Nombre comercial     

Los nombres comerciales son orientativos y los excipientes de la formulación pueden ser distintos dependiendo del país y del laboratorio fabricante.

Bensitrak México
Besilato de cisatracurio
Cicuryl México
Cirium Colombia
Cis Atracure
Cisatracurio Brasil, Chile, Colombia, Ecuador, España, Italia, Marruecos
Cisatracurium Alemania, Bélgica, Canadá, Finlandia, Francia, Gran Bretaña, Hungría, Irlanda, Túnez
Nimbex Alemania, Arabia Saudita, Austria, Bélgica, Canadá, Chile, Dinamarca, Ecuador, Egipto, Emiratos Árabes Unidos, Eslovenia, España, Estados Unidos de América, Finlandia, Francia, Gran Bretaña, Grecia, Hungría, Irán, Irlanda, Italia, Luxemburgo, Malasia, Marruecos, México, Noruega, Países Bajos, Polonia, Portugal, Suecia, Túnez, Turquía, Venezuela
Nimbium Brasil, Colombia
método de inyección   método de inyección :Cisatracurium besylate     
Voie
Intravenoso
Perfusión continua

  Mentions Légales