Τελευταία ενημέρωση :
31/03/2026
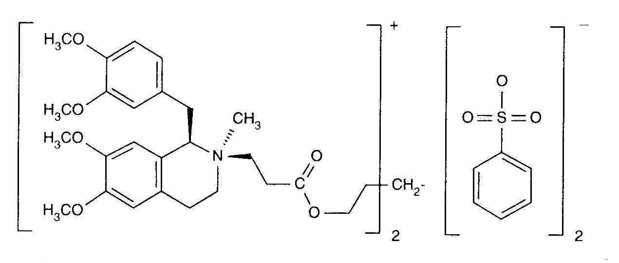
Κουραριομιμητικό   Cisatracurium besylate  
Ενέσιμο
Σταθερότητα διαλυμάτων Σταθερότητα σε μίγματα Παράγοντας που επηρεάζει τη σταθερότητα Συμβατότητες Τρόπος χορήγησης Βιβλιογραφία pdf
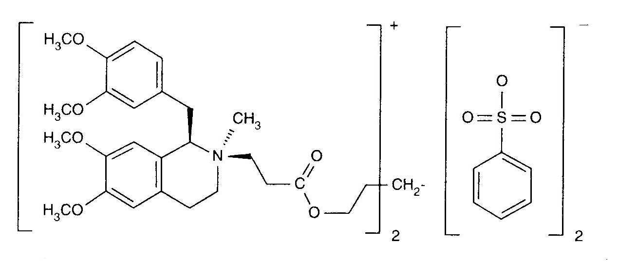
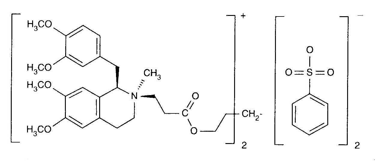
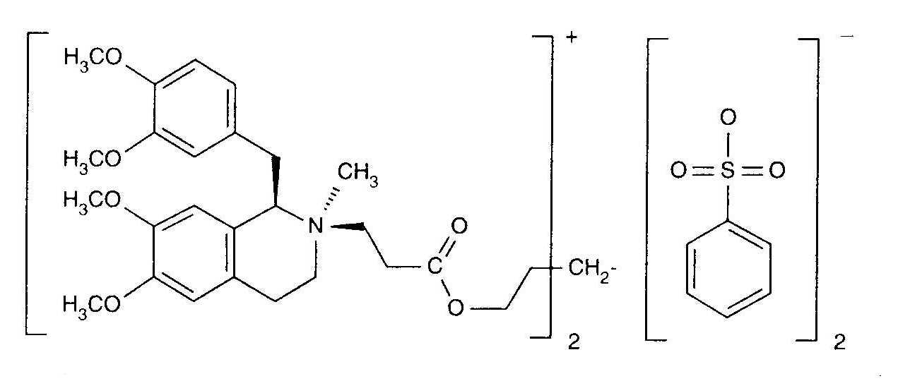
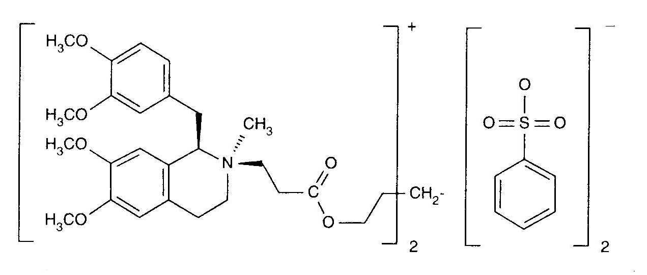
   χημική δομή  

Εμπορική ονομασία   Εμπορική ονομασία     

Οι εμπορικές ονομασίες είναι ενδεικτικές και η σύνθεση των εκδόχων μπορεί να διαφέρει ανάλογα με τη χώρα και τα εργαστήρια

Bensitrak Μεξικό
Besilato de cisatracurio
Cicuryl Μεξικό
Cirium Κολομβία
Cis Atracure
Cisatracurio Βραζιλία, Εκουαδόρ, Ισπανία, Ιταλία, Κολομβία, Περού, Χιλή
Cisatracurium Βέλγιο, Γαλλία, Γερμανία, Ιρλανδία, Καναδάς, Μεγάλη Βρετανία, Ουγγαρία, Τυνησία, Φινλανδία
Nimbex Yhdistyneet arabiemiirikunnat, Αίγυπτος, Αυστρία, Βέλγιο, Βενεζουέλα, Γαλλία, Γερμανία, Δανία, Εκουαδόρ, Ελλάδα, Η.Π.Α., Ιράν, Ιρλανδία, Ισπανία, Ιταλία, Καναδάς, Λουξεμβούργο, Μαλαισία, Μεγάλη Βρετανία, Μεξικό, Νορβηγία, Ολλανδία, Ουγγαρία, Περού, Πολωνία, Πορτογαλία, Σαουδική Αραβία, Σλοβενία, Σουηδία, Τουρκία, Τυνησία, Φινλανδία, Χιλή
Nimbium Βραζιλία, Κολομβία
Τρόπος χορήγησης   Τρόπος χορήγησης :Cisatracurium besylate     
Voie
Ενδοφλέβια
Συνεχής έκχυση υγρού

  Mentions Légales