Zadnji put ažurirano :
31/03/2026
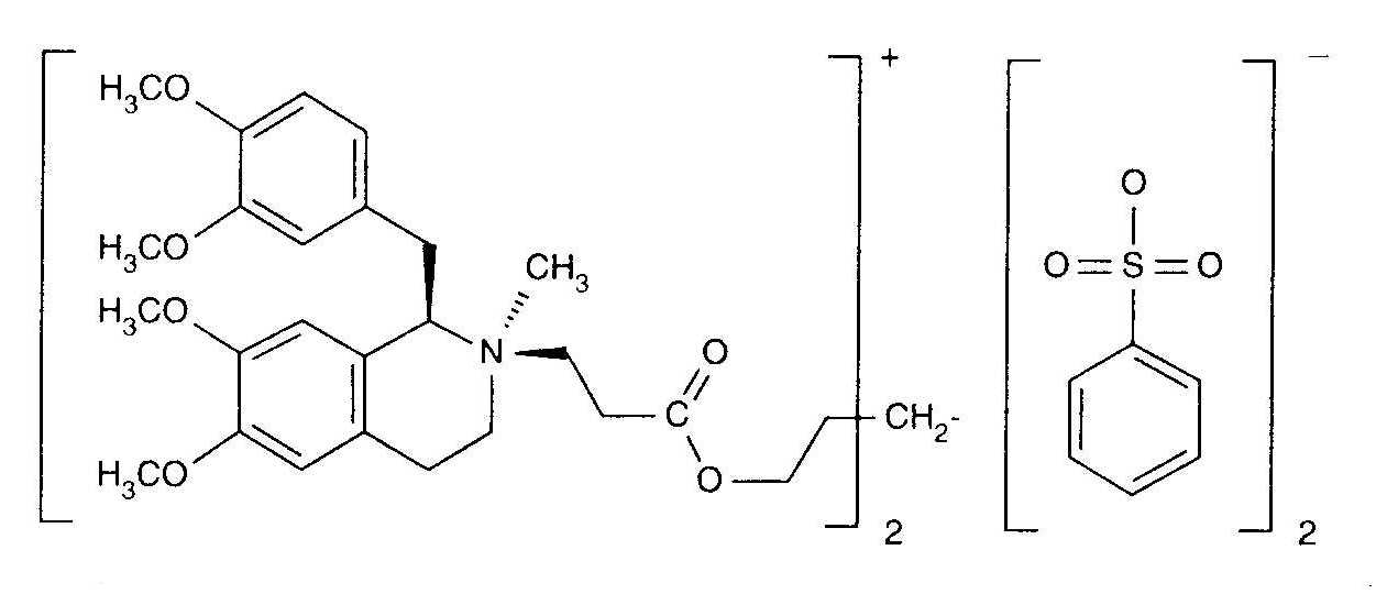
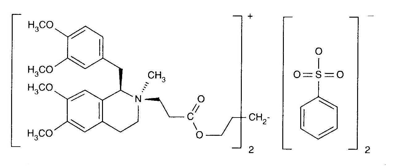
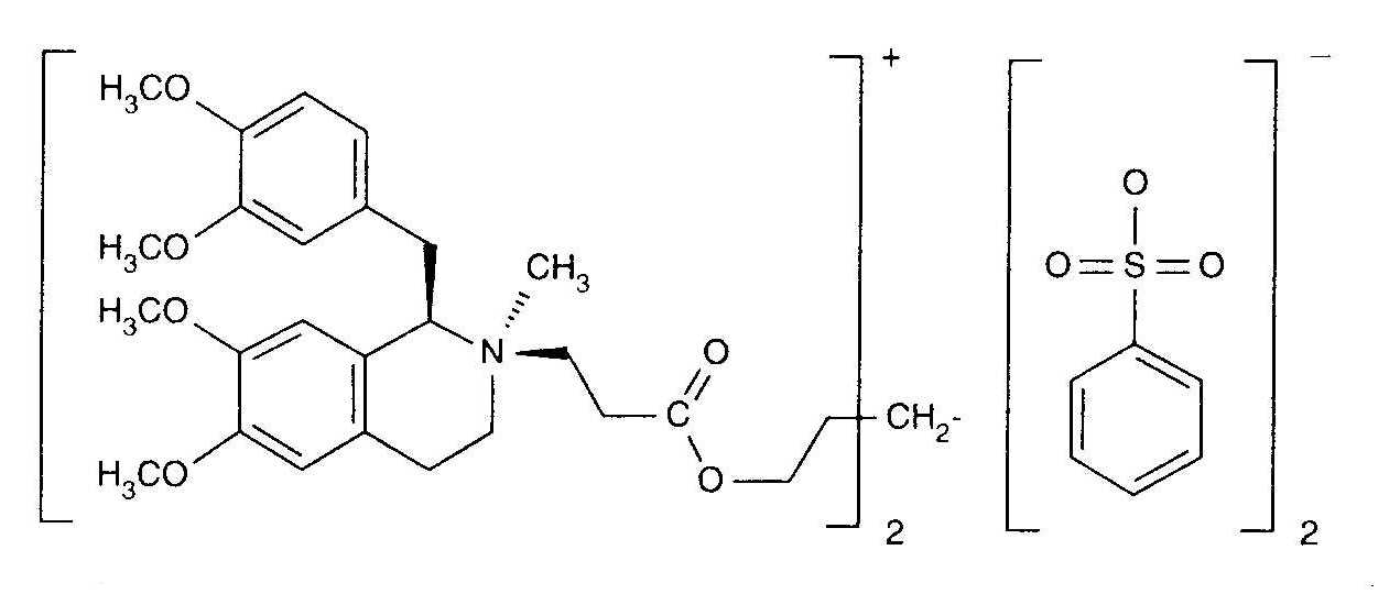
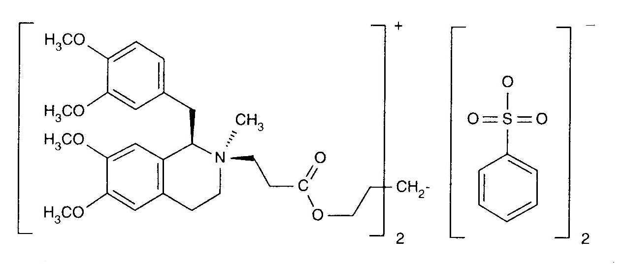
narkotizirajuće djelovanje pomoću kurarina   Cisatracurium besylate  
injekcija
Stabilizacija rješenja Stabilnost mješavine Stabilizacijski faktor Kompatibilnosti način davanja lijeka Bibliografija pdf
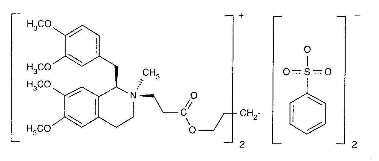
   Kemijska struktura  

Nekomercijalni   Nekomercijalni     

Zaštićeni nazivi su indikativni i sastav ekscipijensa može biti različit ovisno o državi i laboratorijima

Bensitrak Meksiko
Besilato de cisatracurio
Cicuryl Meksiko
Cirium Kolumbija
Cis Atracure
Cisatracurio Brazil, Čile, Ekvador, Italija, Kolumbija, Peru, Španjolska
Cisatracurium Belgija, Finska, Francuska, Irska, Kanada, Madžarska, Njemačka, Tunis, Velika Britanija
Nimbex Austrija, Belgija, Čile, Danska, Egipat, Ekvador, Finska, Francuska, Grčka, Iran, Irska, Italija, Kanada, Luksemburg, Madžarska, Malezija, Meksiko, Nizozemska, Njemačka, Norveška, Peru, Poljska, Portugal, S A D, Saudijska Arabija, Slovenija, Španjolska, Švedska, Tunis, Turska, Ujedinjeni Arapski Emirati, Velika Britanija, Venecuela
Nimbium Brazil, Kolumbija
način davanja lijeka   način davanja lijeka :Cisatracurium besylate     
Voie
intravenozno
trajna perfuzija

  Mentions Légales