Última actualização :
31/03/2026
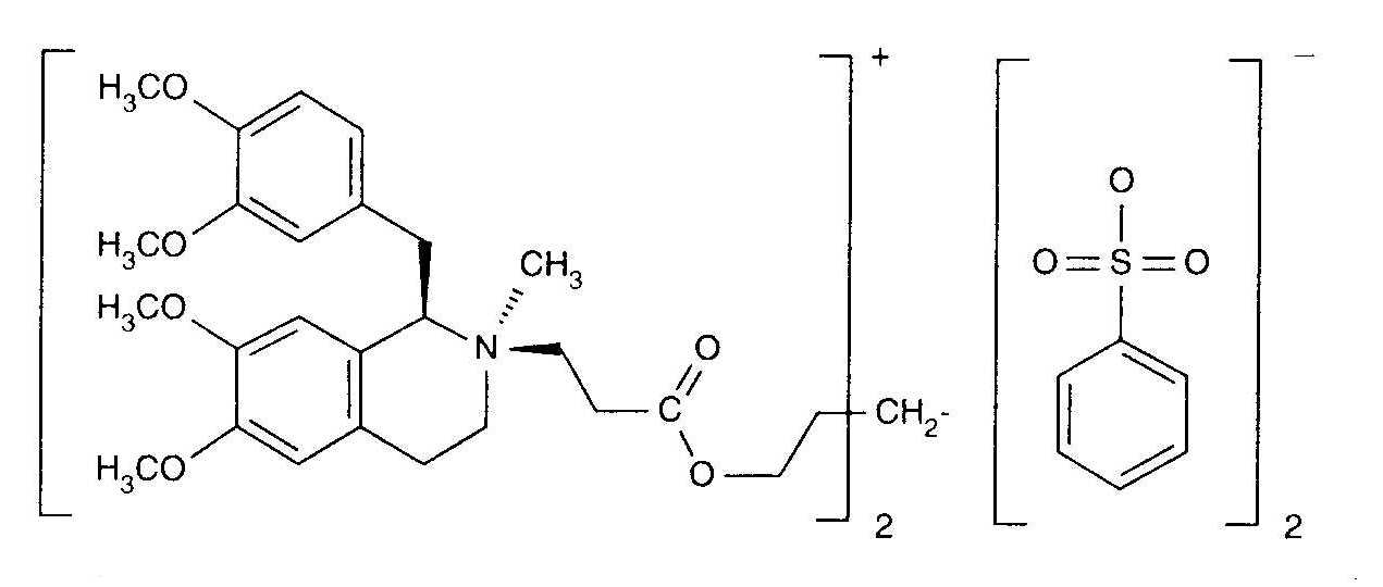
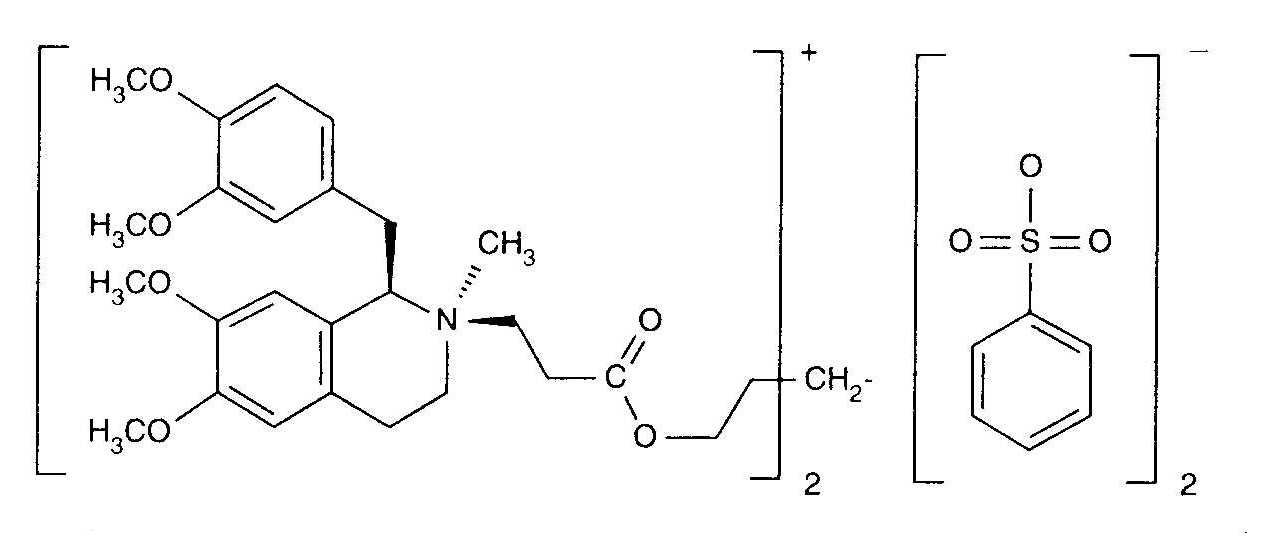
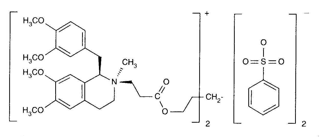
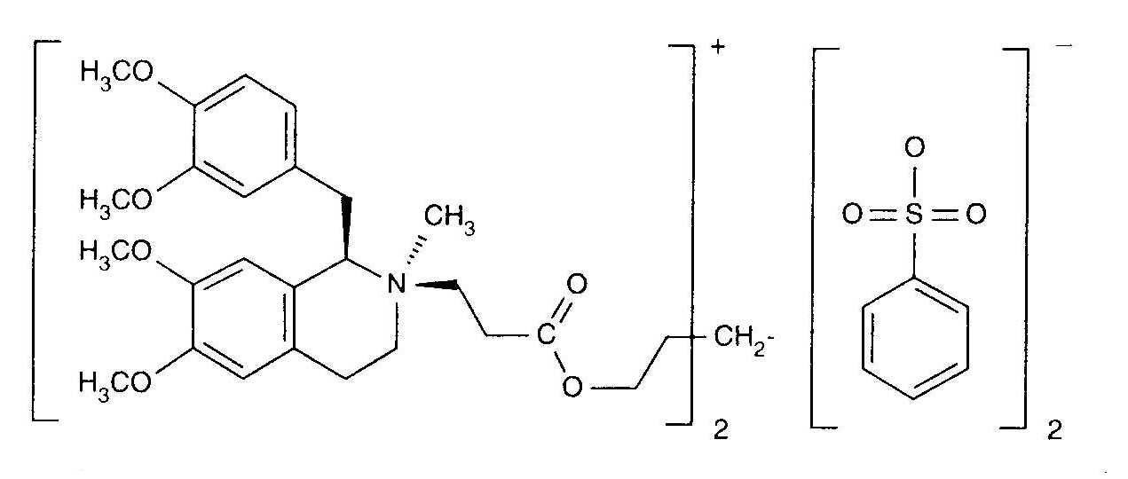
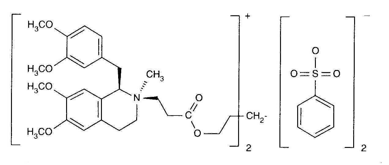
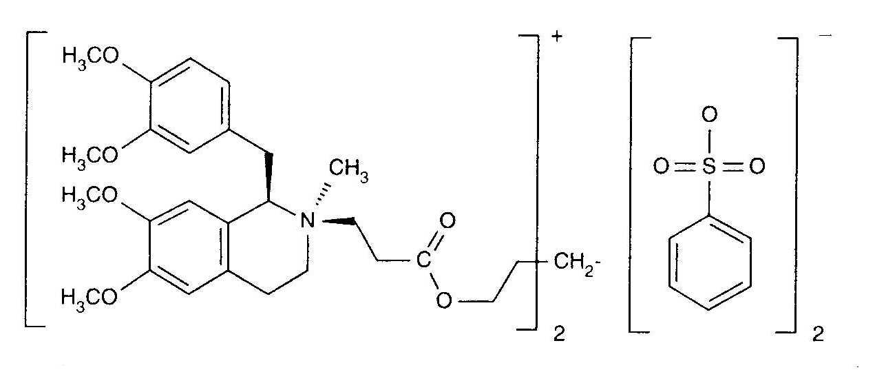
Curarizante   Cisatracurium besylate  
injetável
Estabilidade em soluções simples Estabilidade em misturas Factores que afectam a sua estabilidade Compatibilidade Método de administração Bibliografía pdf
   estrutura química  

Nomes comerciais nos diversos países   Nomes comerciais nos diversos países     

OS NOMES COMERCIAIS SÃO INDICATIVOS E OS EXCIPIENTES DA FORMULAÇÃO PODEM SER DIFERENTES CONFORME O PAÍS E FABRICANTE.

Bensitrak México
Besilato de cisatracurio
Cicuryl México
Cirium Colômbia
Cis Atracure
Cisatracurio Brasil, Chilli, Colômbia, Equator, Espanha, Itália, Peru
Cisatracurium Alemanha, Bélgica, Canadá, Finlandia, França, Gran-bretanha, Hungria, Irlanda, Tunísia
Nimbex Alemanha, Arábia Saudita, Austria, Bélgica, Canadá, Chilli, Dinamarca, Egipto, Emirados Árabes Unidos, Equator, Eslovenia, Espanha, Estados Unidos de América, Finlandia, França, Gran-bretanha, Grècia, Hungria, Irã, Irlanda, Itália, Luxemburgo, Malásia, México, Noruega, Países Baixos, Peru, Polonia, Portugal, Suècia, Tunísia, Turquia, Venezuela
Nimbium Brasil, Colômbia
Método de administração   Método de administração :Cisatracurium besylate     
Voie
intravenoso
Perfusão continua

  Mentions Légales