Seneste opdatering :
31/03/2026
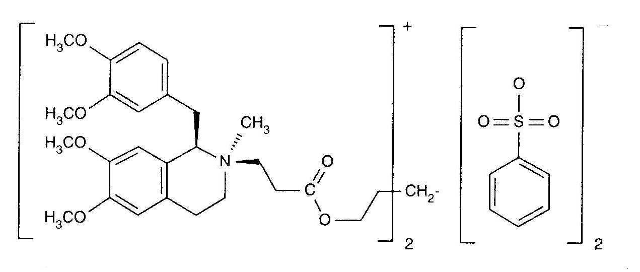
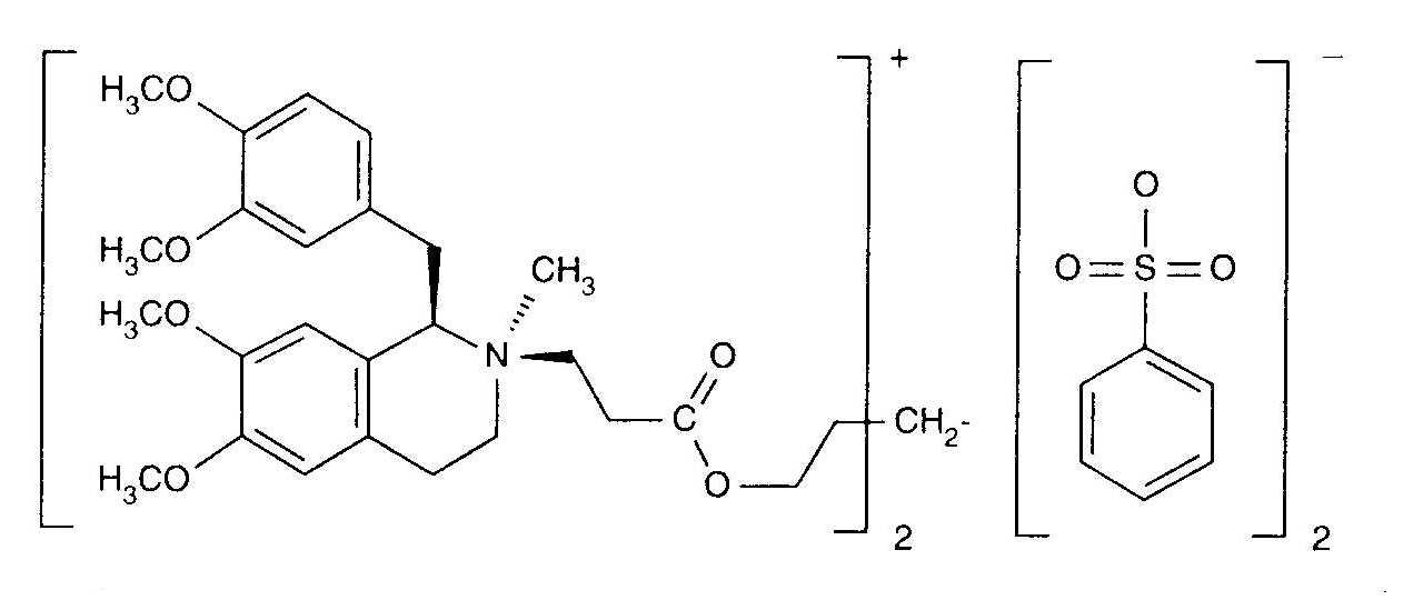
Curamimetisk   Cisatracurium besylate  
Injektion
Stabilitet i (vandige) opløsninger Stabilitet i blandinger Faktorer der påvirker stabiliteten Kompatibilitet Administrationsvej Bibliografi pdf
   Kemisk struktur  

Handelsnavn   Handelsnavn     

Handel navne er vejledende og hjælpestoffer sammensætning kan være forskellig afhængigt af landet og laboratorier

Bensitrak Mexico
Besilato de cisatracurio
Cicuryl Mexico
Cirium Colombia
Cis Atracure
Cisatracurio Brasilien, Chile, Colombia, Ecuador, Italien, Marokko, Spanien
Cisatracurium Belgien, Canada, Finland, Frankrig, Irland, Storbritanien, Tunesien, Tyskland, Ungarn
Nimbex Belgien, Canada, Chile, Danmark, Ecuador, Finland, Forenede Arabiske Emirater, Frankrig, Grækenland, Holland, Iran, Irland, Italien, Luxemborg, Malaysia, Marokko, Mexico, Norge, Polen, Portugal, Saudi-Arabien, Slovenien, Spanien, Storbritanien, Sverige, Tunesien, Tyrkiet, Tyskland, Ungarn, USA, Venezuela, Ægypten, Østrig
Nimbium Brasilien, Colombia
Administrationsvej   Administrationsvej :Cisatracurium besylate     
Voie
Intravenøs
Kontinuert infusion

  Mentions Légales