Pēdējā atjaunošana :
18/03/2026
Kurarīnmimētiķis   Pancuronium bromide  
Injekcija
Šķīduma stabilitāte Maisījuma stabilitāte Stabilitāti ietekmējoši faktori Saderība Levadīšanas veids Literatūras saraksts pdf
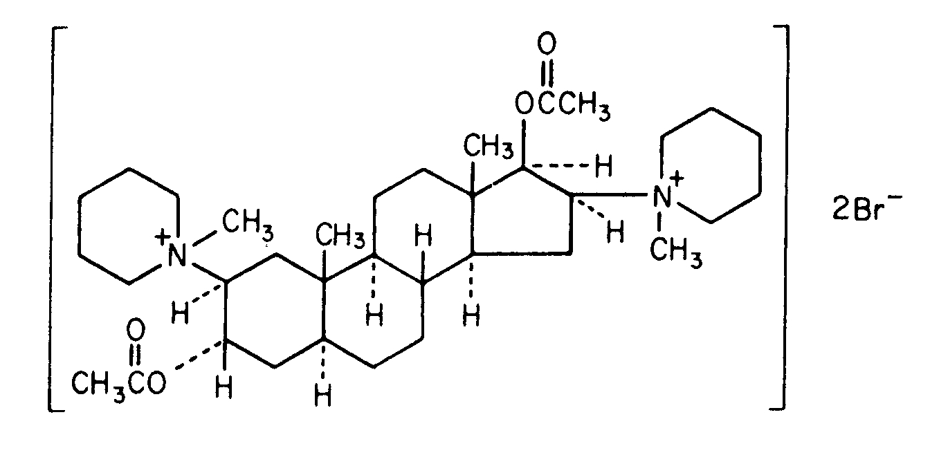
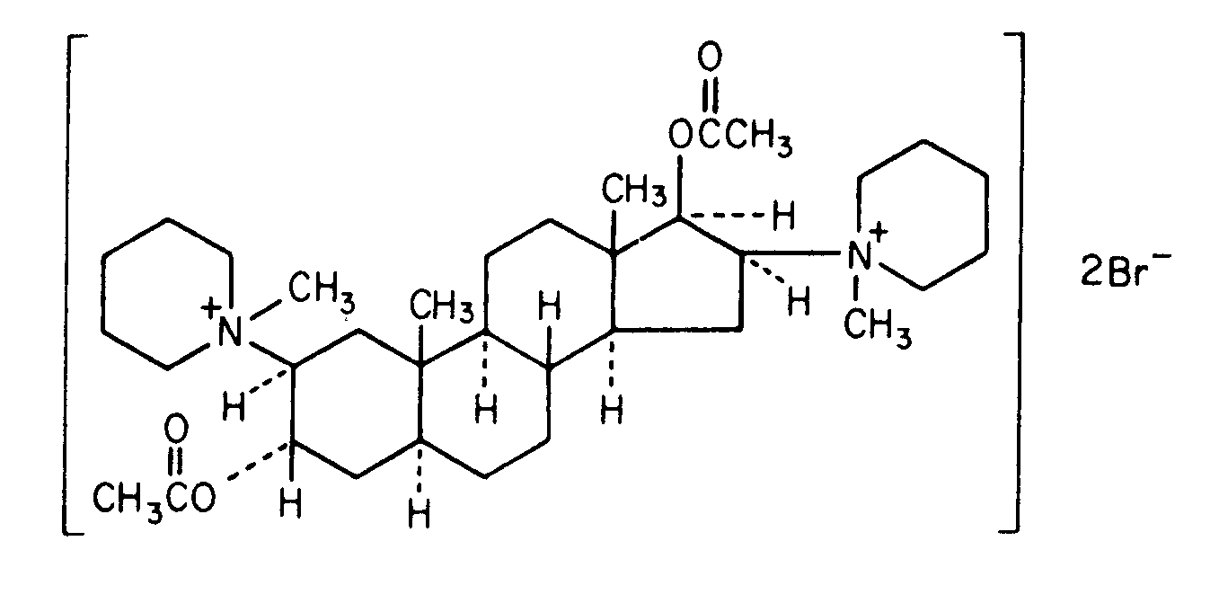
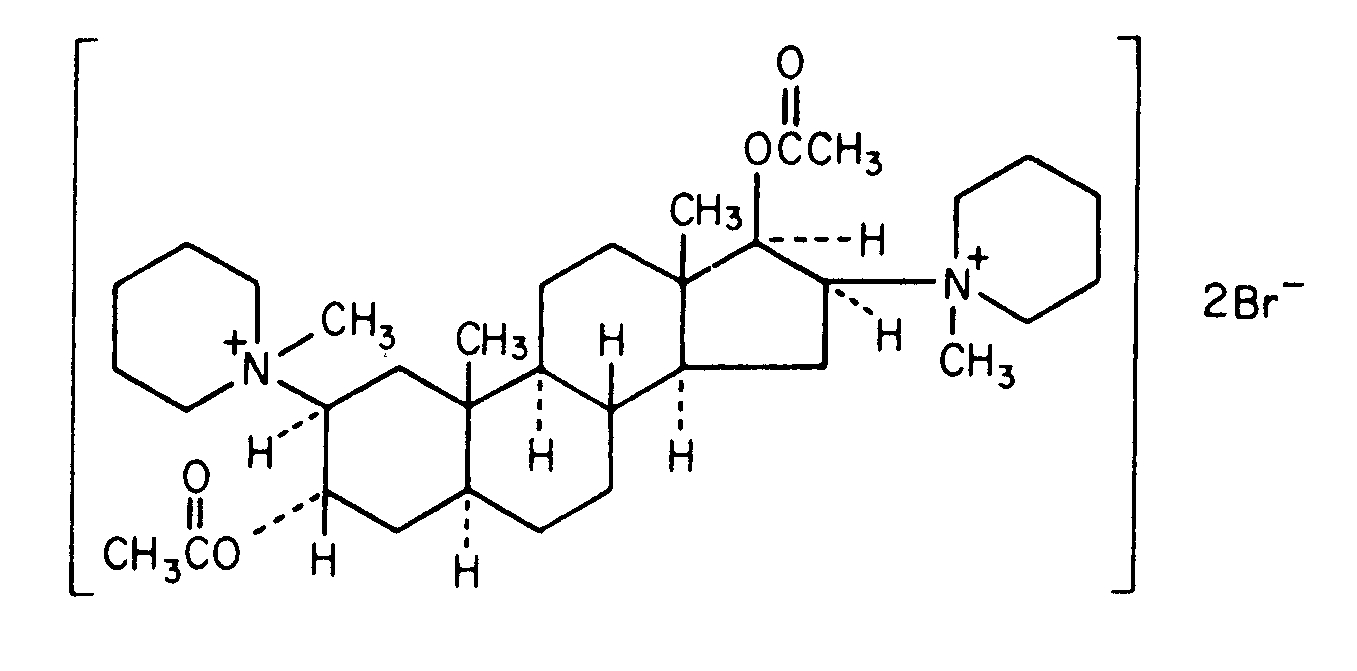
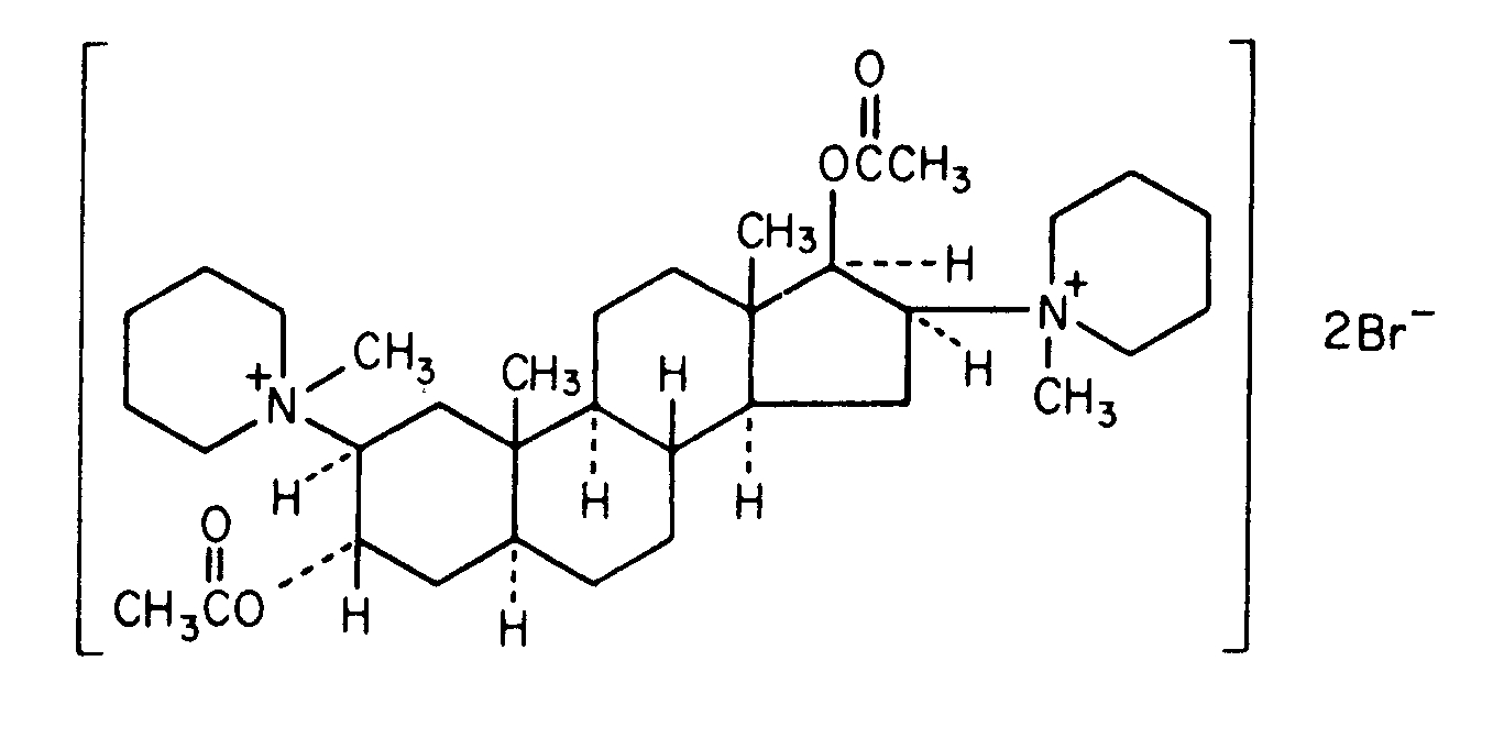
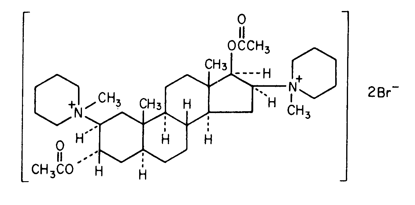
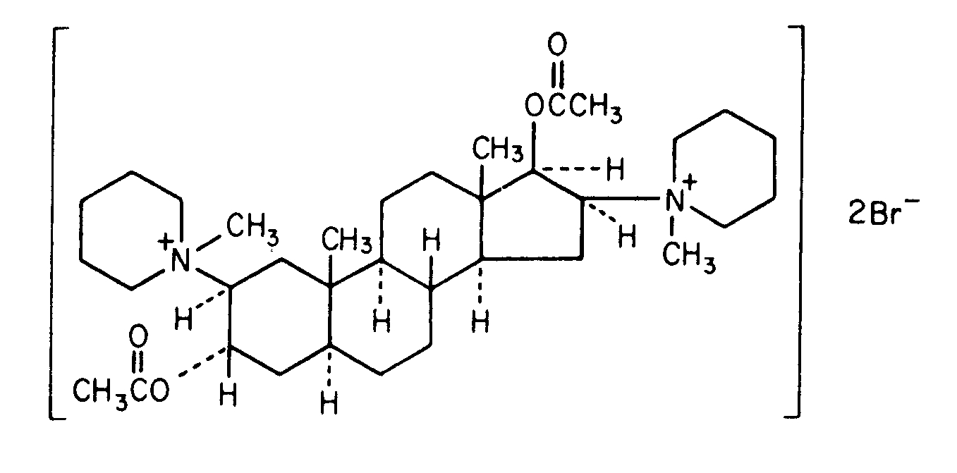
   Ķīmiskā uzbūve   

Oriģinālais nosaukums   Oriģinālais nosaukums     

Tirdzniecības nosaukumi ir apzīmējoši un palīgvielas var atšķirties dažādām valstīm un laboratorijām

Pancuronium bromide injection Amerikas Savienotās Valstis, Kanāda
Literatūras saraksts   Injekcija   Literatūras saraksts : Pancuronium bromide  
tips publicēšana
255 Žurnāls Ishisaka DY.
Visual compatibility of fluconazole with drugs given by continuous infusion.
Am J Hosp Pharm 1994 ; 51: 2290,2292.
285 Žurnāls Elmore RL, Contois ME, Kelly J, Noe A, Poirier A.
Stability and compatibility of admixtures of intravenous ciprofloxacin and selected drugs.
Clin Ther 1996 ; 18: 246-255.
300 Žurnāls Trissel LA, Gilbert DL, Martinez JF.
Compatibility of propofol injectable emulsion with selected drugs during simulated Y-site administration.
Am J Health-Syst Pharm 1997 ; 54: 1287-1292.
319 Žurnāls Hadzija BW, Lubarsky DA.
Compatibility of etomidate, thiopental sodium, and propofol injections with drugs commonly administered during induction of anesthesia.
Am J Health-Syst Pharm 1995 ; 52: 997-999.
402 Žurnāls Savitsky ME.
Visual compatibility of neuromuscular blocking agents with various injectable drugs during simulated Y-site injection.
Am J Hosp Pharm 1990 ; 47: 820-821.
660 Žurnāls Michaels MR, Stauffer GL, Haas DP.
Propofol compatibility with other intravenous drug products - Two new methods of evaluating IV emulsion compatibility.
Ann Pharmacotherapy 1996 ; 30: 228-232.
755 Laboratorija Pancuronium (Pavulon®) - Résumé des caractéristiques du produit
MSD France 2016
813 Žurnāls Akkermann SR, Zhang H, Mullins RE, Yaughn K.
Stability of milrinone lactate in the presence of 29 critical care drugs and 4 IV solutions.
Am J Health-Syst Pharm 1999 ; 56: 63-68.
1057 Žurnāls Cutie MR.
Compatibility of verapamil hydrochloride injection with commonly used additives.
Am J Hosp Pharm 1983 ; 40: 1205-1207.
1072 Žurnāls Saltsmann CL, Tom CM, Mitchell A, Fan JH, Gailey RA.
Compatibility of levofloxacin with 34 medications during simulated Y-site administration.
Am J Health-Syst Pharm 1999 ; 56: 1458-1459.
1721 Žurnāls Trissel LA, Williams KY, Baker MB.
Compatibility screening of Hextend during simulated Y-site administration with other drugs.
Int J Pharm Compound 2001 ; 5: 69-72.
1803 Žurnāls Trissel, LA, Saenz CA, Ogundele OB, Ingram D, Baker MB.
Compatibility of fenoldopam mesylate with other drugs during simulated Y-site administration.
Am J Health-Syst Pharm 2003 ; 60: 80-85.
2079 Žurnāls Morton WD, Lerman J.
The effect of pancuronium on the solubility of aqueous thiopentone.
Can J Anesth 1987 ; 34: 87-89.
2090 Žurnāls Pere H, Chasse V, Forest JM, Hildgen P.
Compatibility of injectable pantoprazole in Y-site administration.
Pharmactuel 2004 ; 37: 193-196.
2109 Žurnāls Pelletier E, Forest JM, Hildgen P.
Compatibilité de la kétamine injectable lors de l’administration en dérivé avec d’autres médicaments usuels.
Pharmactuel 2006 ; 39: 71-75.
3152 Žurnāls Kumar A, Mann HJ.
Visual compatibility of oritavancin diphosphate with selected coadministered drugs during simulated Y-site administration.
Am J Health-Syst Pharm 2010 ; 67: 1640-1644.
3216 Žurnāls Legris ME, Valiquette ME, Lavoie A, Forest JM, Leclair G.
Compatibilité physique par évaluation visuelle du salbutamol injectable lors de son administration en Y.
Pharmactuel 2011 ; 44, 1 : 14-18
3408 Žurnāls Tollec S, Touzin K, Pelletier E, Forest J.M.
Evaluation visuelle de la compatibilité physique de la naloxone avec d’autres médicaments intraveineux usuels.
Pharmactuel 2013 ; 46, 1 : 16-21.
3767 Žurnāls Legris M.E, Lavoie A, Forrest J.M, Hildgen P.
Compatibilité par évaluation visuelle du thiopental injectable lors de son administration en Y avec des médicaments usuels.
Pharmactuel 2014 ; 47, 3 : 167-172.
4773 Žurnāls Merienne C, Filali S, Marchand C, Lapras B, Paillet C, Pirot F.
Predictive stability, novel HPLC-MS analysis and semi-automatic compounding process for the emergency implementation of a production line of pancuronium in injectable solution.
Eur J Pharm Sci 2023 ; 187: 106464.
5011 Laboratorija Hypnomidate 2 mg/ml Injection - Summary of Product Characteristics Updated 02-Apr-2024.
Piramal Critical Care Limited 2024
5042 Laboratorija Dexdor 100 micrograms/ml concentrate for solution for infusion - Summary of Product Characteristics.
Orion Corporation 2016

  Mentions Légales