Last update :
18/03/2026
Curarimimetic   Pancuronium bromide  
injection
Stability in solutions Stability of mixtures Factors which affect stability Compatibility Route of administration References pdf
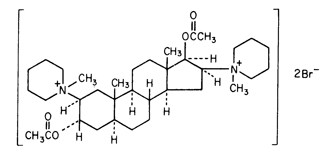
   Chemical structure  

Tradename   Tradename     

Trade names are indicative and excipients composition can be different depending on the country and manufacturers

Pancuronium bromide injection Canada, United States of America
References   injection   References : Pancuronium bromide  
Type Publication
255 Journal Ishisaka DY.
Visual compatibility of fluconazole with drugs given by continuous infusion.
Am J Hosp Pharm 1994 ; 51: 2290,2292.
285 Journal Elmore RL, Contois ME, Kelly J, Noe A, Poirier A.
Stability and compatibility of admixtures of intravenous ciprofloxacin and selected drugs.
Clin Ther 1996 ; 18: 246-255.
300 Journal Trissel LA, Gilbert DL, Martinez JF.
Compatibility of propofol injectable emulsion with selected drugs during simulated Y-site administration.
Am J Health-Syst Pharm 1997 ; 54: 1287-1292.
319 Journal Hadzija BW, Lubarsky DA.
Compatibility of etomidate, thiopental sodium, and propofol injections with drugs commonly administered during induction of anesthesia.
Am J Health-Syst Pharm 1995 ; 52: 997-999.
402 Journal Savitsky ME.
Visual compatibility of neuromuscular blocking agents with various injectable drugs during simulated Y-site injection.
Am J Hosp Pharm 1990 ; 47: 820-821.
660 Journal Michaels MR, Stauffer GL, Haas DP.
Propofol compatibility with other intravenous drug products - Two new methods of evaluating IV emulsion compatibility.
Ann Pharmacotherapy 1996 ; 30: 228-232.
755 Manufacturer Pancuronium (Pavulon®) - Résumé des caractéristiques du produit
MSD France 2016
813 Journal Akkermann SR, Zhang H, Mullins RE, Yaughn K.
Stability of milrinone lactate in the presence of 29 critical care drugs and 4 IV solutions.
Am J Health-Syst Pharm 1999 ; 56: 63-68.
1057 Journal Cutie MR.
Compatibility of verapamil hydrochloride injection with commonly used additives.
Am J Hosp Pharm 1983 ; 40: 1205-1207.
1072 Journal Saltsmann CL, Tom CM, Mitchell A, Fan JH, Gailey RA.
Compatibility of levofloxacin with 34 medications during simulated Y-site administration.
Am J Health-Syst Pharm 1999 ; 56: 1458-1459.
1721 Journal Trissel LA, Williams KY, Baker MB.
Compatibility screening of Hextend during simulated Y-site administration with other drugs.
Int J Pharm Compound 2001 ; 5: 69-72.
1803 Journal Trissel, LA, Saenz CA, Ogundele OB, Ingram D, Baker MB.
Compatibility of fenoldopam mesylate with other drugs during simulated Y-site administration.
Am J Health-Syst Pharm 2003 ; 60: 80-85.
2079 Journal Morton WD, Lerman J.
The effect of pancuronium on the solubility of aqueous thiopentone.
Can J Anesth 1987 ; 34: 87-89.
2090 Journal Pere H, Chasse V, Forest JM, Hildgen P.
Compatibility of injectable pantoprazole in Y-site administration.
Pharmactuel 2004 ; 37: 193-196.
2109 Journal Pelletier E, Forest JM, Hildgen P.
Compatibilité de la kétamine injectable lors de l’administration en dérivé avec d’autres médicaments usuels.
Pharmactuel 2006 ; 39: 71-75.
3152 Journal Kumar A, Mann HJ.
Visual compatibility of oritavancin diphosphate with selected coadministered drugs during simulated Y-site administration.
Am J Health-Syst Pharm 2010 ; 67: 1640-1644.
3216 Journal Legris ME, Valiquette ME, Lavoie A, Forest JM, Leclair G.
Compatibilité physique par évaluation visuelle du salbutamol injectable lors de son administration en Y.
Pharmactuel 2011 ; 44, 1 : 14-18
3408 Journal Tollec S, Touzin K, Pelletier E, Forest J.M.
Evaluation visuelle de la compatibilité physique de la naloxone avec d’autres médicaments intraveineux usuels.
Pharmactuel 2013 ; 46, 1 : 16-21.
3767 Journal Legris M.E, Lavoie A, Forrest J.M, Hildgen P.
Compatibilité par évaluation visuelle du thiopental injectable lors de son administration en Y avec des médicaments usuels.
Pharmactuel 2014 ; 47, 3 : 167-172.
4773 Journal Merienne C, Filali S, Marchand C, Lapras B, Paillet C, Pirot F.
Predictive stability, novel HPLC-MS analysis and semi-automatic compounding process for the emergency implementation of a production line of pancuronium in injectable solution.
Eur J Pharm Sci 2023 ; 187: 106464.
5011 Manufacturer Hypnomidate 2 mg/ml Injection - Summary of Product Characteristics Updated 02-Apr-2024.
Piramal Critical Care Limited 2024
5042 Manufacturer Dexdor 100 micrograms/ml concentrate for solution for infusion - Summary of Product Characteristics.
Orion Corporation 2016

  Mentions Légales