Последно актуализиране :
18/03/2026
Кураре-миметик   Pancuronium bromide  
Инжекция/Инжекционен
Стабилност на разтвори Стабилност на смеси Фактори, повлияващи стабилността Съвместимост Път на въвеждане Библиография Pdf
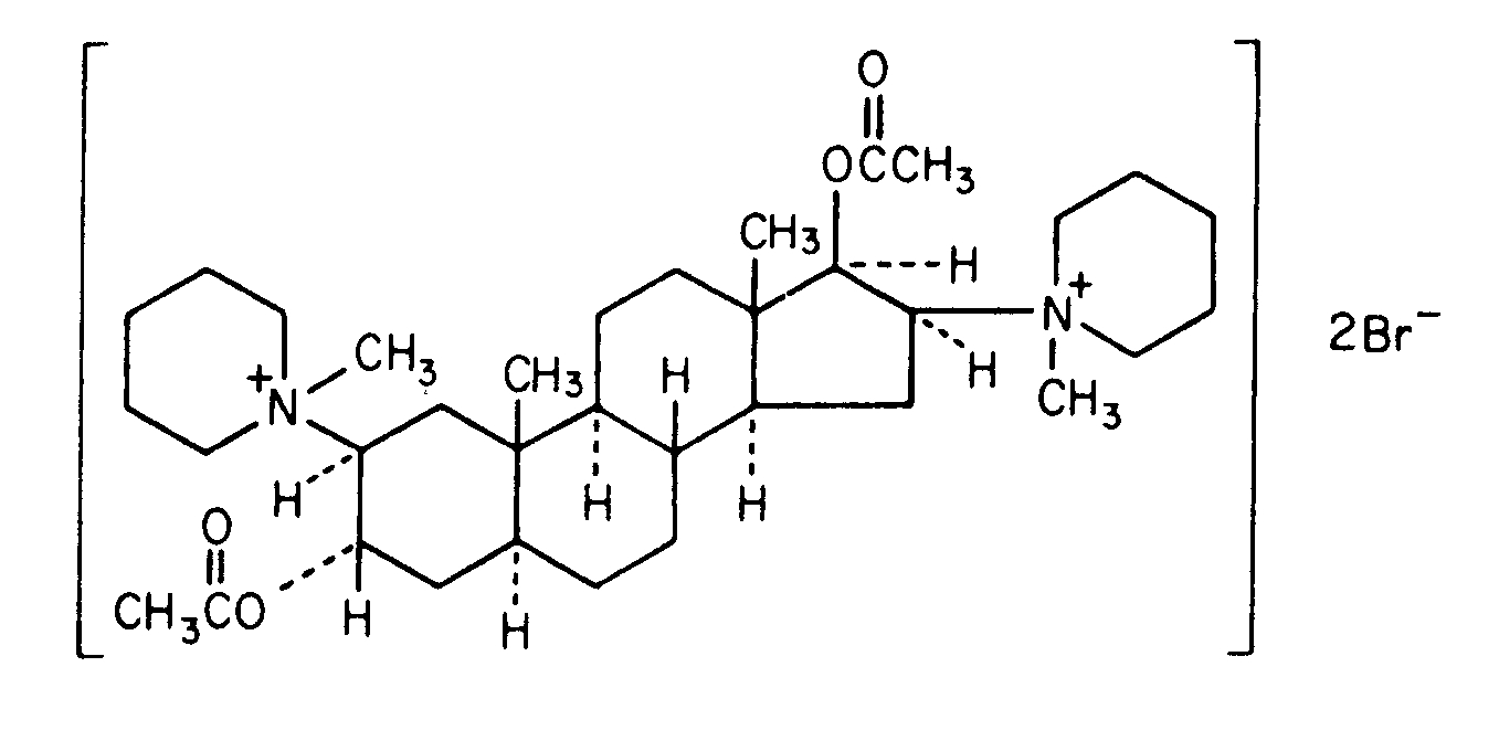
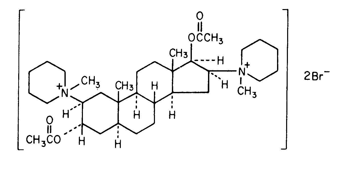
   Химична структура  

Търговско наименование   Търговско наименование     

Търговските имена са примерни и съставът на помощните вещества може да бъде различен в зависимост от държавата и лабораториите

Pancuronium bromide injection Канада, Съединени Американски щати / САЩ
Библиография   Инжекция/Инжекционен   Библиография : Pancuronium bromide  
Вид Публикация
255 Списание Ishisaka DY.
Visual compatibility of fluconazole with drugs given by continuous infusion.
Am J Hosp Pharm 1994 ; 51: 2290,2292.
285 Списание Elmore RL, Contois ME, Kelly J, Noe A, Poirier A.
Stability and compatibility of admixtures of intravenous ciprofloxacin and selected drugs.
Clin Ther 1996 ; 18: 246-255.
300 Списание Trissel LA, Gilbert DL, Martinez JF.
Compatibility of propofol injectable emulsion with selected drugs during simulated Y-site administration.
Am J Health-Syst Pharm 1997 ; 54: 1287-1292.
319 Списание Hadzija BW, Lubarsky DA.
Compatibility of etomidate, thiopental sodium, and propofol injections with drugs commonly administered during induction of anesthesia.
Am J Health-Syst Pharm 1995 ; 52: 997-999.
402 Списание Savitsky ME.
Visual compatibility of neuromuscular blocking agents with various injectable drugs during simulated Y-site injection.
Am J Hosp Pharm 1990 ; 47: 820-821.
660 Списание Michaels MR, Stauffer GL, Haas DP.
Propofol compatibility with other intravenous drug products - Two new methods of evaluating IV emulsion compatibility.
Ann Pharmacotherapy 1996 ; 30: 228-232.
755 Лаборатория Pancuronium (Pavulon®) - Résumé des caractéristiques du produit
MSD France 2016
813 Списание Akkermann SR, Zhang H, Mullins RE, Yaughn K.
Stability of milrinone lactate in the presence of 29 critical care drugs and 4 IV solutions.
Am J Health-Syst Pharm 1999 ; 56: 63-68.
1057 Списание Cutie MR.
Compatibility of verapamil hydrochloride injection with commonly used additives.
Am J Hosp Pharm 1983 ; 40: 1205-1207.
1072 Списание Saltsmann CL, Tom CM, Mitchell A, Fan JH, Gailey RA.
Compatibility of levofloxacin with 34 medications during simulated Y-site administration.
Am J Health-Syst Pharm 1999 ; 56: 1458-1459.
1721 Списание Trissel LA, Williams KY, Baker MB.
Compatibility screening of Hextend during simulated Y-site administration with other drugs.
Int J Pharm Compound 2001 ; 5: 69-72.
1803 Списание Trissel, LA, Saenz CA, Ogundele OB, Ingram D, Baker MB.
Compatibility of fenoldopam mesylate with other drugs during simulated Y-site administration.
Am J Health-Syst Pharm 2003 ; 60: 80-85.
2079 Списание Morton WD, Lerman J.
The effect of pancuronium on the solubility of aqueous thiopentone.
Can J Anesth 1987 ; 34: 87-89.
2090 Списание Pere H, Chasse V, Forest JM, Hildgen P.
Compatibility of injectable pantoprazole in Y-site administration.
Pharmactuel 2004 ; 37: 193-196.
2109 Списание Pelletier E, Forest JM, Hildgen P.
Compatibilité de la kétamine injectable lors de l’administration en dérivé avec d’autres médicaments usuels.
Pharmactuel 2006 ; 39: 71-75.
3152 Списание Kumar A, Mann HJ.
Visual compatibility of oritavancin diphosphate with selected coadministered drugs during simulated Y-site administration.
Am J Health-Syst Pharm 2010 ; 67: 1640-1644.
3216 Списание Legris ME, Valiquette ME, Lavoie A, Forest JM, Leclair G.
Compatibilité physique par évaluation visuelle du salbutamol injectable lors de son administration en Y.
Pharmactuel 2011 ; 44, 1 : 14-18
3408 Списание Tollec S, Touzin K, Pelletier E, Forest J.M.
Evaluation visuelle de la compatibilité physique de la naloxone avec d’autres médicaments intraveineux usuels.
Pharmactuel 2013 ; 46, 1 : 16-21.
3767 Списание Legris M.E, Lavoie A, Forrest J.M, Hildgen P.
Compatibilité par évaluation visuelle du thiopental injectable lors de son administration en Y avec des médicaments usuels.
Pharmactuel 2014 ; 47, 3 : 167-172.
4773 Списание Merienne C, Filali S, Marchand C, Lapras B, Paillet C, Pirot F.
Predictive stability, novel HPLC-MS analysis and semi-automatic compounding process for the emergency implementation of a production line of pancuronium in injectable solution.
Eur J Pharm Sci 2023 ; 187: 106464.
5011 Лаборатория Hypnomidate 2 mg/ml Injection - Summary of Product Characteristics Updated 02-Apr-2024.
Piramal Critical Care Limited 2024
5042 Лаборатория Dexdor 100 micrograms/ml concentrate for solution for infusion - Summary of Product Characteristics.
Orion Corporation 2016

  Mentions Légales