Последнее обновление :
31/03/2026
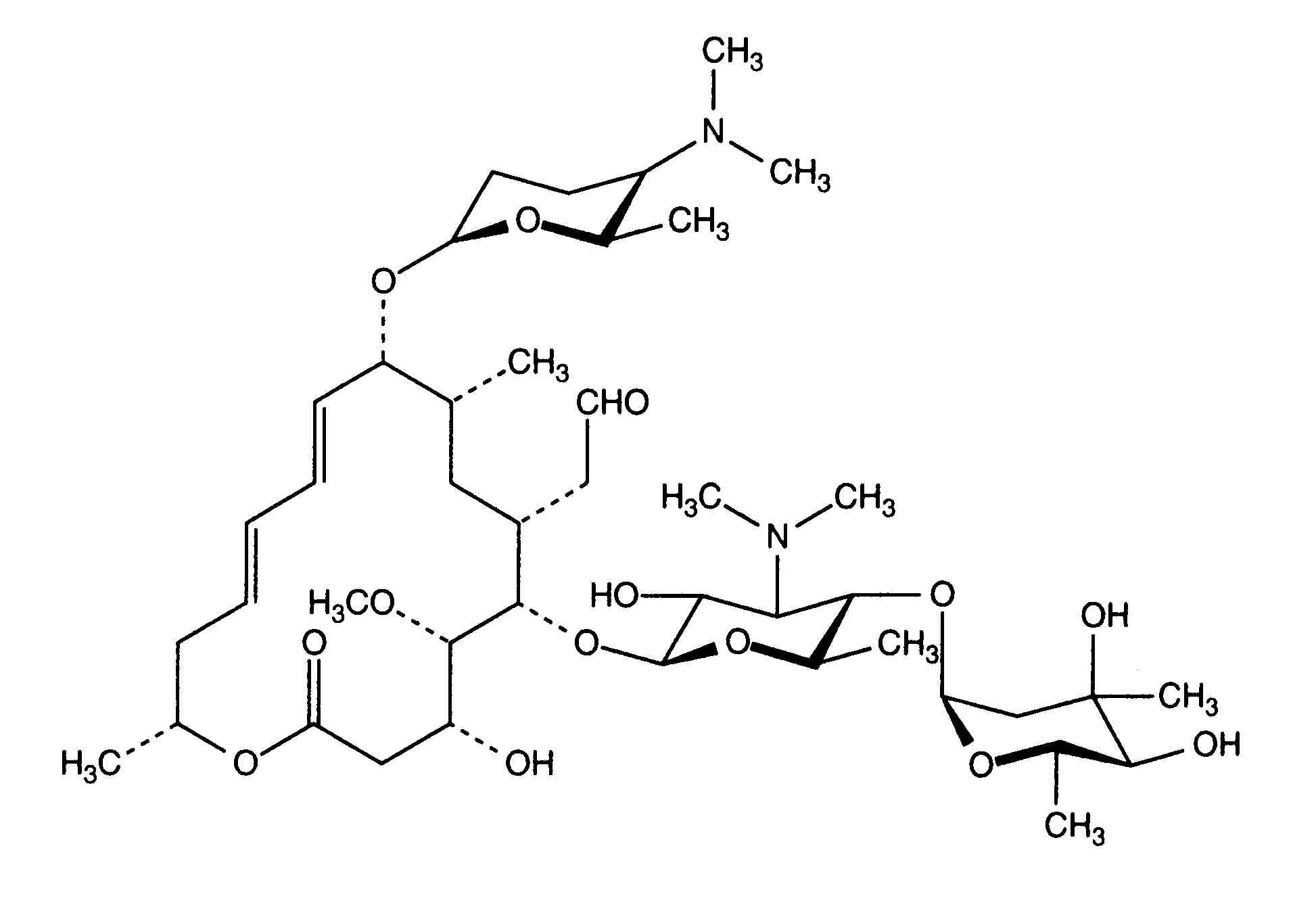
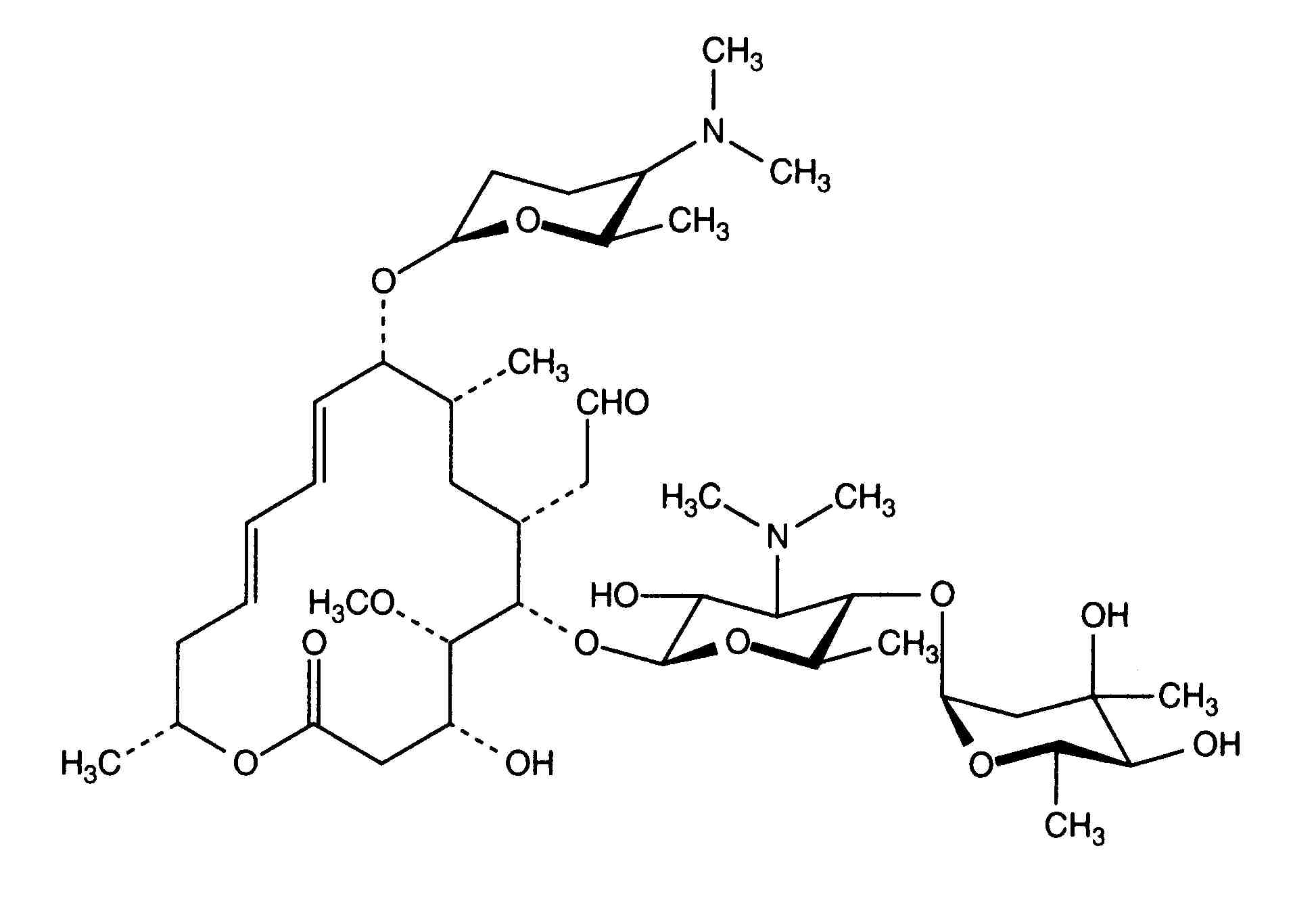
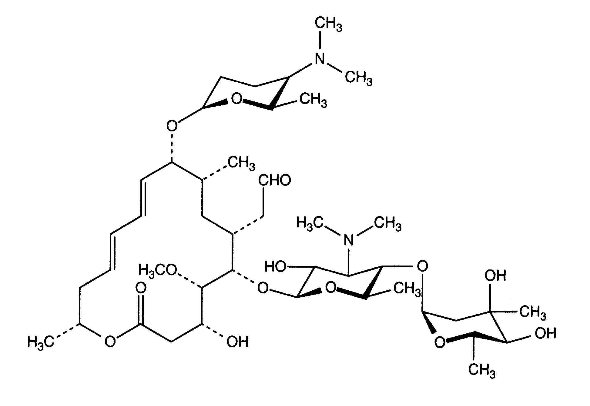
Антибиотик   Spiramycine adipate  
Инъекция
Стабильность растворов Стабильность смесей Факторы, которые влияют на стабильность Совместимость Способы введения Библиография pdf
   Химическая структура  

Товарное название   Товарное название     

Trade names are indicative and excipients composition can be different depending on the country and manufacturers

Rovamycine Польша, Франция
Стабильность смесей   Инъекция   Стабильность смесей : Spiramycine adipate     
данных нет

  Mentions Légales