Letztes “update” :
31/03/2026
Antibiotikum   Spiramycine adipate  
Injektion
Stabilität der Lösung Gemengestabilität Stabilitätbeeinflussende Faktoren Kompatibilitäten Applikationsart Literaturverzeichnis pdf
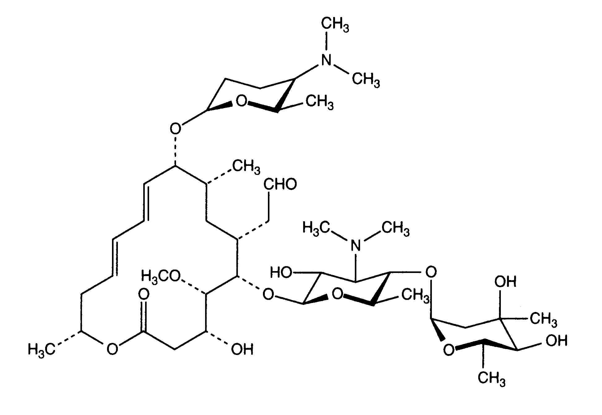
   Chemische Struktur  

Handelsmarke   Handelsmarke     

Handelsnamen sind als beispielhaft anzusehen. Sonstige Bestandteile können je nach Hersteller oder Land verschieden sein

Rovamycine Frankreich, Polen
Gemengestabilität   Injektion   Gemengestabilität : Spiramycine adipate     
Keine Daten

  Mentions Légales