Ultimele actualizari :
31/03/2026
Antibiotic   Spiramycine adipate  
Injectabil
Stabilitatea in solutie Stabilitatea in amestec Factorii care influenteaza stabilitatea Compatibilitate Microunde Bibliografie pdf
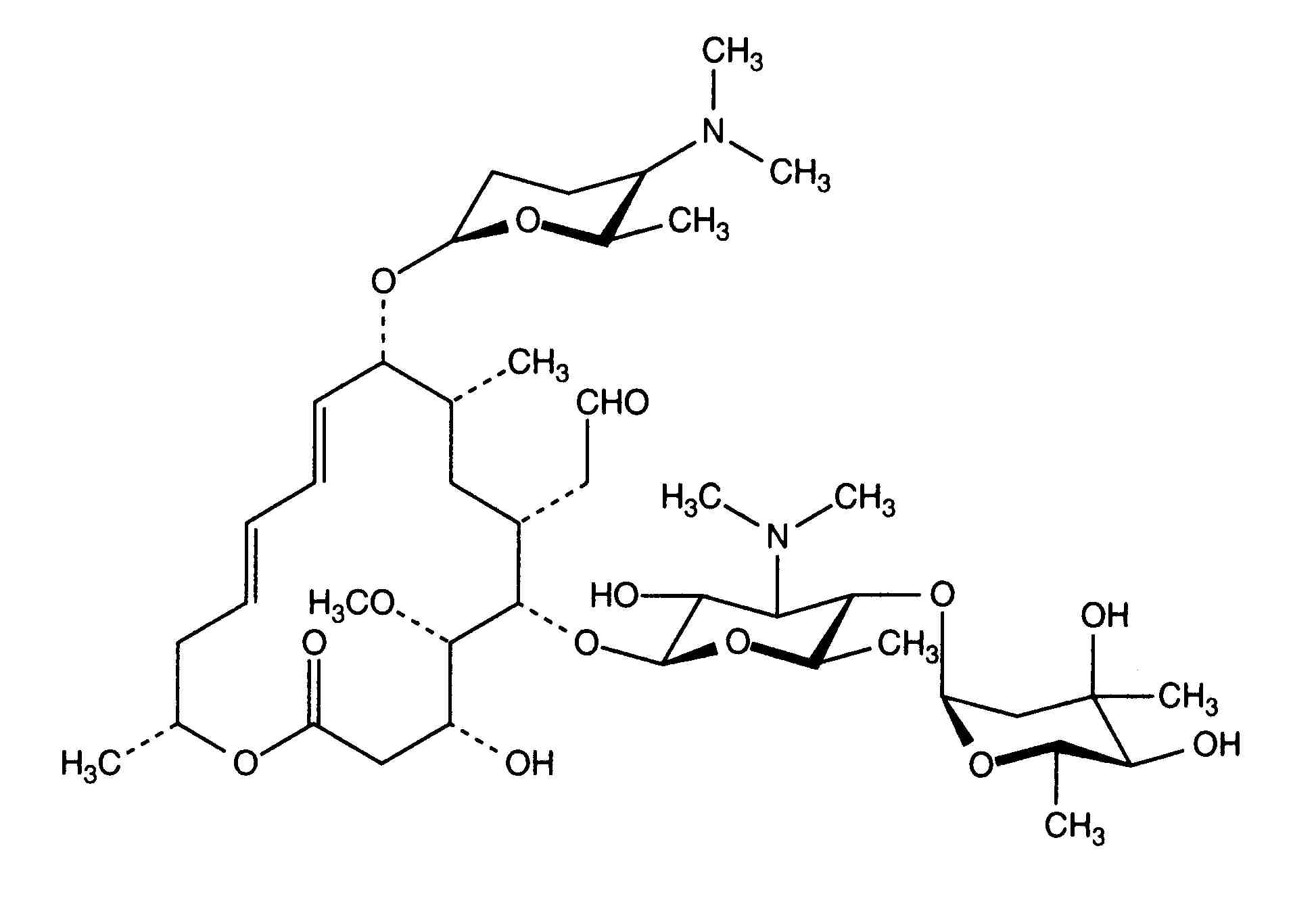
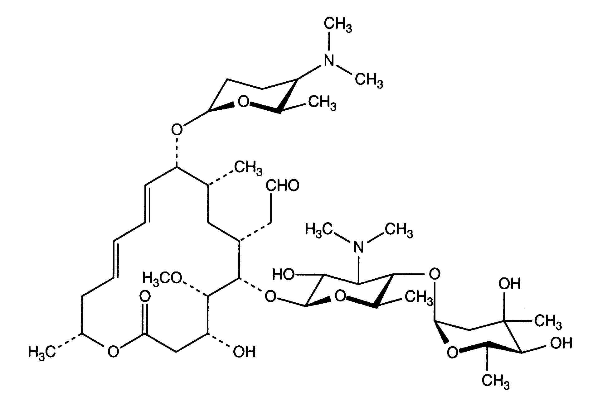
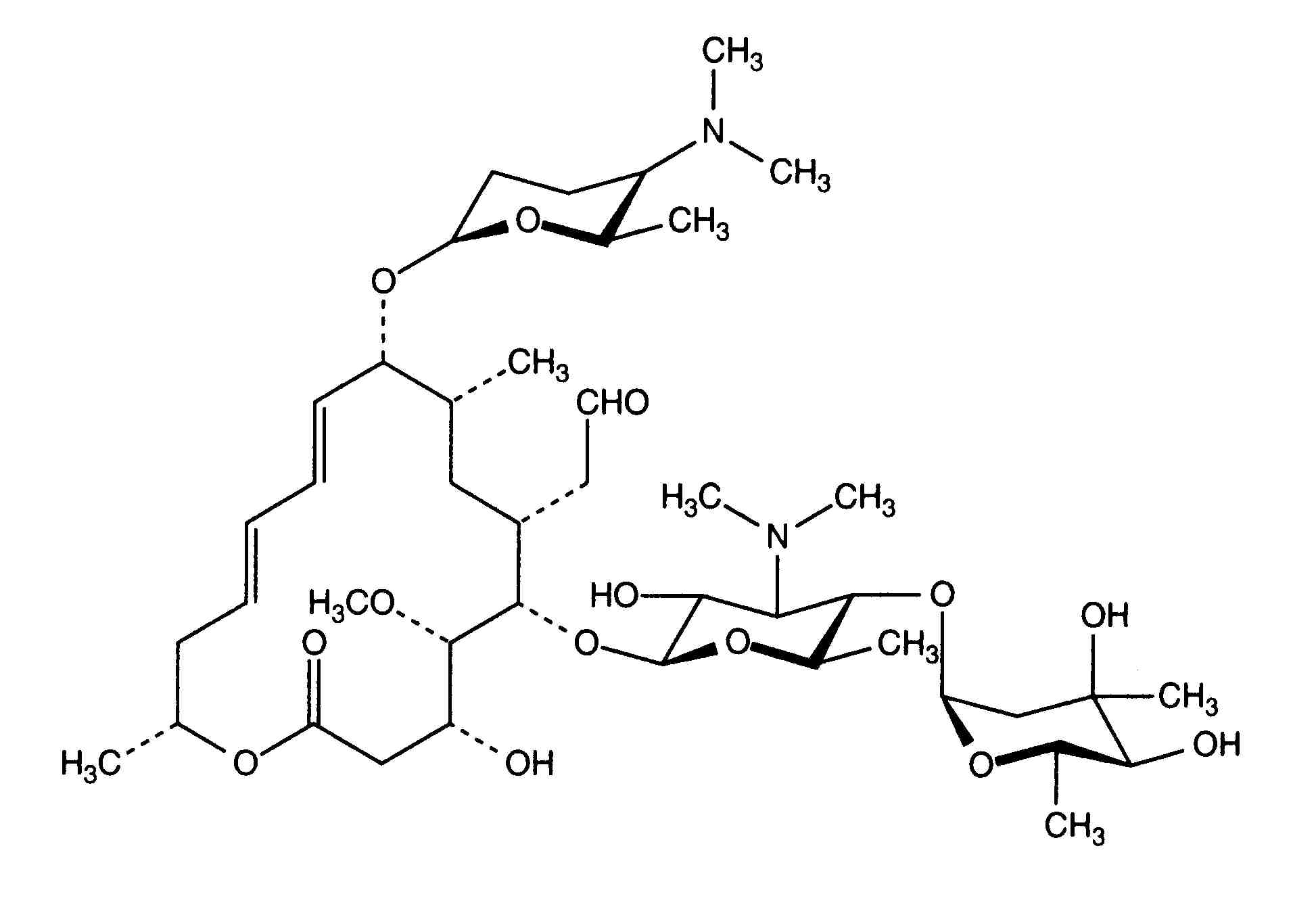
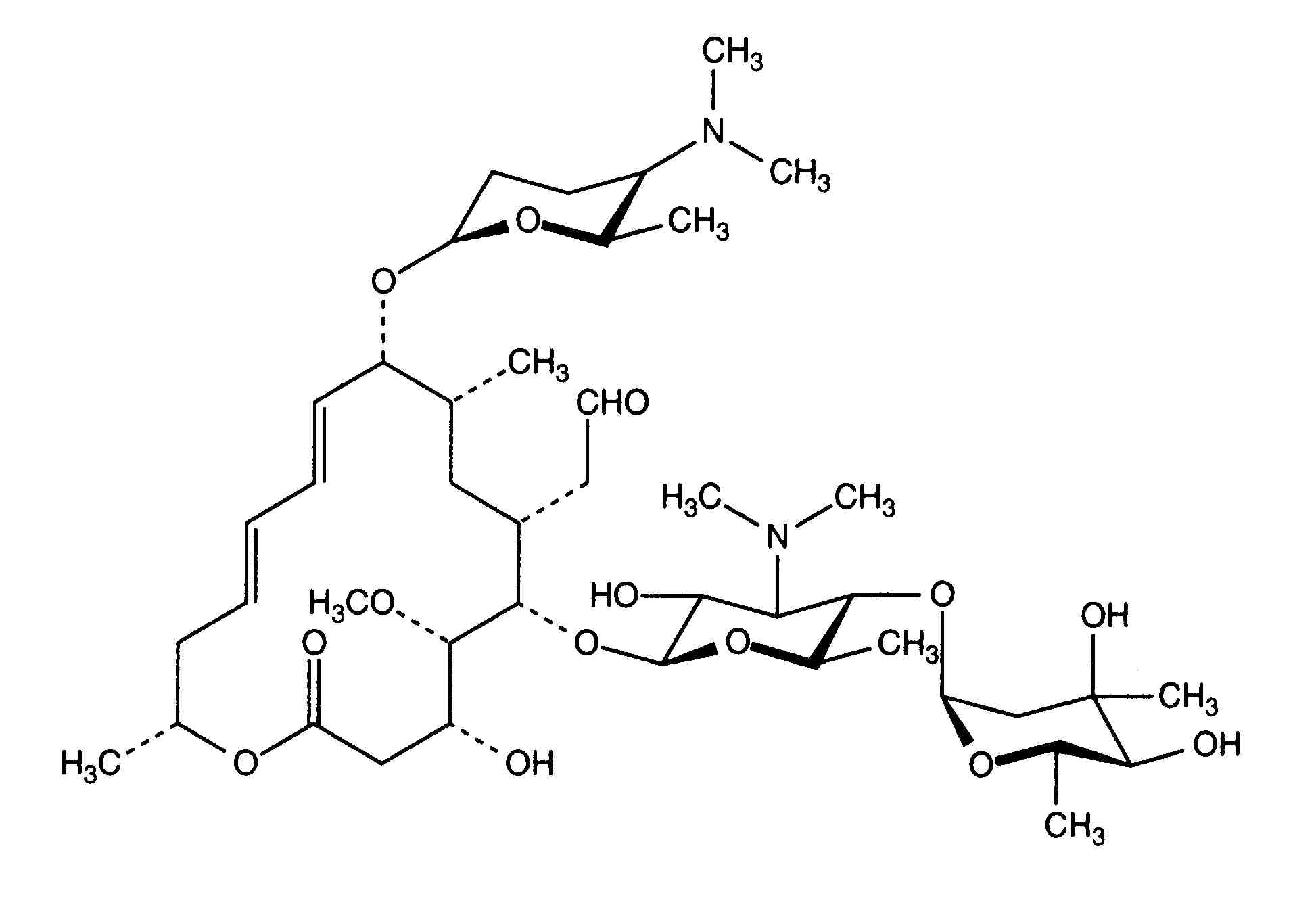
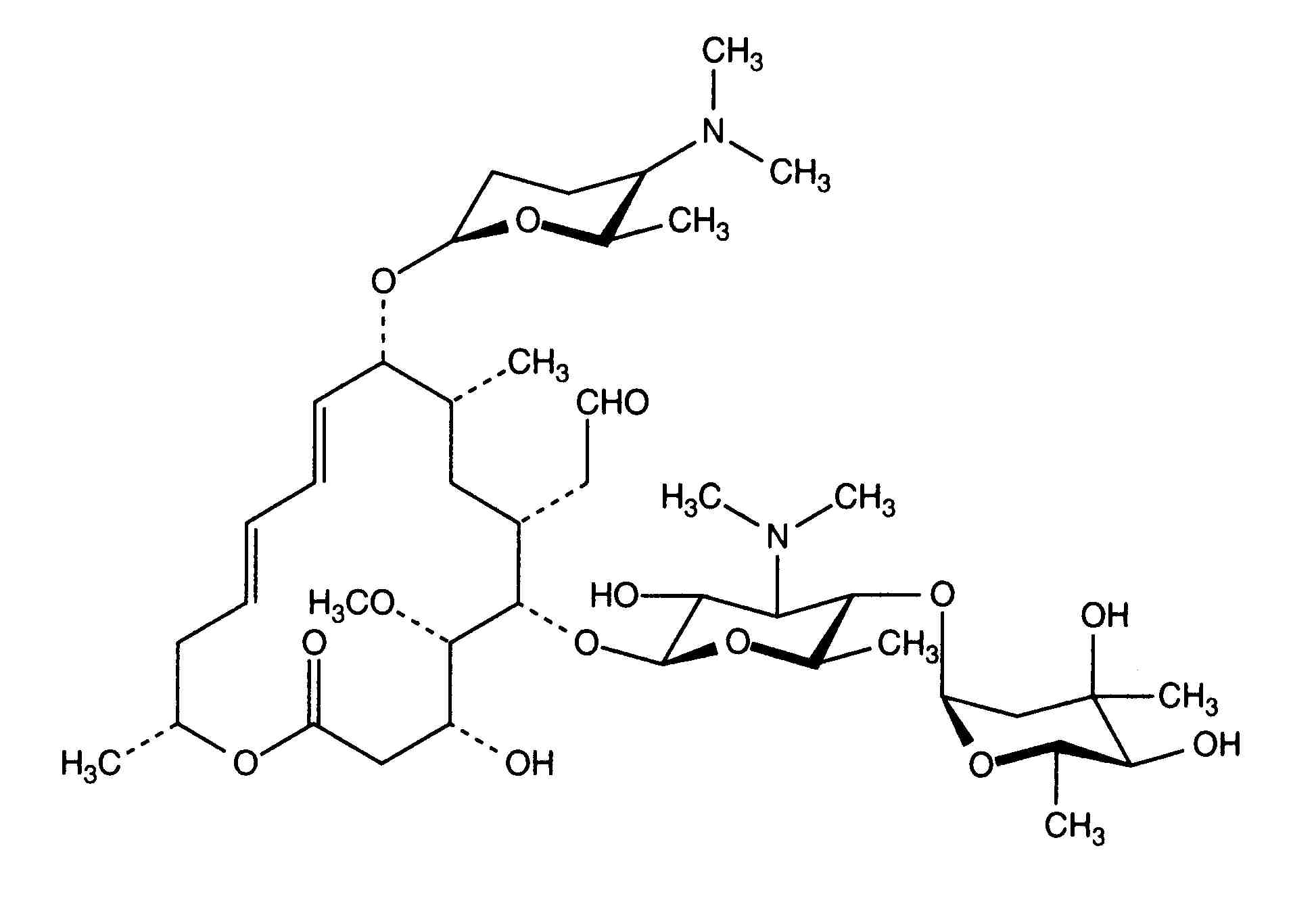
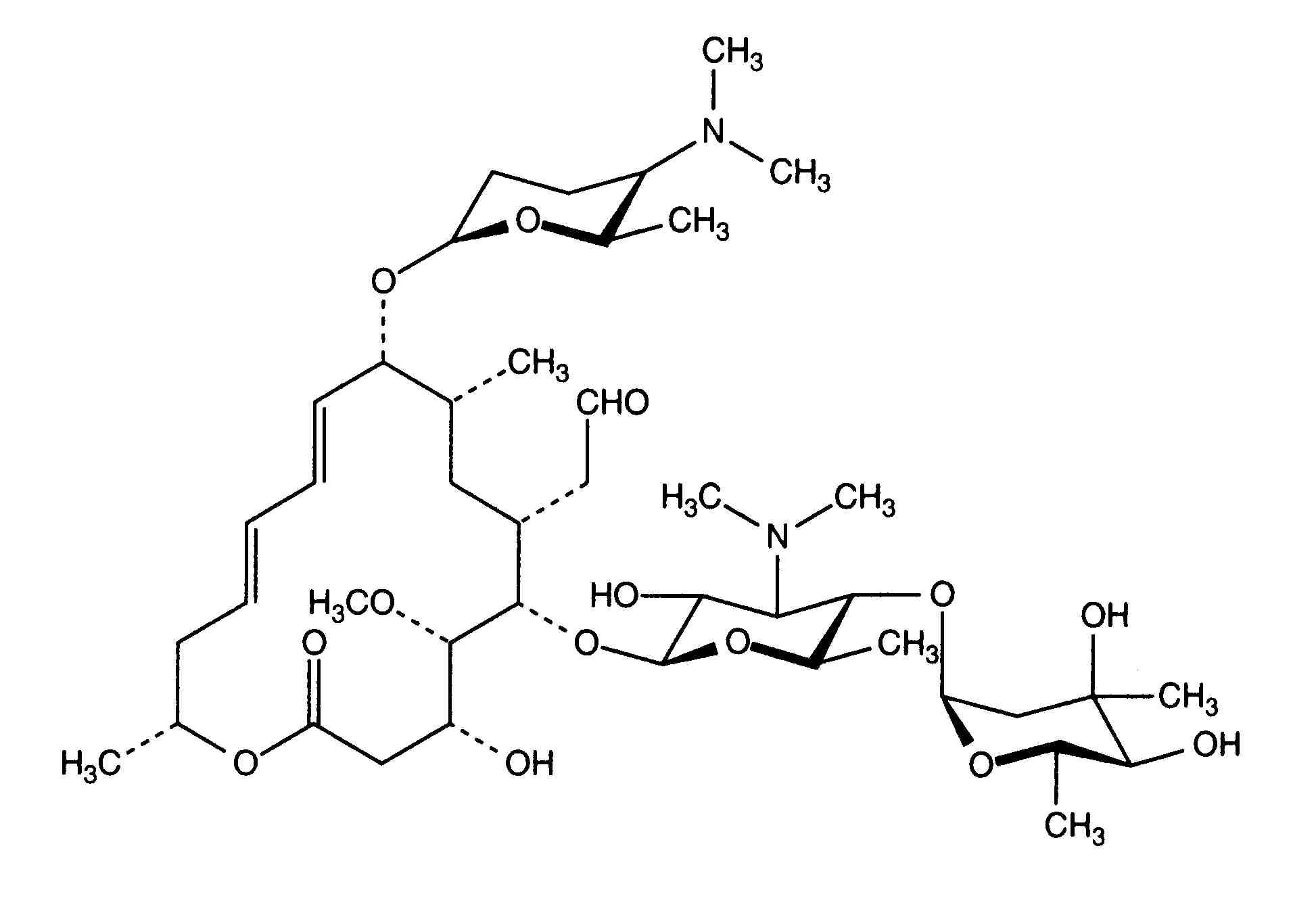
   Formula chimica  

Denumirea comerciala   Denumirea comerciala     

Trade names are indicative and excipients composition can be different depending on the country and manufacturers

Rovamycine Franta, Polonia
Stabilitatea in amestec   Injectabil   Stabilitatea in amestec : Spiramycine adipate     
Absenta de date

  Mentions Légales