Последно актуализиране :
31/03/2026
Антибиотик   Spiramycine adipate  
Инжекция/Инжекционен
Стабилност на разтвори Стабилност на смеси Фактори, повлияващи стабилността Съвместимост Път на въвеждане Библиография Pdf
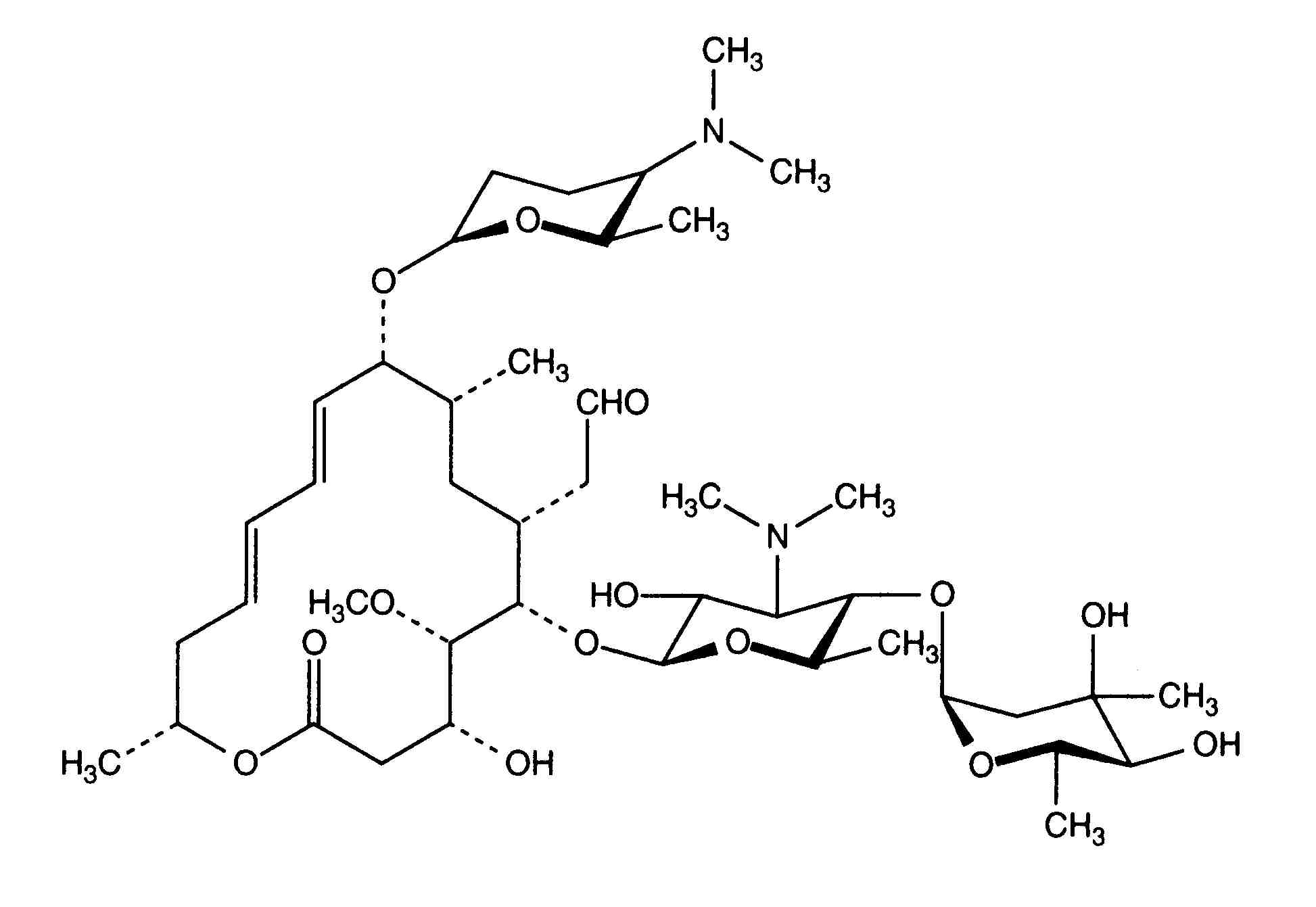
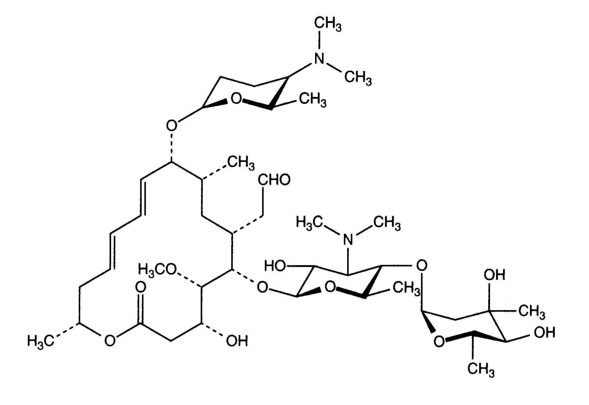
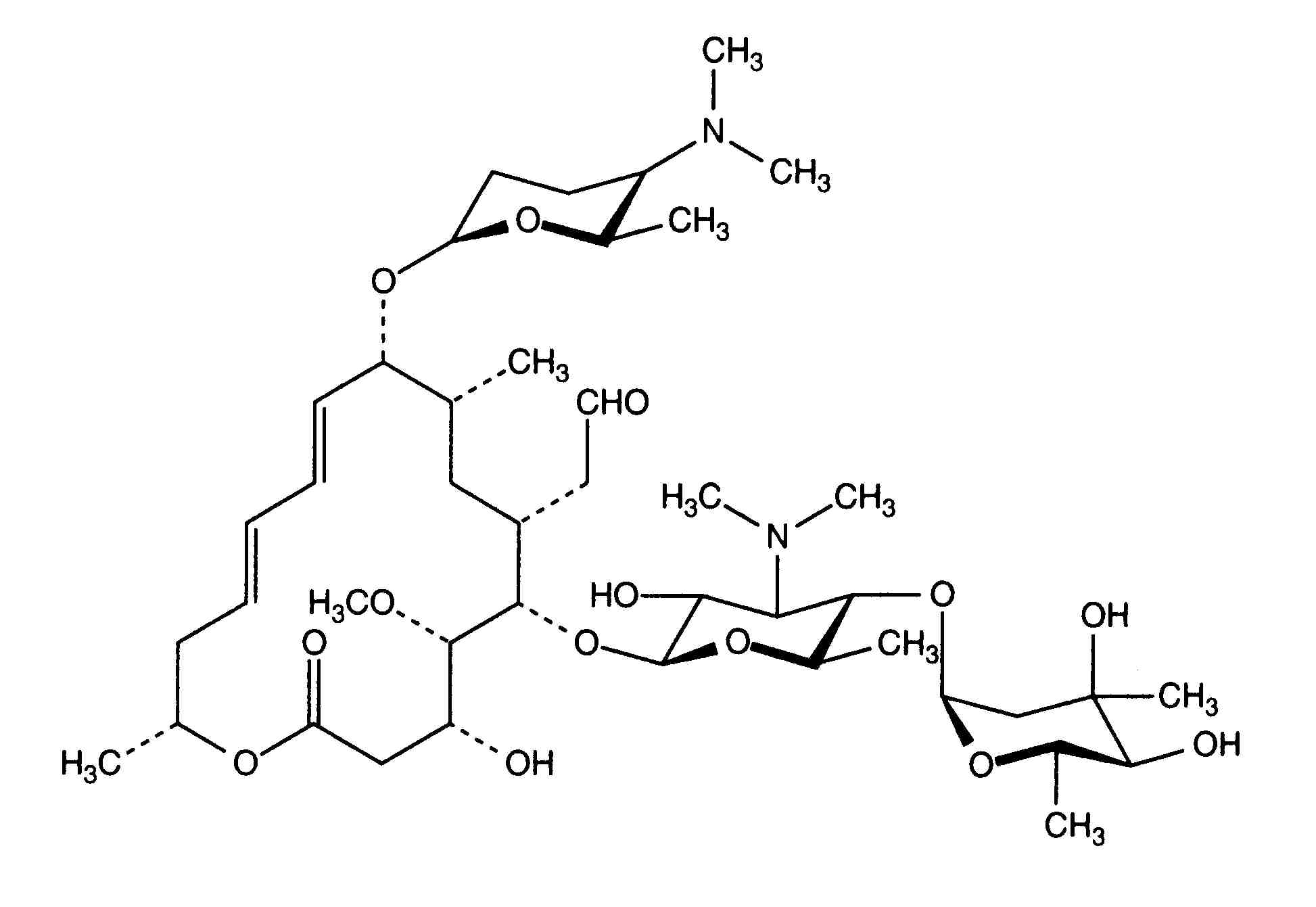
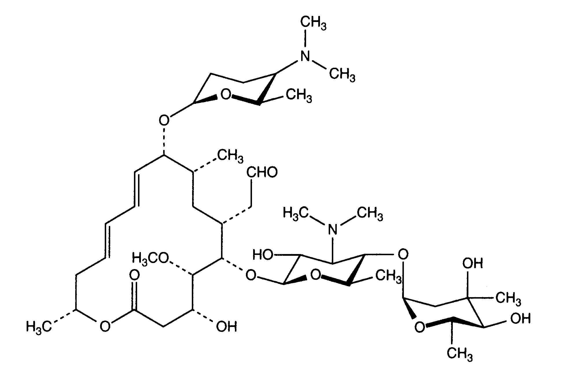
   Химична структура  

Търговско наименование   Търговско наименование     

Търговските имена са примерни и съставът на помощните вещества може да бъде различен в зависимост от държавата и лабораториите

Rovamycine Полша, Франция
Стабилност на смеси   Инжекция/Инжекционен   Стабилност на смеси : Spiramycine adipate     
Няма данни

  Mentions Légales