Viimeisin päivitys :
31/03/2026
Antibiootit   Spiramycine adipate  
Injektioneste
Stabilius liuoksessa Stabilius seoksissa Tekijät, jotka vaikuttavat stabiliuteen Yhteensopivuus Antotapa Viitteet pdf
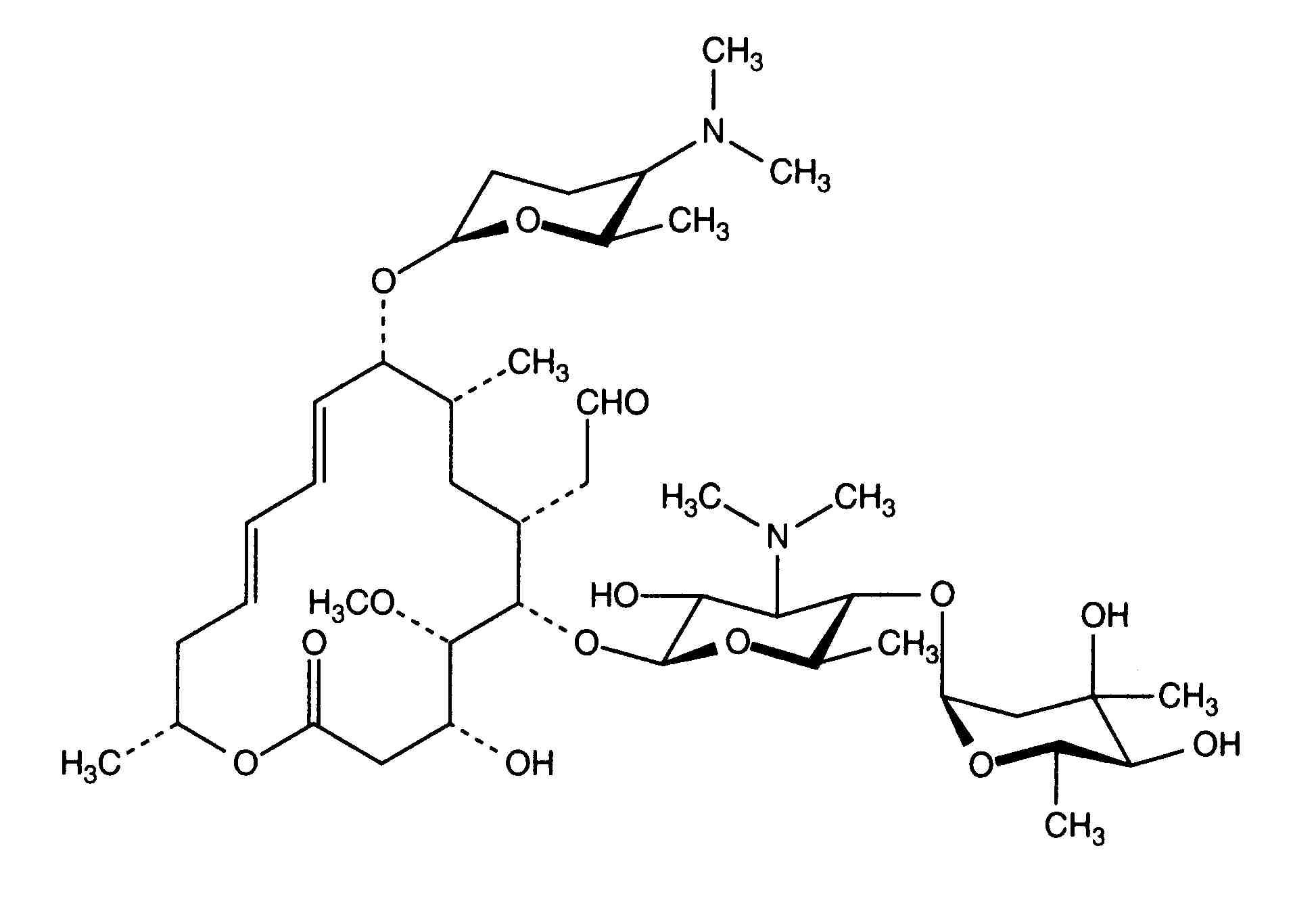
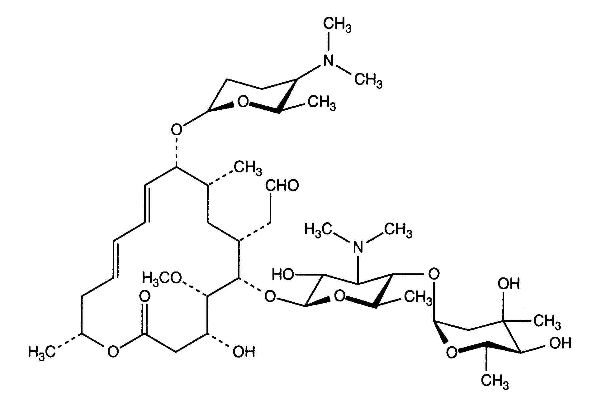
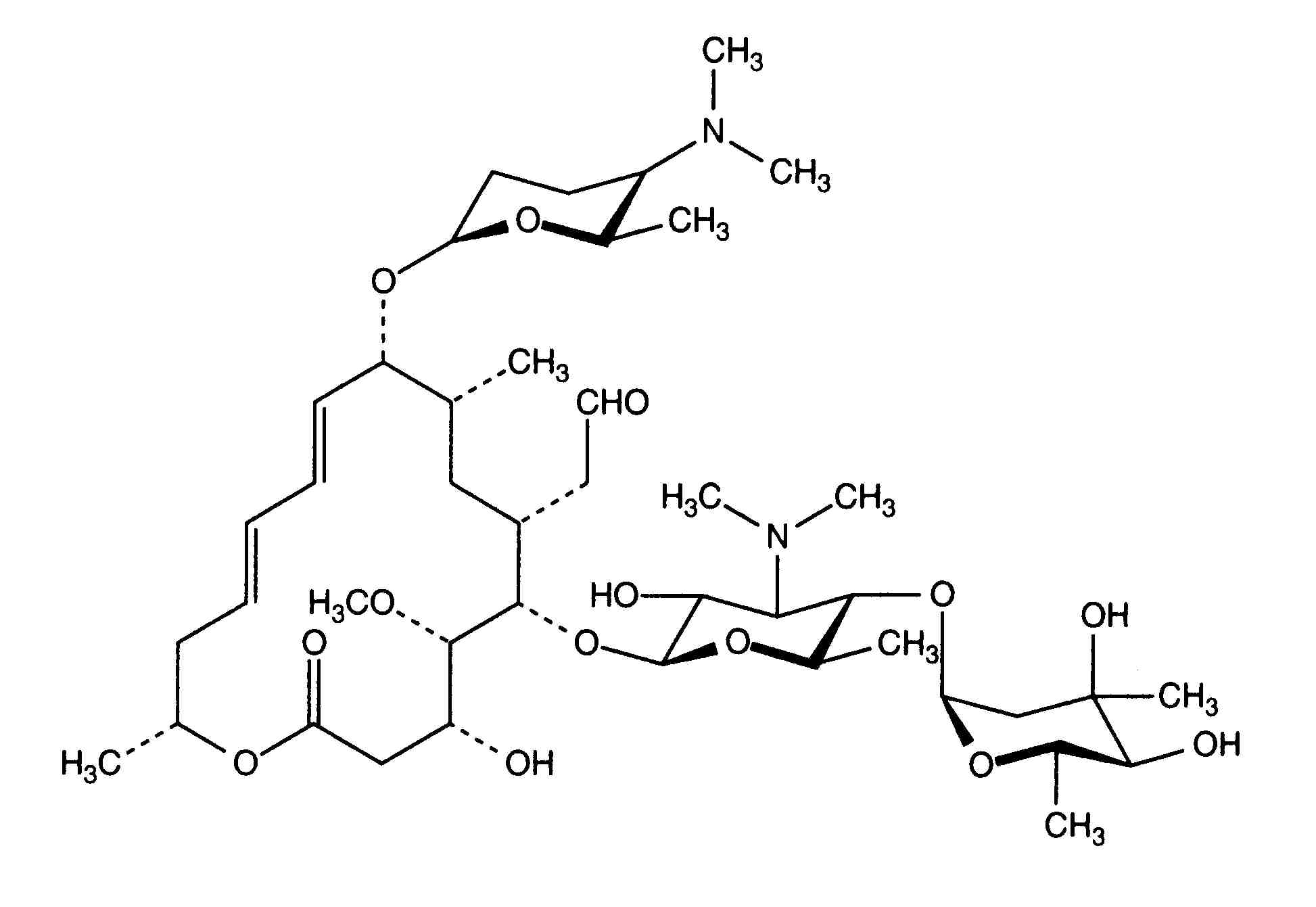
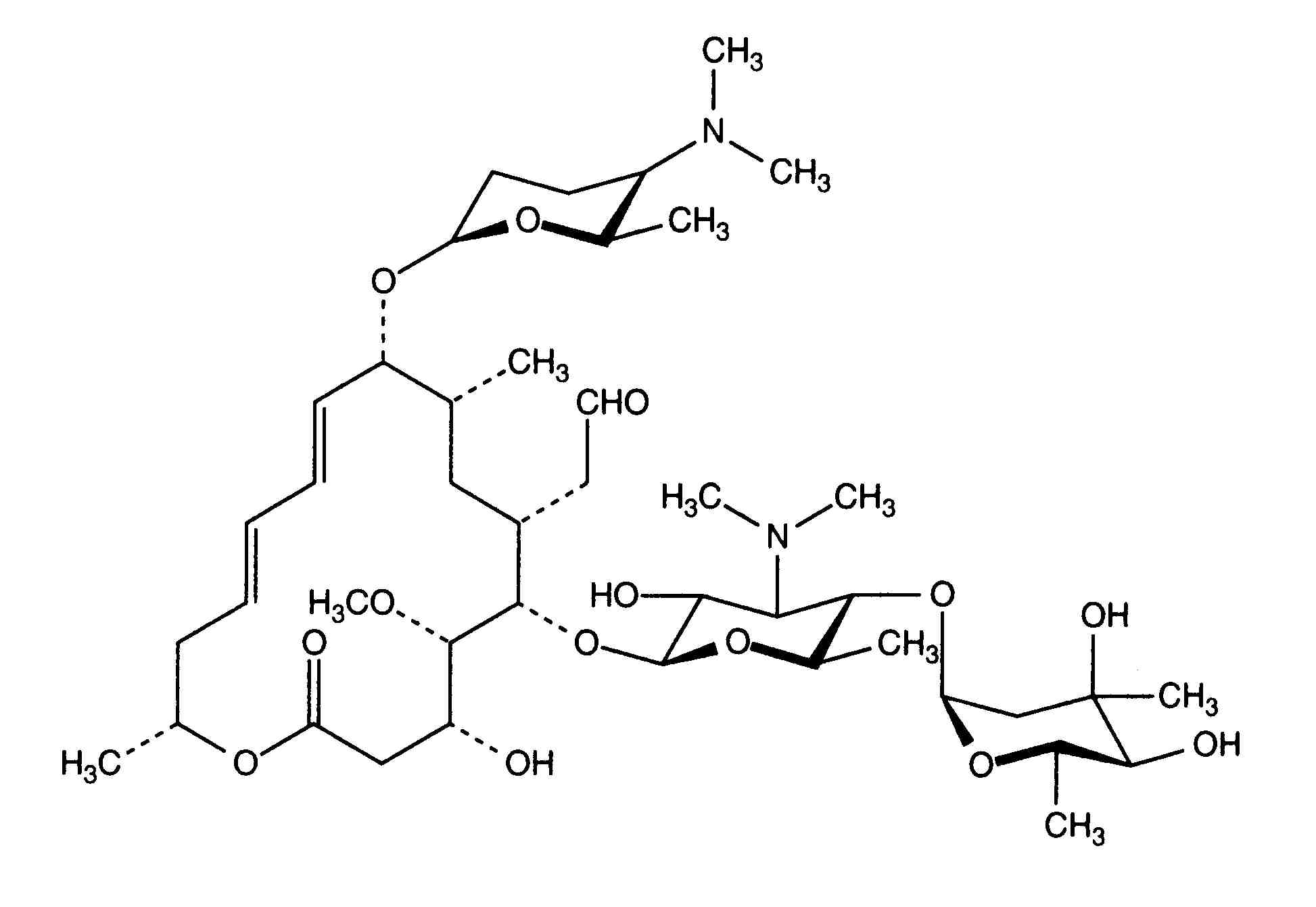
   Kemiallinen rakenne  

Kauppanimi   Kauppanimi     

Trade names are indicative and excipients composition can be different depending on the country and manufacturers

Rovamycine Puola, Ranska
Stabilius seoksissa   Injektioneste   Stabilius seoksissa : Spiramycine adipate     
ei tietoa

  Mentions Légales