Poslední aktualizace :
31/03/2026
Antibiotikum   Spiramycine adipate  
injekce
Stabilita roztoků Stabilita směsí Faktory ovlivňující stabilitu Kompatibilita Způsoby aplikace Odkazy pdf
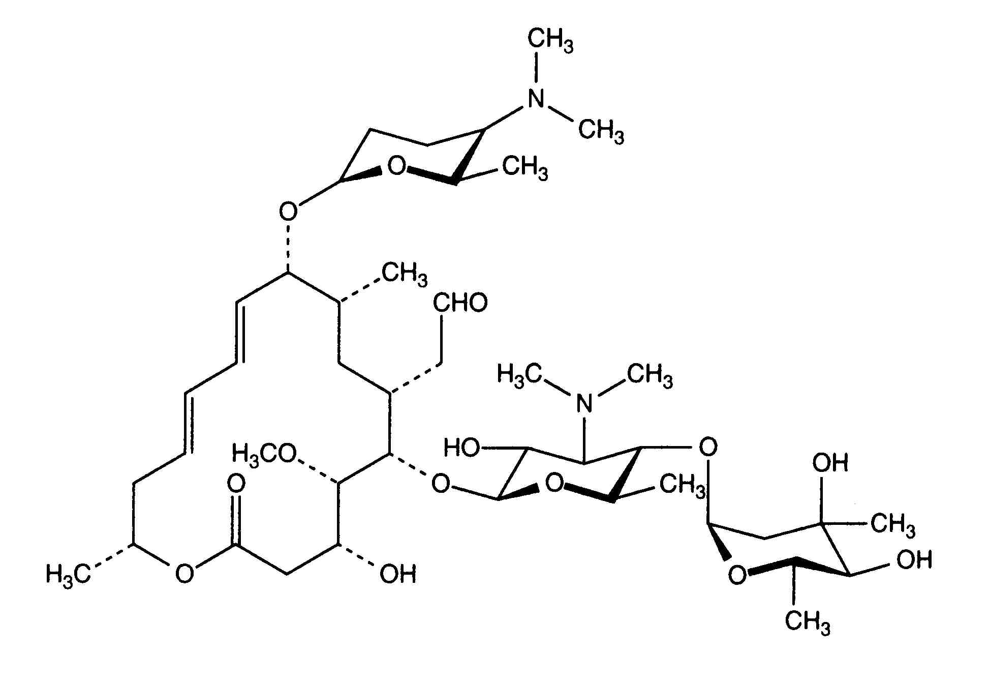
   Chemický vzorec  

Obchodní název   Obchodní název     

Trade names are indicative and excipients composition can be different depending on the country and manufacturers

Rovamycine Francie, Polsko
Stabilita směsí   injekce   Stabilita směsí : Spiramycine adipate     
žádná data

  Mentions Légales