Ostatnia aktualizacja :
31/03/2026
Antybiotyk   Spiramycine adipate  
Injekcje
Trwałość roztworów Trwałość w mieszaninie Czynnik wpływający na trwałość Zgodność Sposób podania Bibliografia pdf
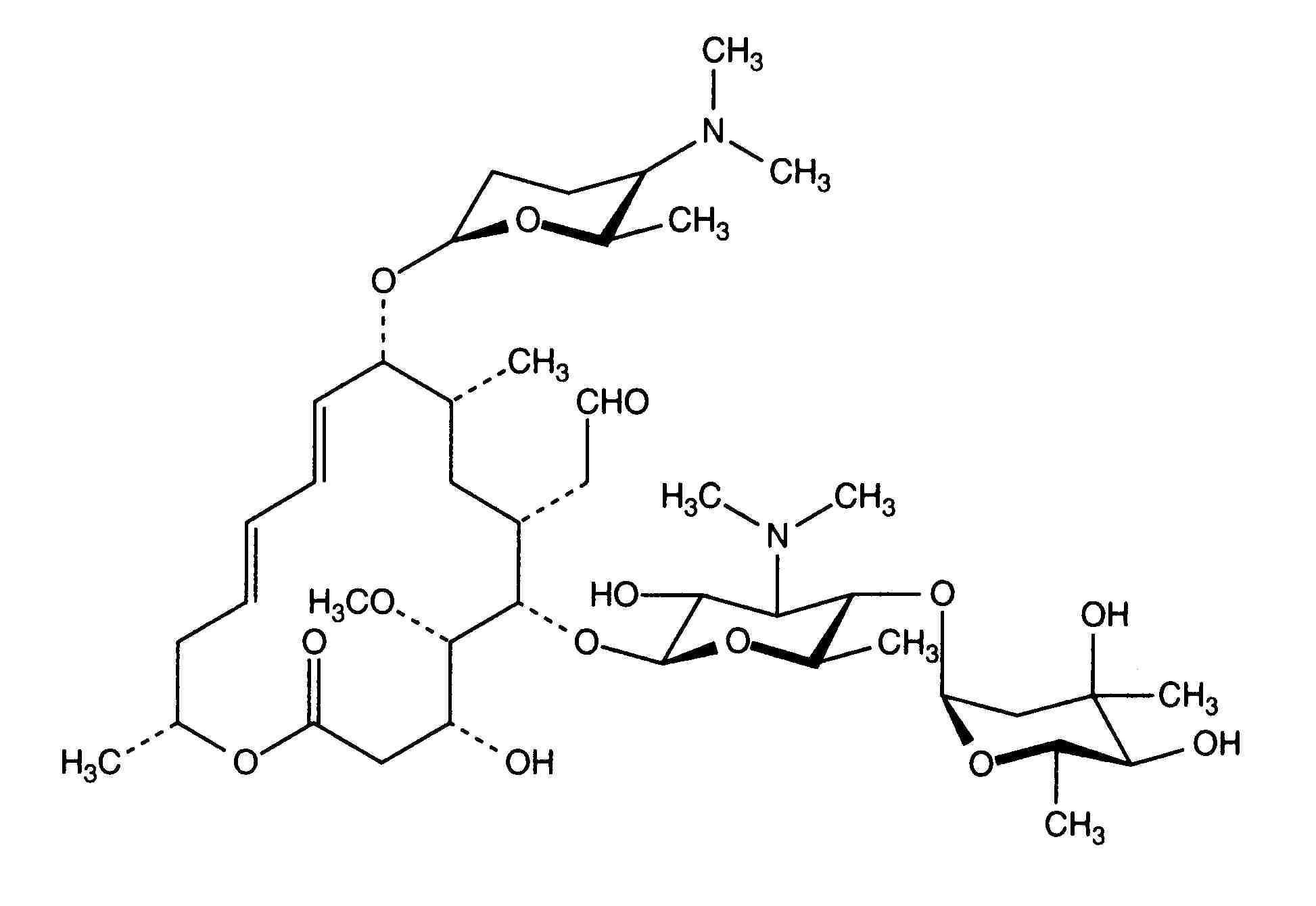
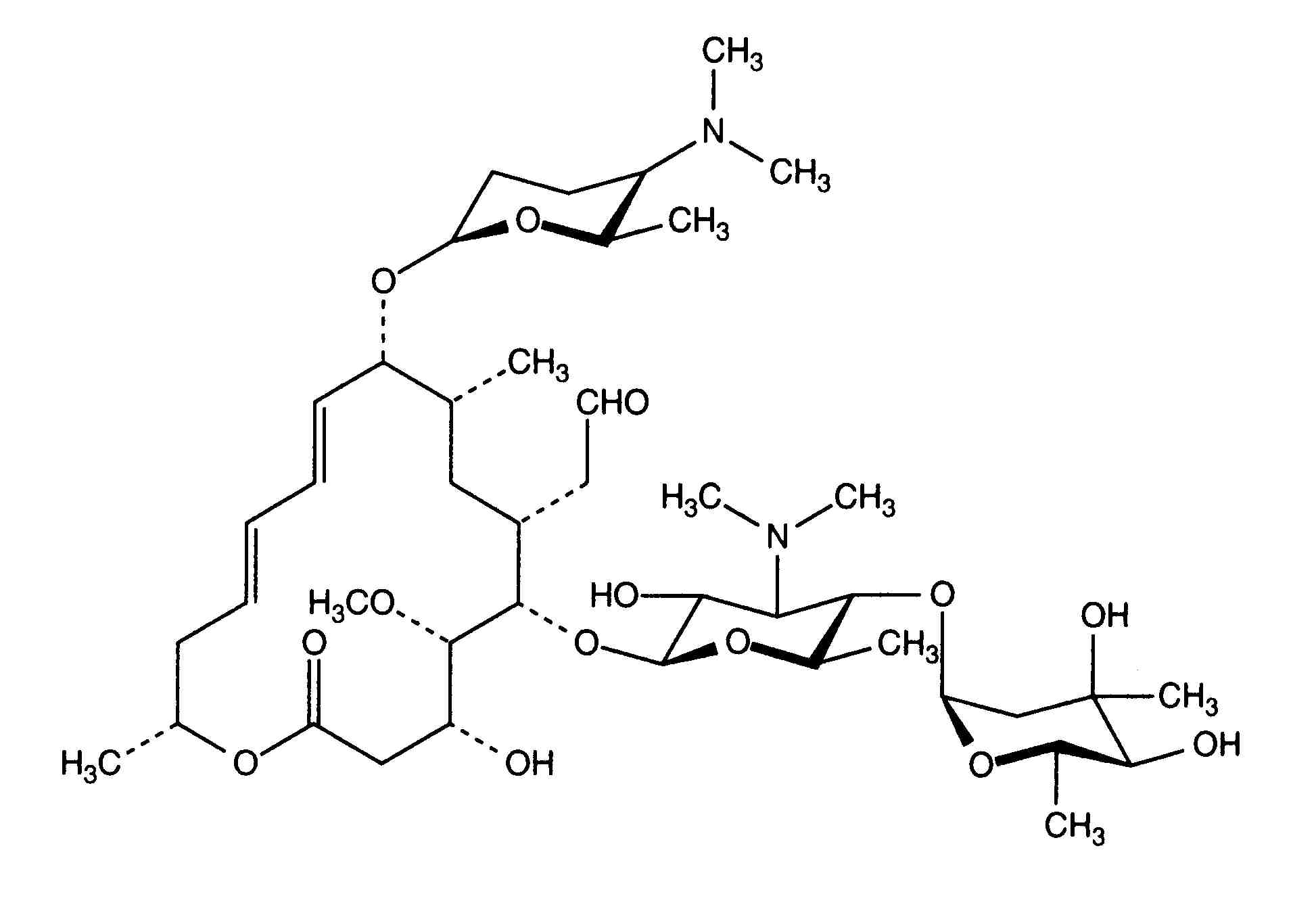
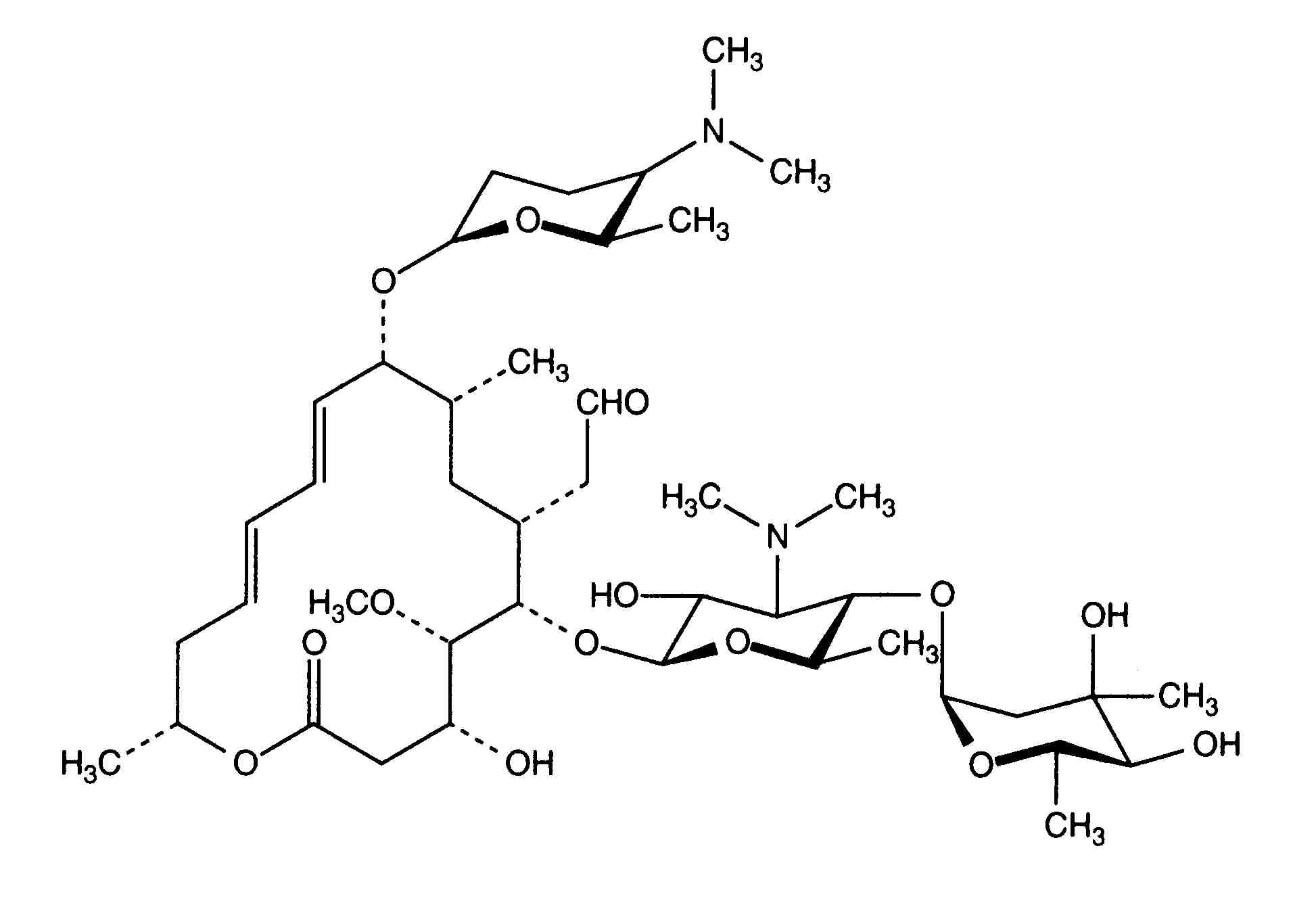
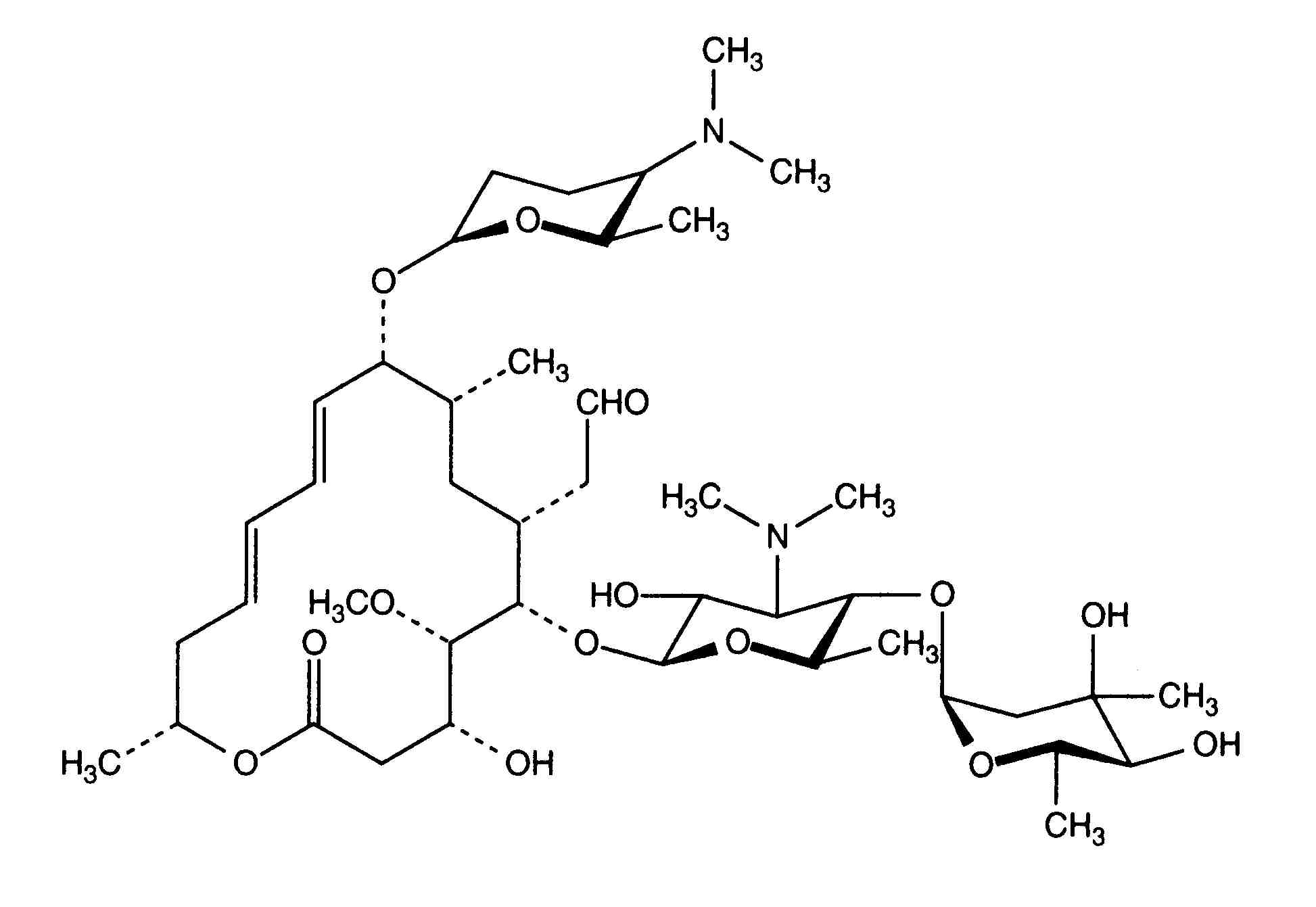
   Struktura chemiczna  

Nazwa handlowa   Nazwa handlowa     

Trade names are indicative and excipients composition can be different depending on the country and manufacturers

Rovamycine Francja , Polska
Trwałość w mieszaninie   Injekcje   Trwałość w mieszaninie : Spiramycine adipate     
Brak danych

  Mentions Légales