Останнє оновлення :
17/12/2025
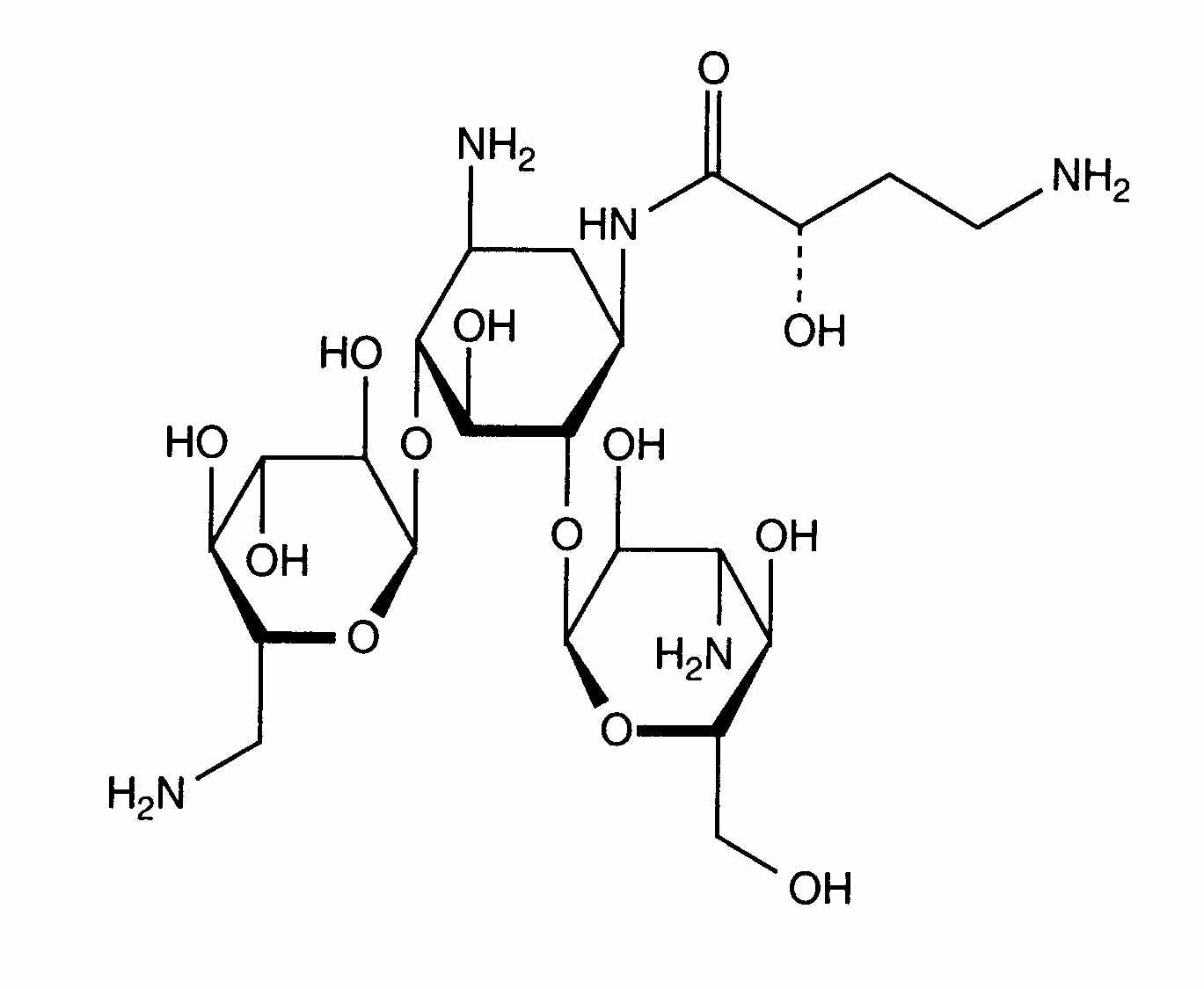
Антибіотик   Amikacin sulfate  
ін'єкція
Стійкість в розчинах Стійкість сумішей Фактори, що впливають на стабільність Сумісність Шлях введення Список літератури pdf
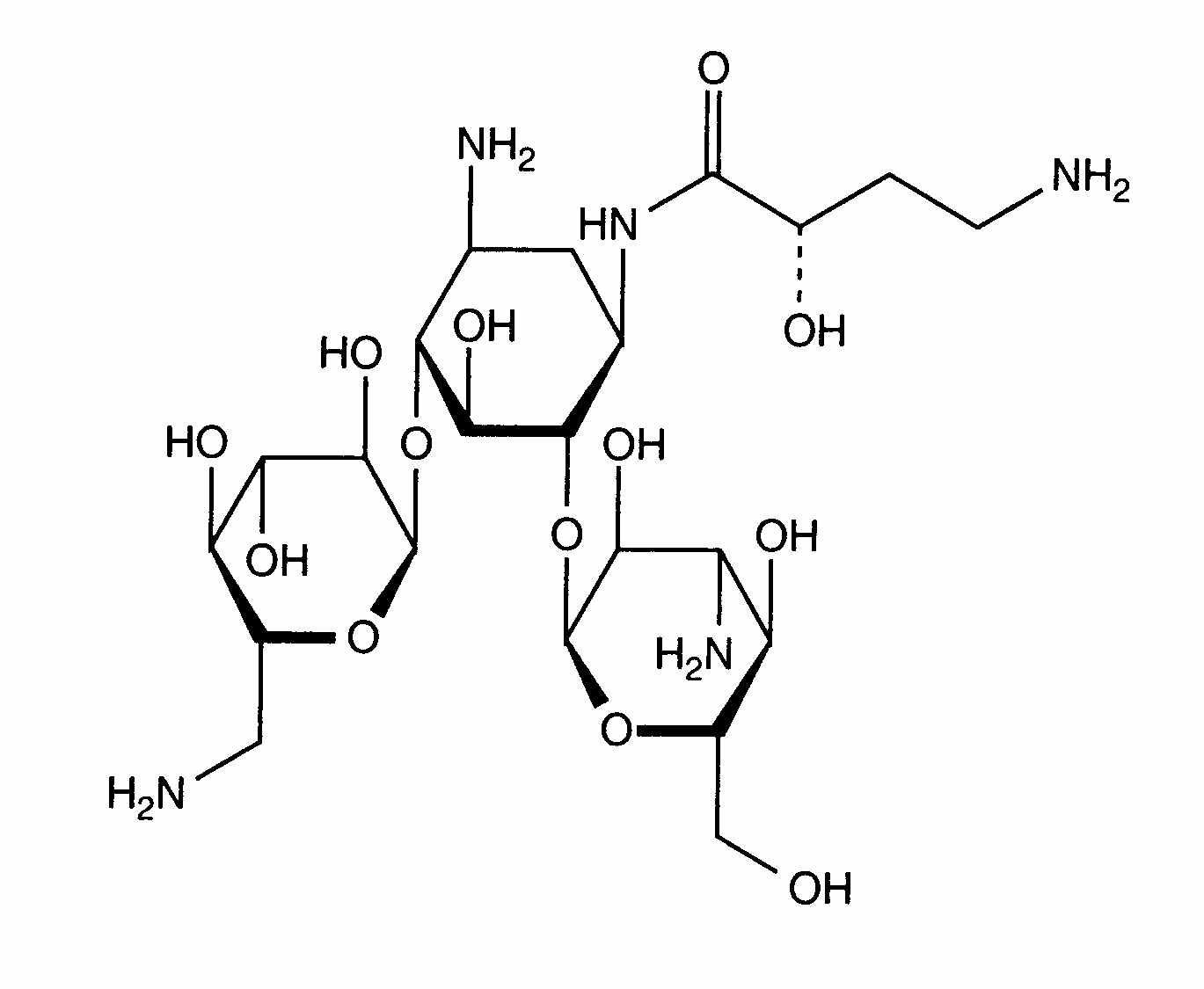
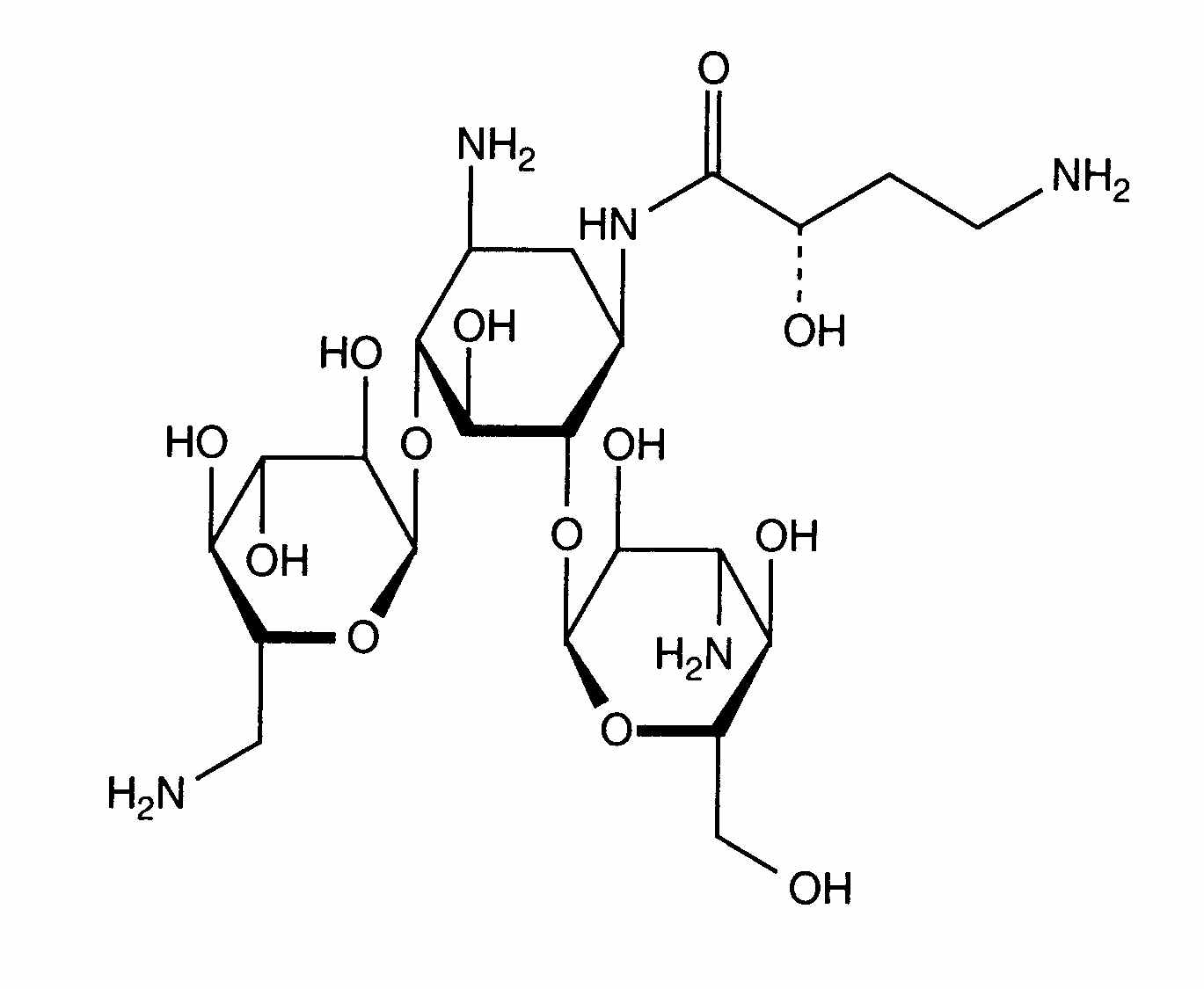
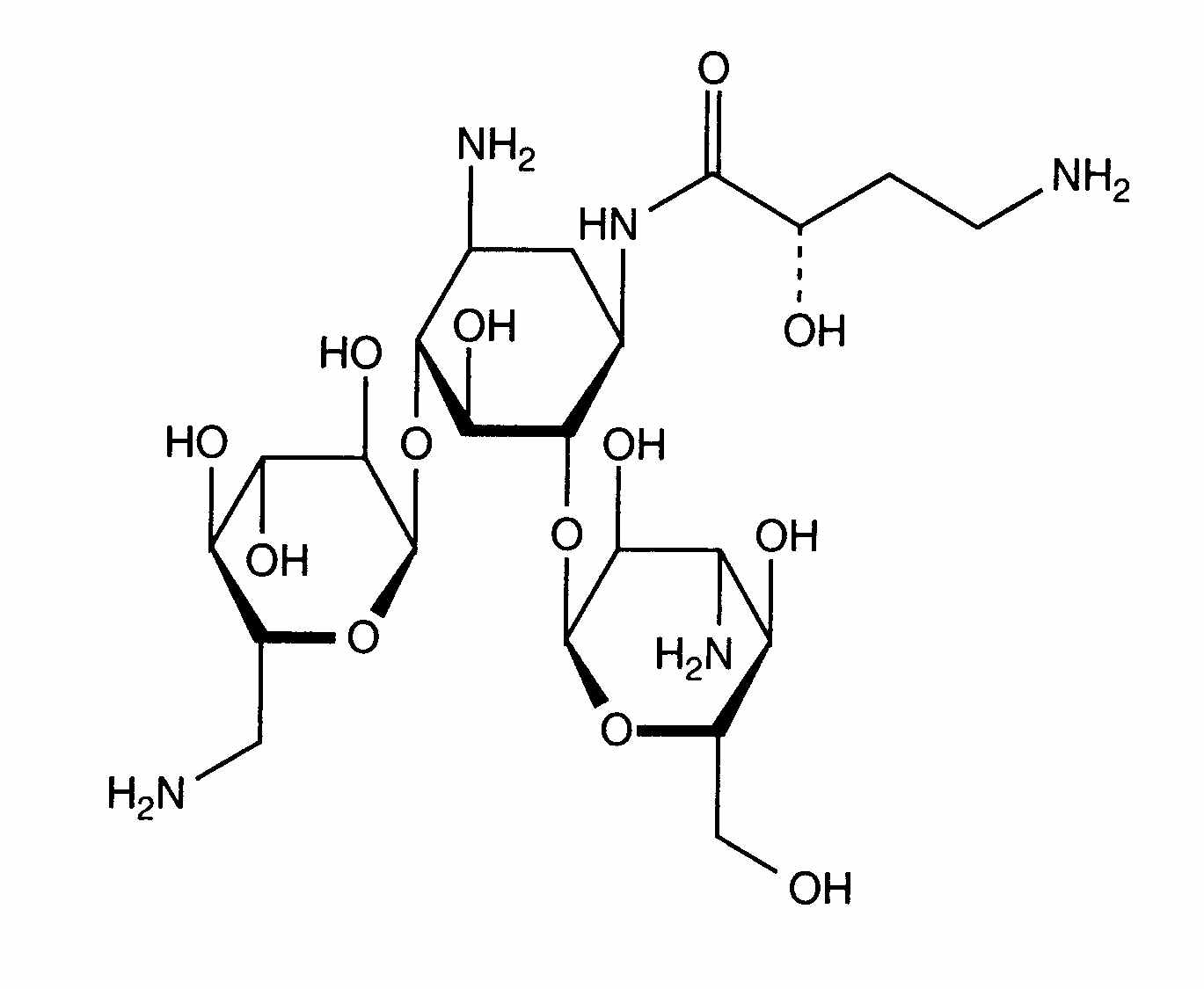
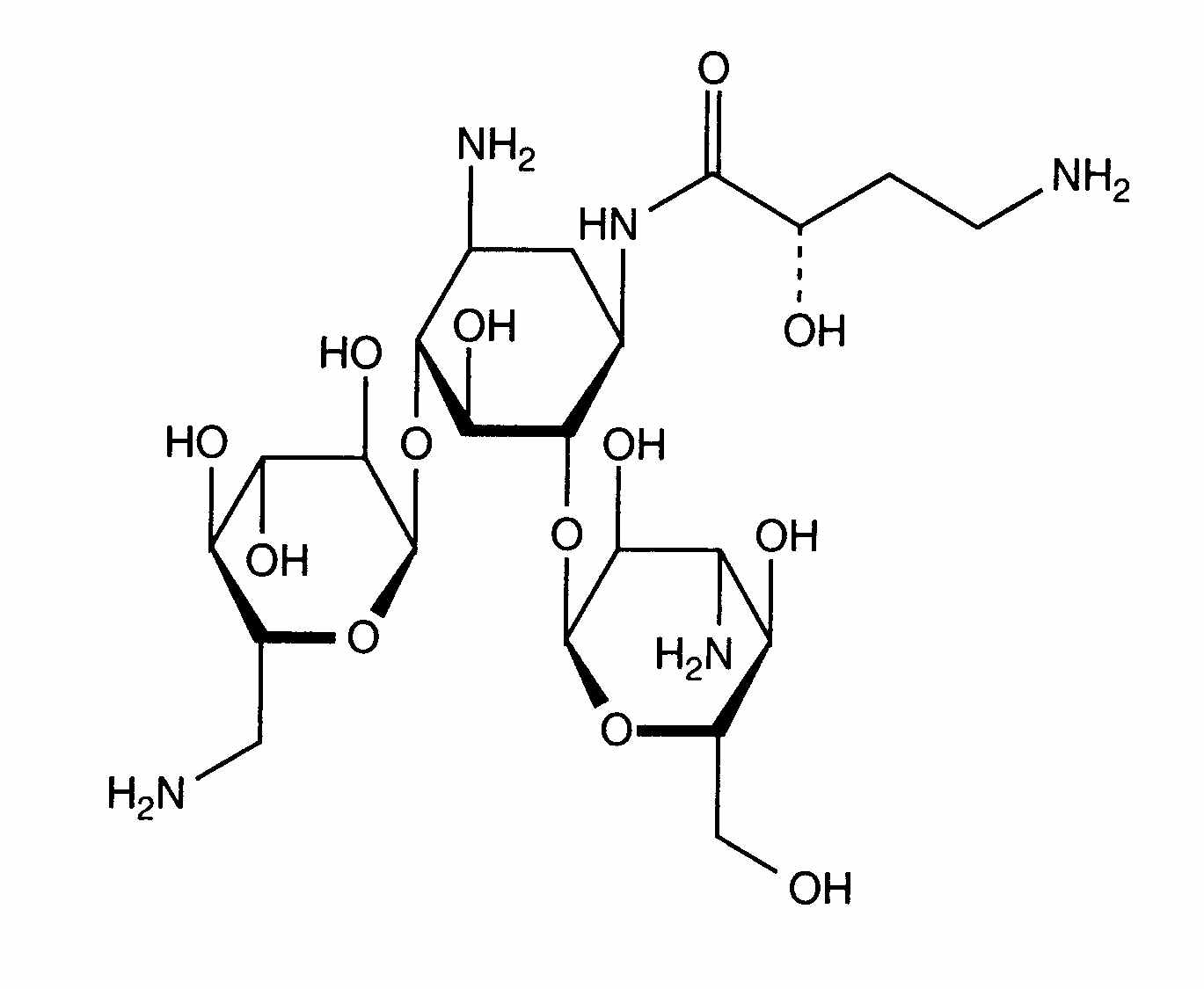
   Хімічна структура  

Торгова назва   Торгова назва     

Торгові назви є орієнтовними, а склад допоміжних речовин може бути різним залежно від країни та виробника

Adnet Індія
Agnicin Мексика
Akamin Еквадор
Akim Еквадор
Amicacil Бразилія
Amicilon Бразилія
Amicin Малайзія
Amicip Венесуела
Amijeksin Туреччина
Amikabiot Еквадор, Перу
Amikacin Єгипет, Іран, Великобританія, Канада, Малайзія, Німеччина, Нова Зеландія, Саудівська Аравія, Сполучені Штати Америки
Amikacina Іспанія, Італія, Аргентина, Венесуела, Еквадор, Колумбія, Мексика, Перу, Чилі
Amikacine Бельгія, Марокко, Нідерланди, Франція
Amikafur Мексика
Amikagram Перу
Amikalem Мексика
Amikamed Перу
Amikamek Перу
Amikan Італія
Amikavax Венесуела
Amikaver Туреччина
Amikayect Мексика
Amikem Перу
Amiketem Туреччина
Amikin Єгипет, Ірландія, Австралія, Бразилія, Великобританія, Еквадор, Колумбія, Мексика, Перу, Польща, Саудівська Аравія, Сполучені Штати Америки, Туніс, Угорщина, Швейцарія
Amiklin Туреччина, Франція
Amikosit Румунія, Туніс, Туреччина
Amikram Перу
Amukin Бельгія, Люксембург, Нідерланди
Apalin Малайзія
Baxi K Мексика, Чилі
Behcacin Індія, Венесуела
Belka Індія
Biclin Іспанія, Австрія, Мексика, Німеччина, Португалія, Фінляндія, Швеція
Biodacyna Польща
Biokacin Мексика
Briklin Греція
Cadicin Індія
Chemacin Італія
Cikabit Індія
Cinamica Індія
Cinas Індія
Consumonit Греція
Domak Індія
Doxocar Аргентина
Elcin Індія
Elmik Індія
Emcin Індія
Emica Індія
Farcyclin Греція
Flexelite Греція
Greini Аргентина
Ipacin Іран
Itukacin Перу
Kancin Греція
Lanomycin Греція
Lukadin Італія
Masmika Індія
Mediamik Італія
Micalpha Греція
Micigen Мексика
Migracin Італія
Mikacin Саудівська Аравія
Nekacin Італія
Novamin Бразилія
Orlobin Греція
Remikin Греція
Rovericlin Греція
Uzix Греція
Стійкість в розчинах   ін'єкція   Стійкість в розчинах : Amikacin sulfate     
Контейнер Розчинник Концентрація температура Зберігання Тривалість стабільності Список літератури
скло Натрію хлорид 0,9% 0,25 & 5 mg/ml -15°C Берегти від світла
30 День
561
Рівень доказовості D

скло Натрію хлорид 0,9% 0,25 & 5 mg/ml 25°C Не визначено
24 годину
561
Рівень доказовості D

скло Натрію хлорид 0,9% 0,25 & 5 mg/ml 4°C Берегти від світла
60 День
561
Рівень доказовості D

скло Натрію хлорид 0,9% 4 mg/ml 25°C Не визначено
48 годину
565
Рівень доказовості D

скло Глюкоза 5% 0,25 & 5 mg/ml -15°C Берегти від світла
30 День
561
Рівень доказовості D

скло Глюкоза 5% 0,25 & 5 mg/ml 25°C Не визначено
24 годину
561
Рівень доказовості D

скло Глюкоза 5% 0,25 & 5 mg/ml 4°C Берегти від світла
60 День
561
Рівень доказовості D

скло Глюкоза 5% 4 mg/ml 25°C Не визначено
48 годину
565
Рівень доказовості D

скло Розчин лактату Рінгера 0,25 & 5 mg/ml -15°C Берегти від світла
30 День
561
Рівень доказовості D

скло Розчин лактату Рінгера 0,25 & 5 mg/ml 25°C Не визначено
24 годину
561
Рівень доказовості D

скло Розчин лактату Рінгера 0,25 & 5 mg/ml 4°C Берегти від світла
60 День
561
Рівень доказовості D

скло Натрію хлорид 0,45% 0,25 & 5 mg/ml -15°C Берегти від світла
30 День
561
Рівень доказовості D

скло Натрію хлорид 0,45% 0,25 & 5 mg/ml 25°C Не визначено
24 годину
561
Рівень доказовості D

скло Натрію хлорид 0,45% 0,25 & 5 mg/ml 4°C Берегти від світла
60 День
561
Рівень доказовості D

Полівініл хлорид Натрію хлорид 0,9% 5 mg/ml 25°C світло
48 годину
434

Полівініл хлорид Натрію хлорид 0,9% 5 mg/ml 4°C Берегти від світла
8 годину
434

Полівініл хлорид Глюкоза 5% 20 mg/ml -20°C Берегти від світла
30 День
575
Біологічний аналіз

Полівініл хлорид Глюкоза 5% 5 mg/ml 25°C світло
48 годину
434

Полівініл хлорид Глюкоза 5% 5 mg/ml 4°C Берегти від світла
48 годину
434

Етиленвінілацетат Натрію хлорид 0,9% 0,25 & 5 mg/ml 23°C Берегти від світла
7 День
1816
Рівень доказовості А+

Етиленвінілацетат Натрію хлорид 0,9% 0,25 & 5 mg/ml 4°C Берегти від світла
30 День
1816
Рівень доказовості А+

Поліпропіленовий шприц Натрію хлорид 0,9% 190 mg/ml 22°C-23°C світло
48 годину
639
Рівень доказовості D

Поліізопреновий еластомер Глюкоза 5% 0,25 & 20 mg/ml 25°C Не визначено
24 годину
604
Дані виробника про стабільність


  Mentions Légales