Pēdējā atjaunošana :
27/01/2026
Antibiotika   Amikacin sulfate  
Injekcija
Šķīduma stabilitāte Maisījuma stabilitāte Stabilitāti ietekmējoši faktori Saderība Levadīšanas veids Literatūras saraksts pdf
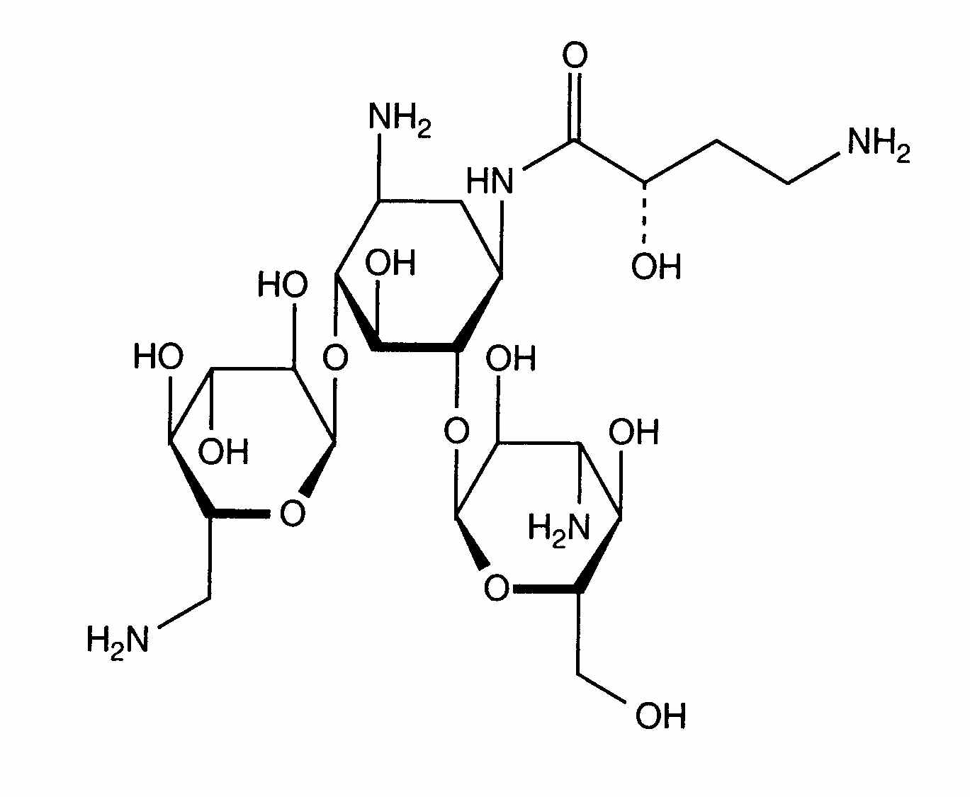
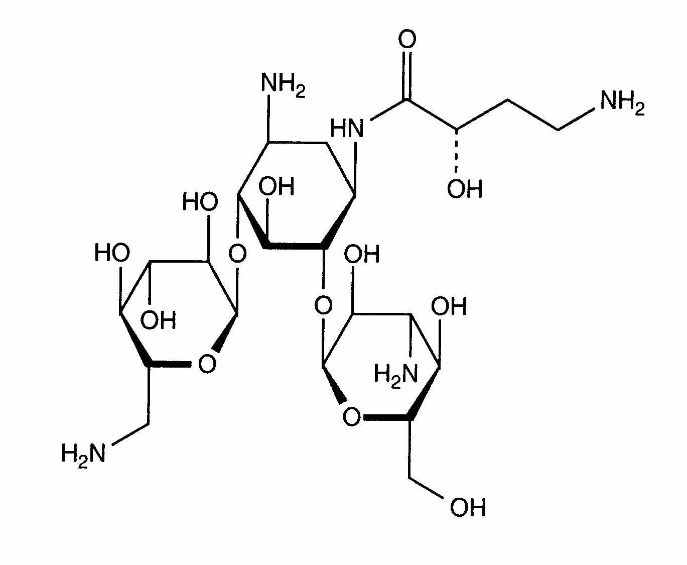
   Ķīmiskā uzbūve   

Oriģinālais nosaukums   Oriģinālais nosaukums     

Tirdzniecības nosaukumi ir apzīmējoši un palīgvielas var atšķirties dažādām valstīm un laboratorijām

Adnet Indija
Agnicin Meksika
Akamin Ekvadora
Akim Ekvadora
Amicacil Brazīlija
Amicilon Brazīlija
Amicin Malaizija
Amicip Venecuēla
Amijeksin Turcija
Amikabiot Ekvadora, Peru
Amikacin Amerikas Savienotās Valstis, Ēģipte, Irāna, Jaunzēlande, Kanāda, Lielbritānija, Malaizija, Saūda Arābija, Vācija
Amikacina Argentīna, Čīle, Ekvadora, Itālija, Kolumbija, Meksika, Peru, Spānija, Venecuēla
Amikacine Beļģija, Francija, Holande, Maroka
Amikafur Meksika
Amikagram Peru
Amikalem Meksika
Amikamed Peru
Amikamek Peru
Amikan Itālija
Amikavax Venecuēla
Amikaver Turcija
Amikayect Meksika
Amikem Peru
Amiketem Turcija
Amikin Amerikas Savienotās Valstis, Austrālija, Brazīlija, Ēģipte, Ekvadora, Īrija, Kolumbija, Lielbritānija, Meksika, Peru, Polija, Saūda Arābija, Šveice, Tunisija, Ungārija
Amiklin Francija, Turcija
Amikosit Rumānija, Tunisija, Turcija
Amikram Peru
Amukin Beļģija, Holande, Luksemburga
Apalin Malaizija
Baxi K Čīle, Meksika
Behcacin Indija, Venecuēla
Belka Indija
Biclin Austrija, Meksika, Portugāle, Somija, Spānija, Vācija, Zviedrija
Biodacyna Polija
Biokacin Meksika
Briklin Grieķija
Cadicin Indija
Chemacin Itālija
Cikabit Indija
Cinamica Indija
Cinas Indija
Consumonit Grieķija
Domak Indija
Doxocar Argentīna
Elcin Indija
Elmik Indija
Emcin Indija
Emica Indija
Farcyclin Grieķija
Flexelite Grieķija
Greini Argentīna
Ipacin Irāna
Itukacin Peru
Kancin Grieķija
Lanomycin Grieķija
Lukadin Itālija
Masmika Indija
Mediamik Itālija
Micalpha Grieķija
Micigen Meksika
Migracin Itālija
Mikacin Saūda Arābija
Nekacin Itālija
Novamin Brazīlija
Orlobin Grieķija
Remikin Grieķija
Rovericlin Grieķija
Uzix Grieķija
Šķīduma stabilitāte   Injekcija   Šķīduma stabilitāte : Amikacin sulfate     
Iepakojums Šķīdinātājs Koncentrācija Temperatūra Glabāšana Stabilitātes ilgums Literatūras saraksts
Stikls Nātrija hlorīds 0.9% 0,25 & 5 mg/ml -15°C Aizsargāt no gaismas
30 Diena
561
Pierādījumu līmenis D

Stikls Nātrija hlorīds 0.9% 0,25 & 5 mg/ml 25°C Nav specifisks
24 Stunda
561
Pierādījumu līmenis D

Stikls Nātrija hlorīds 0.9% 0,25 & 5 mg/ml 4°C Aizsargāt no gaismas
60 Diena
561
Pierādījumu līmenis D

Stikls Nātrija hlorīds 0.9% 4 mg/ml 25°C Nav specifisks
48 Stunda
565
Pierādījumu līmenis D

Stikls 5% glikoze 0,25 & 5 mg/ml -15°C Aizsargāt no gaismas
30 Diena
561
Pierādījumu līmenis D

Stikls 5% glikoze 0,25 & 5 mg/ml 25°C Nav specifisks
24 Stunda
561
Pierādījumu līmenis D

Stikls 5% glikoze 0,25 & 5 mg/ml 4°C Aizsargāt no gaismas
60 Diena
561
Pierādījumu līmenis D

Stikls 5% glikoze 4 mg/ml 25°C Nav specifisks
48 Stunda
565
Pierādījumu līmenis D

Stikls Ringera laktāta šķīdums 0,25 & 5 mg/ml -15°C Aizsargāt no gaismas
30 Diena
561
Pierādījumu līmenis D

Stikls Ringera laktāta šķīdums 0,25 & 5 mg/ml 25°C Nav specifisks
24 Stunda
561
Pierādījumu līmenis D

Stikls Ringera laktāta šķīdums 0,25 & 5 mg/ml 4°C Aizsargāt no gaismas
60 Diena
561
Pierādījumu līmenis D

Stikls Nātrija hlorīds 0.45% 0,25 & 5 mg/ml -15°C Aizsargāt no gaismas
30 Diena
561
Pierādījumu līmenis D

Stikls Nātrija hlorīds 0.45% 0,25 & 5 mg/ml 25°C Nav specifisks
24 Stunda
561
Pierādījumu līmenis D

Stikls Nātrija hlorīds 0.45% 0,25 & 5 mg/ml 4°C Aizsargāt no gaismas
60 Diena
561
Pierādījumu līmenis D

Polivinilhlorīds Nātrija hlorīds 0.9% 5 mg/ml 25°C Gaisma
48 Stunda
434

Polivinilhlorīds Nātrija hlorīds 0.9% 5 mg/ml 4°C Aizsargāt no gaismas
8 Stunda
434

Polivinilhlorīds 5% glikoze 20 mg/ml -20°C Aizsargāt no gaismas
30 Diena
575
Bioloģiskā metode

Polivinilhlorīds 5% glikoze 5 mg/ml 25°C Gaisma
48 Stunda
434

Polivinilhlorīds 5% glikoze 5 mg/ml 4°C Aizsargāt no gaismas
48 Stunda
434

Etilvinilacetāts Nātrija hlorīds 0.9% 0,25 & 5 mg/ml 23°C Aizsargāt no gaismas
7 Diena
1816
Pierādījumu līmenis A+

Etilvinilacetāts Nātrija hlorīds 0.9% 0,25 & 5 mg/ml 4°C Aizsargāt no gaismas
30 Diena
1816
Pierādījumu līmenis A+

Šļirce polipropilēna Nātrija hlorīds 0.9% 190 mg/ml 22°C-23°C Gaisma
48 Stunda
639
Pierādījumu līmenis D

Poliizoprēna elastomērs 5% glikoze 0,25 & 20 mg/ml 25°C Nav specifisks
24 Stunda
604
Ražotāja stabilitātes dati


  Mentions Légales