Senaste uppdateringen :
12/12/2025
Antibiotikum   Amikacin sulfate  
injektion
Lösningars stabilitet Stabilitet i blandningar Faktorer som påverkar stabiliteten Kompatibilitet Administreringssätt Hänvisningar pdf
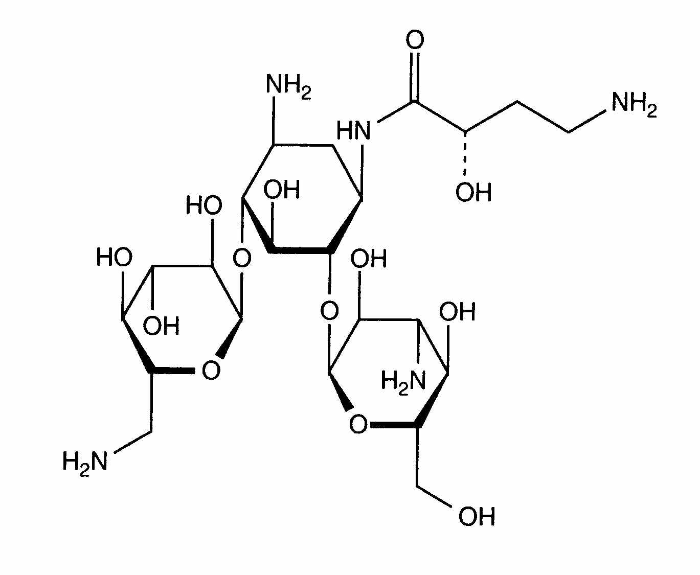
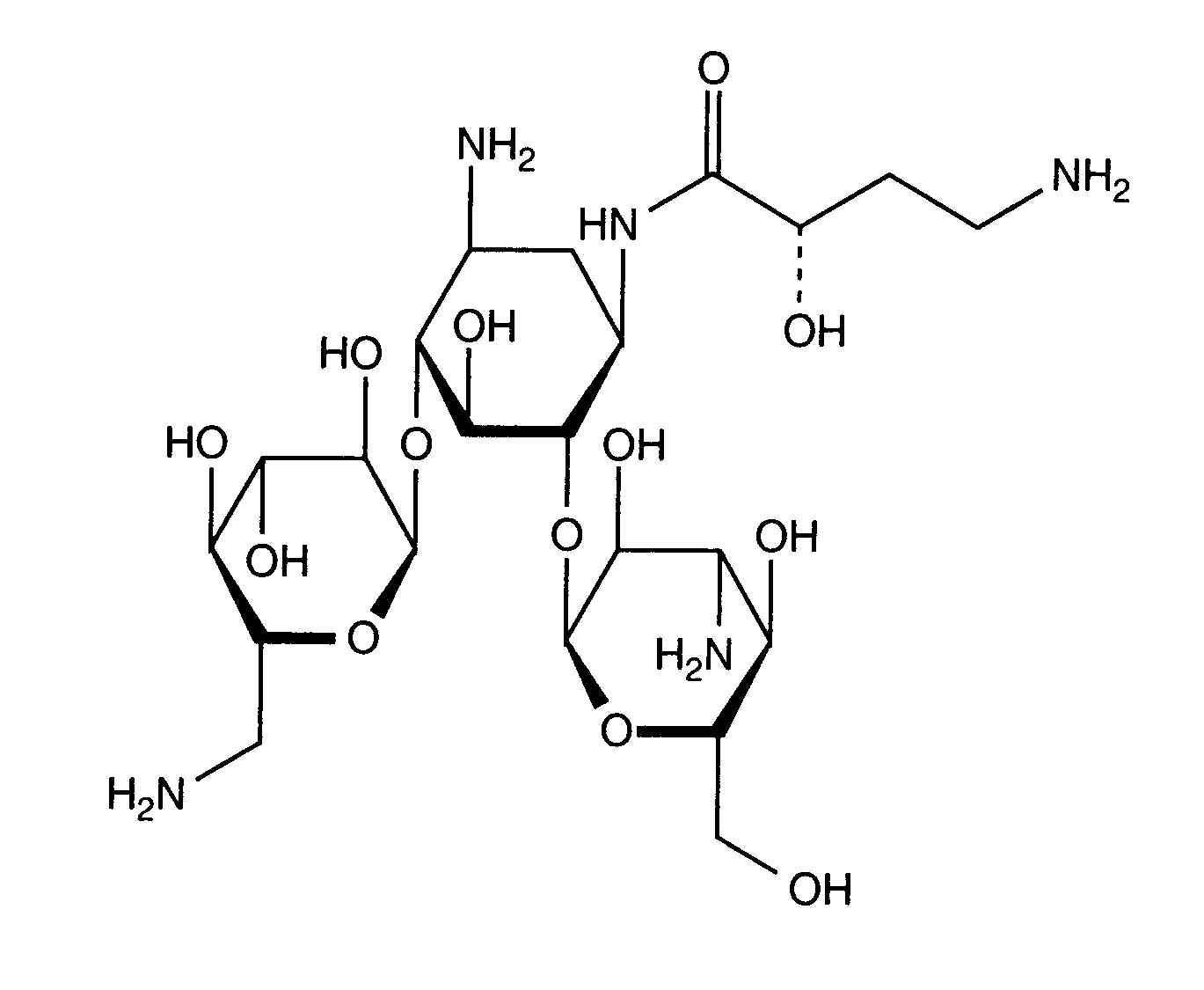
   Molekylstruktur  

Varunamn   Varunamn     

Angivna handelsnamn på läkemedel är enbart vägledande då formulering inklusive hjälpämnen kan variera mellan länder och tillverkare

Adnet Indien
Agnicin Mexiko
Akamin Ecuador
Akim Ecuador
Amicacil Brasilien
Amicilon Brasilien
Amicin Malaysia
Amicip Venezuela
Amijeksin Turkiet
Amikabiot Ecuador, Peru
Amikacin Egypten, Förenta Staterna, Iran, Kanada, Malaysia, nya Zeeland, Saudi-Arabien, Storbritannien, Tyskland
Amikacina Argentina, Chile, Colombia, Ecuador, Italien, Mexiko, Peru, Spanien, Venezuela
Amikacine Belgien, Frankrike, Marocko, Nederländerna
Amikafur Mexiko
Amikagram Peru
Amikalem Mexiko
Amikamed Peru
Amikamek Peru
Amikan Italien
Amikavax Venezuela
Amikaver Turkiet
Amikayect Mexiko
Amikem Peru
Amiketem Turkiet
Amikin Australien, Brasilien, Colombia, Ecuador, Egypten, Förenta Staterna, Irland, Mexiko, Peru, Polen, Saudi-Arabien, Schweiz, Storbritannien, Tunisien, Ungern
Amiklin Frankrike, Turkiet
Amikosit Rumänien, Tunisien, Turkiet
Amikram Peru
Amukin Belgien, Luxemburg, Nederländerna
Apalin Malaysia
Baxi K Chile, Mexiko
Behcacin Indien, Venezuela
Belka Indien
Biclin Finland, Mexiko, Österrike, Portugal, Spanien, Sverige, Tyskland
Biodacyna Polen
Biokacin Mexiko
Briklin Grekland
Cadicin Indien
Chemacin Italien
Cikabit Indien
Cinamica Indien
Cinas Indien
Consumonit Grekland
Domak Indien
Doxocar Argentina
Elcin Indien
Elmik Indien
Emcin Indien
Emica Indien
Farcyclin Grekland
Flexelite Grekland
Greini Argentina
Ipacin Iran
Itukacin Peru
Kancin Grekland
Lanomycin Grekland
Lukadin Italien
Masmika Indien
Mediamik Italien
Micalpha Grekland
Micigen Mexiko
Migracin Italien
Mikacin Saudi-Arabien
Nekacin Italien
Novamin Brasilien
Orlobin Grekland
Remikin Grekland
Rovericlin Grekland
Uzix Grekland
Lösningars stabilitet   injektion   Lösningars stabilitet : Amikacin sulfate     
Behållare Lösningsmedel Koncentration Temperatur Förvaring Stabilitets varaktighet Hänvisningar
Glas Natriumklorid 0,9 % 0,25 & 5 mg/ml -15°C Skyddas från ljus
30 Dag
561
Evidensnivå D

Glas Natriumklorid 0,9 % 0,25 & 5 mg/ml 25°C Ej angiven
24 Timma
561
Evidensnivå D

Glas Natriumklorid 0,9 % 0,25 & 5 mg/ml 4°C Skyddas från ljus
60 Dag
561
Evidensnivå D

Glas Natriumklorid 0,9 % 4 mg/ml 25°C Ej angiven
48 Timma
565
Evidensnivå D

Glas Glukos 5 % 0,25 & 5 mg/ml -15°C Skyddas från ljus
30 Dag
561
Evidensnivå D

Glas Glukos 5 % 0,25 & 5 mg/ml 25°C Ej angiven
24 Timma
561
Evidensnivå D

Glas Glukos 5 % 0,25 & 5 mg/ml 4°C Skyddas från ljus
60 Dag
561
Evidensnivå D

Glas Glukos 5 % 4 mg/ml 25°C Ej angiven
48 Timma
565
Evidensnivå D

Glas Ringer-laktatlösning 0,25 & 5 mg/ml -15°C Skyddas från ljus
30 Dag
561
Evidensnivå D

Glas Ringer-laktatlösning 0,25 & 5 mg/ml 25°C Ej angiven
24 Timma
561
Evidensnivå D

Glas Ringer-laktatlösning 0,25 & 5 mg/ml 4°C Skyddas från ljus
60 Dag
561
Evidensnivå D

Glas Natriumklorid 0,45 % 0,25 & 5 mg/ml -15°C Skyddas från ljus
30 Dag
561
Evidensnivå D

Glas Natriumklorid 0,45 % 0,25 & 5 mg/ml 25°C Ej angiven
24 Timma
561
Evidensnivå D

Glas Natriumklorid 0,45 % 0,25 & 5 mg/ml 4°C Skyddas från ljus
60 Dag
561
Evidensnivå D

Polyvinylklorid Natriumklorid 0,9 % 5 mg/ml 25°C Ljus
48 Timma
434

Polyvinylklorid Natriumklorid 0,9 % 5 mg/ml 4°C Skyddas från ljus
8 Timma
434

Polyvinylklorid Glukos 5 % 20 mg/ml -20°C Skyddas från ljus
30 Dag
575
Biologisk analys

Polyvinylklorid Glukos 5 % 5 mg/ml 25°C Ljus
48 Timma
434

Polyvinylklorid Glukos 5 % 5 mg/ml 4°C Skyddas från ljus
48 Timma
434

Etylenvinylacetat Natriumklorid 0,9 % 0,25 & 5 mg/ml 23°C Skyddas från ljus
7 Dag
1816
Evidensnivå A+

Etylenvinylacetat Natriumklorid 0,9 % 0,25 & 5 mg/ml 4°C Skyddas från ljus
30 Dag
1816
Evidensnivå A+

Spruta polypropen Natriumklorid 0,9 % 190 mg/ml 22°C-23°C Ljus
48 Timma
639
Evidensnivå D

Polyisopren elastomer Glukos 5 % 0,25 & 20 mg/ml 25°C Ej angiven
24 Timma
604
Tillverkarens stabilitetsuppgifter


  Mentions Légales