Zadnji put ažurirano :
27/01/2026
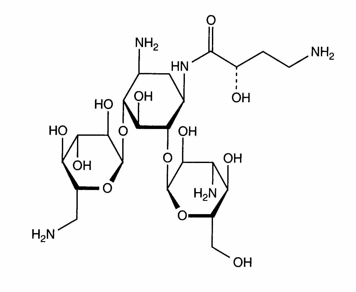
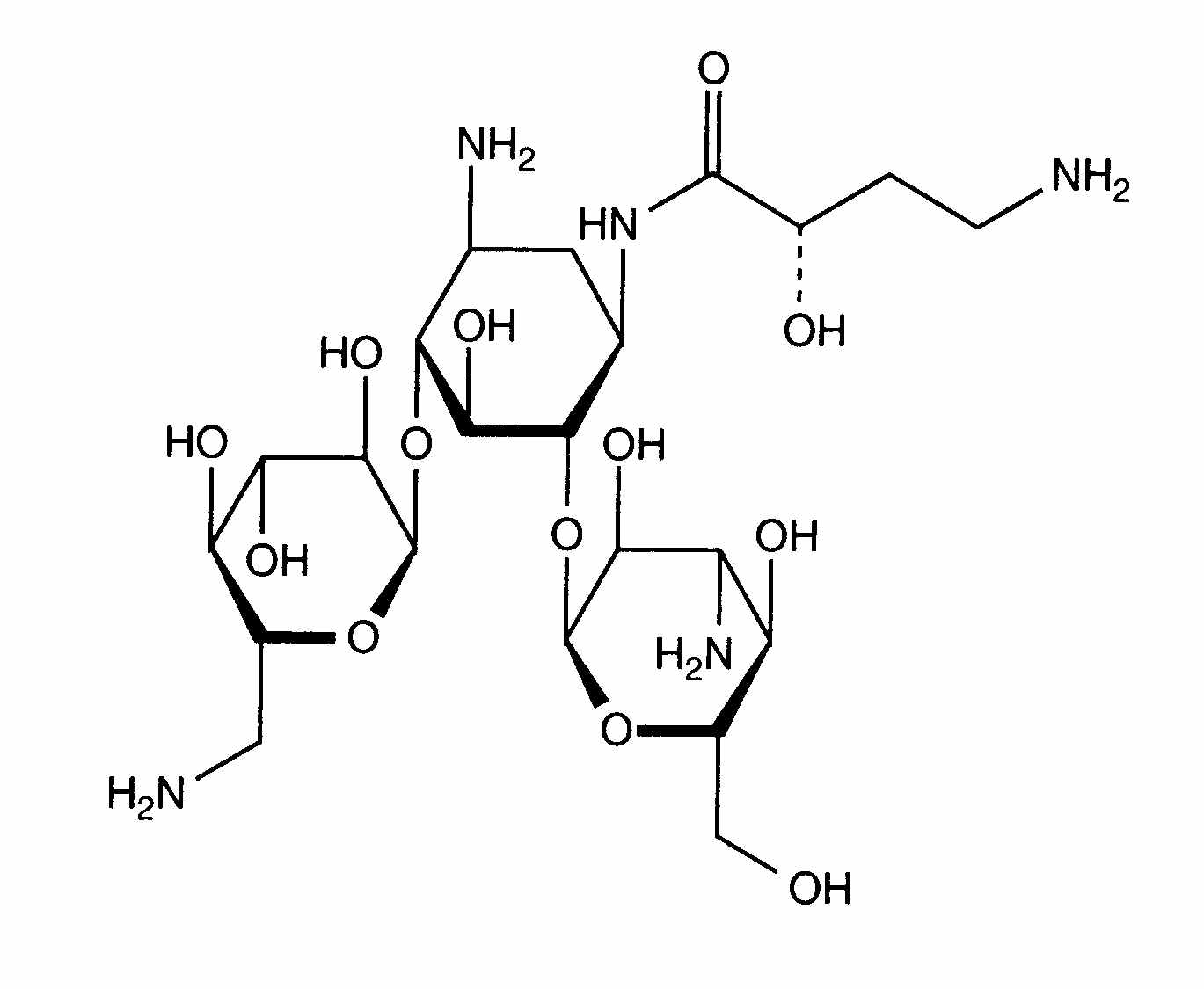
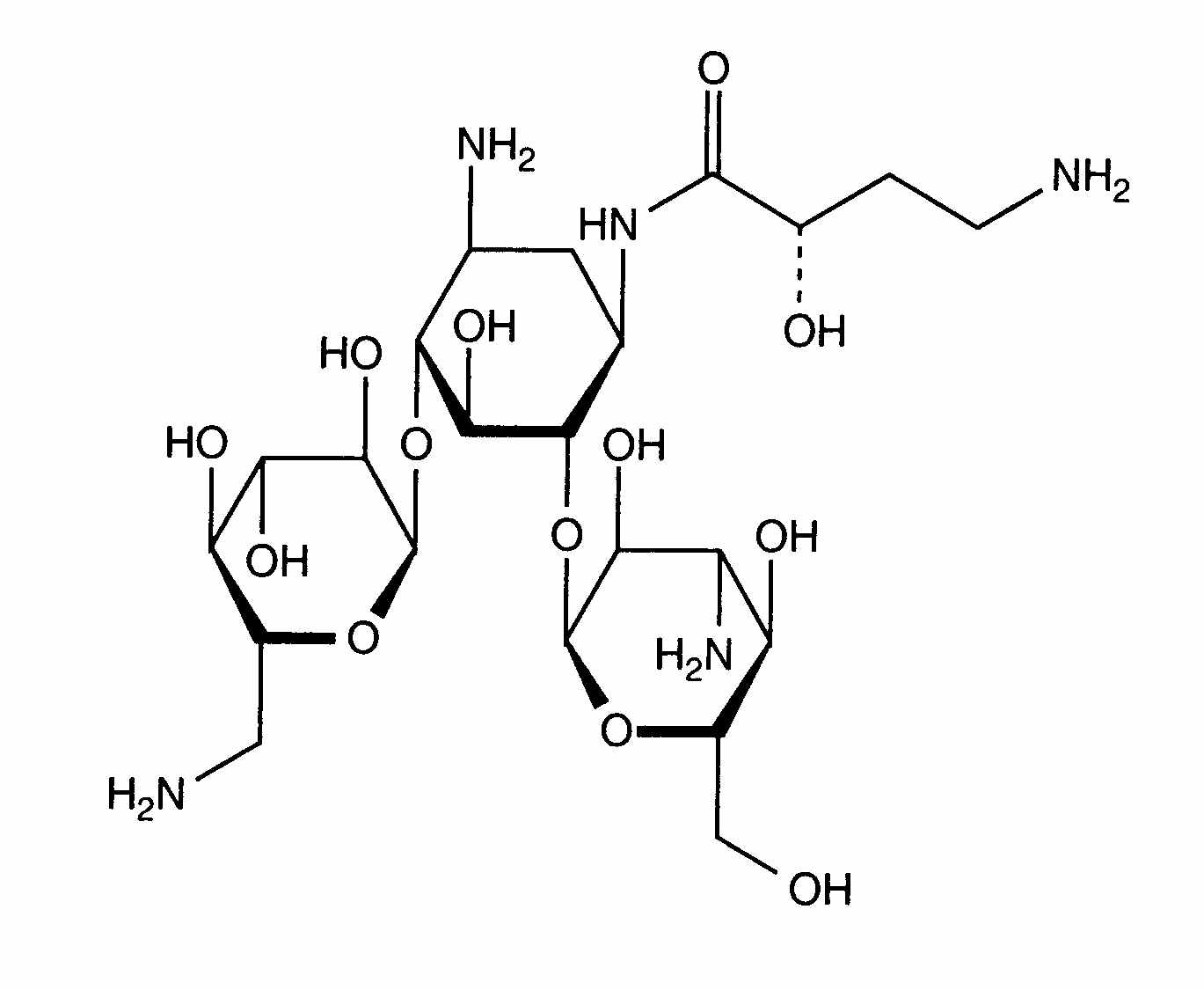
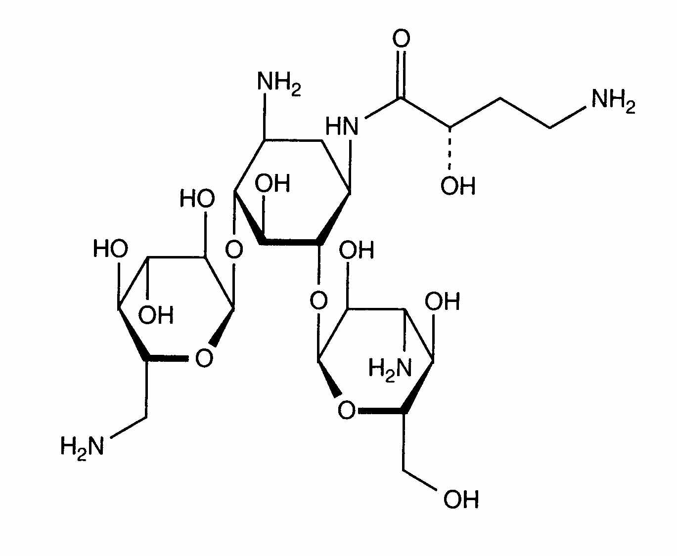
antibiotik   Amikacin sulfate  
injekcija
Stabilizacija rješenja Stabilnost mješavine Stabilizacijski faktor Kompatibilnosti način davanja lijeka Bibliografija pdf
   Kemijska struktura  

Nekomercijalni   Nekomercijalni     

Zaštićeni nazivi su indikativni i sastav ekscipijensa može biti različit ovisno o državi i laboratorijima

Adnet Indija
Agnicin Meksiko
Akamin Ekvador
Akim Ekvador
Amicacil Brazil
Amicilon Brazil
Amicin Malezija
Amicip Venecuela
Amijeksin Turska
Amikabiot Ekvador, Peru
Amikacin Egipat, Iran, Kanada, Malezija, Njemačka, novi Zeland, S A D, Saudijska Arabija, Velika Britanija
Amikacina Argentina, Čile, Ekvador, Italija, Kolumbija, Meksiko, Peru, Španjolska, Venecuela
Amikacine Belgija, Francuska, Maroko, Nizozemska
Amikafur Meksiko
Amikagram Peru
Amikalem Meksiko
Amikamed Peru
Amikamek Peru
Amikan Italija
Amikavax Venecuela
Amikaver Turska
Amikayect Meksiko
Amikem Peru
Amiketem Turska
Amikin Australija, Brazil, Egipat, Ekvador, Irska, Kolumbija, Madžarska, Meksiko, Peru, Poljska, S A D, Saudijska Arabija, Švicarska, Tunis, Velika Britanija
Amiklin Francuska, Turska
Amikosit Rumunjska, Tunis, Turska
Amikram Peru
Amukin Belgija, Luksemburg, Nizozemska
Apalin Malezija
Baxi K Čile, Meksiko
Behcacin Indija, Venecuela
Belka Indija
Biclin Austrija, Finska, Meksiko, Njemačka, Portugal, Španjolska, Švedska
Biodacyna Poljska
Biokacin Meksiko
Briklin Grčka
Cadicin Indija
Chemacin Italija
Cikabit Indija
Cinamica Indija
Cinas Indija
Consumonit Grčka
Domak Indija
Doxocar Argentina
Elcin Indija
Elmik Indija
Emcin Indija
Emica Indija
Farcyclin Grčka
Flexelite Grčka
Greini Argentina
Ipacin Iran
Itukacin Peru
Kancin Grčka
Lanomycin Grčka
Lukadin Italija
Masmika Indija
Mediamik Italija
Micalpha Grčka
Micigen Meksiko
Migracin Italija
Mikacin Saudijska Arabija
Nekacin Italija
Novamin Brazil
Orlobin Grčka
Remikin Grčka
Rovericlin Grčka
Uzix Grčka
Stabilizacija rješenja   injekcija   Stabilizacija rješenja : Amikacin sulfate     
Kontejner sredstvo za rastapanje koncentracija temperatura Konzerviranje Trajanje stabilnosti Bibliografija
čaša natrijumkorid 0,9% 0,25 & 5 mg/ml -15°C Zaštićeno od svjetlosti
30 dan
561
Razina dokaza D

čaša natrijumkorid 0,9% 0,25 & 5 mg/ml 25°C nespecifičan
24 sat
561
Razina dokaza D

čaša natrijumkorid 0,9% 0,25 & 5 mg/ml 4°C Zaštićeno od svjetlosti
60 dan
561
Razina dokaza D

čaša natrijumkorid 0,9% 4 mg/ml 25°C nespecifičan
48 sat
565
Razina dokaza D

čaša glukoza 5% 0,25 & 5 mg/ml -15°C Zaštićeno od svjetlosti
30 dan
561
Razina dokaza D

čaša glukoza 5% 0,25 & 5 mg/ml 25°C nespecifičan
24 sat
561
Razina dokaza D

čaša glukoza 5% 0,25 & 5 mg/ml 4°C Zaštićeno od svjetlosti
60 dan
561
Razina dokaza D

čaša glukoza 5% 4 mg/ml 25°C nespecifičan
48 sat
565
Razina dokaza D

čaša Ringer laktat 0,25 & 5 mg/ml -15°C Zaštićeno od svjetlosti
30 dan
561
Razina dokaza D

čaša Ringer laktat 0,25 & 5 mg/ml 25°C nespecifičan
24 sat
561
Razina dokaza D

čaša Ringer laktat 0,25 & 5 mg/ml 4°C Zaštićeno od svjetlosti
60 dan
561
Razina dokaza D

čaša natrijumklorid 0,45% 0,25 & 5 mg/ml -15°C Zaštićeno od svjetlosti
30 dan
561
Razina dokaza D

čaša natrijumklorid 0,45% 0,25 & 5 mg/ml 25°C nespecifičan
24 sat
561
Razina dokaza D

čaša natrijumklorid 0,45% 0,25 & 5 mg/ml 4°C Zaštićeno od svjetlosti
60 dan
561
Razina dokaza D

polivinilklorid natrijumkorid 0,9% 5 mg/ml 25°C svjetlost
48 sat
434

polivinilklorid natrijumkorid 0,9% 5 mg/ml 4°C Zaštićeno od svjetlosti
8 sat
434

polivinilklorid glukoza 5% 20 mg/ml -20°C Zaštićeno od svjetlosti
30 dan
575
Biološka metoda

polivinilklorid glukoza 5% 5 mg/ml 25°C svjetlost
48 sat
434

polivinilklorid glukoza 5% 5 mg/ml 4°C Zaštićeno od svjetlosti
48 sat
434

etilvinilacetat natrijumkorid 0,9% 0,25 & 5 mg/ml 23°C Zaštićeno od svjetlosti
7 dan
1816
Razina dokaza A+

etilvinilacetat natrijumkorid 0,9% 0,25 & 5 mg/ml 4°C Zaštićeno od svjetlosti
30 dan
1816
Razina dokaza A+

špric polipropilen natrijumkorid 0,9% 190 mg/ml 22°C-23°C svjetlost
48 sat
639
Razina dokaza D

Poliizoprenski elastomer glukoza 5% 0,25 & 20 mg/ml 25°C nespecifičan
24 sat
604
Podaci proizvođača o stabilnosti


  Mentions Légales