Last update :
27/01/2026
Antibiotic   Amikacin sulfate  
injection
Stability in solutions Stability of mixtures Factors which affect stability Compatibility Route of administration References pdf
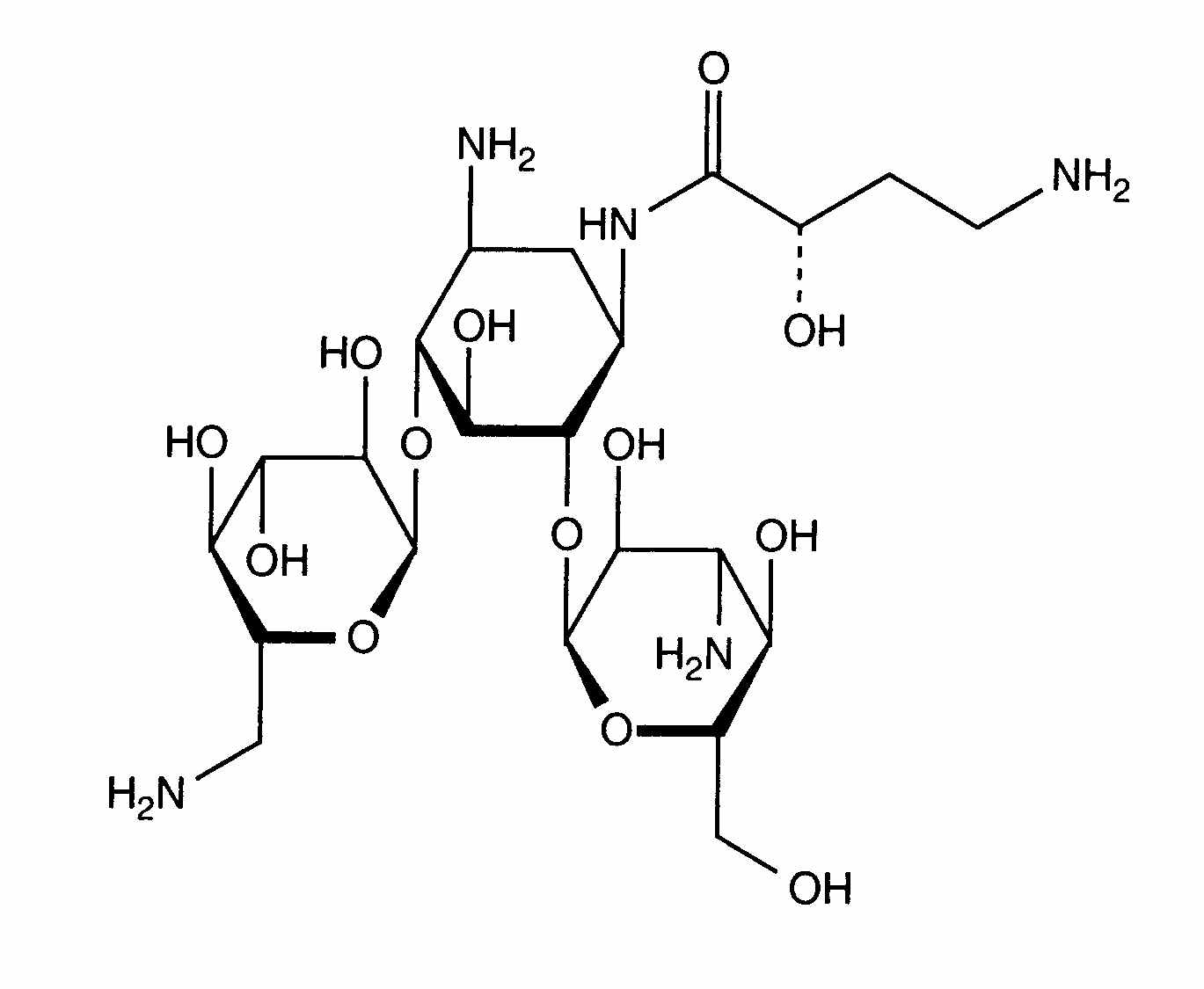
   Chemical structure  

Tradename   Tradename     

Trade names are indicative and excipients composition can be different depending on the country and manufacturers

Adnet India
Agnicin Mexico
Akamin Ecuador
Akim Ecuador
Amicacil Brazil
Amicilon Brazil
Amicin Malaysia
Amicip Venezuela
Amijeksin Turkey
Amikabiot Ecuador, Peru
Amikacin Canada, Egypt, Germany, Great Britain, Iran, Malaysia, New Zealand, Saudi Arabia, United States of America
Amikacina Argentina, Chile, Colombia, Ecuador, Italy, Mexico, Peru, Spain, Venezuela
Amikacine Belgium, France, Morocco, Netherlands
Amikafur Mexico
Amikagram Peru
Amikalem Mexico
Amikamed Peru
Amikamek Peru
Amikan Italy
Amikavax Venezuela
Amikaver Turkey
Amikayect Mexico
Amikem Peru
Amiketem Turkey
Amikin Australia, Brazil, Colombia, Ecuador, Egypt, Great Britain, Hungary, Ireland, Mexico, Peru, Poland, Saudi Arabia, Switzerland, Tunisia, United States of America
Amiklin France, Turkey
Amikosit Romania, Tunisia, Turkey
Amikram Peru
Amukin Belgium, Luxembourg, Netherlands
Apalin Malaysia
Baxi K Chile, Mexico
Behcacin India, Venezuela
Belka India
Biclin Austria, Finland, Germany, Mexico, Portugal, Spain, Sweden
Biodacyna Poland
Biokacin Mexico
Briklin Greece
Cadicin India
Chemacin Italy
Cikabit India
Cinamica India
Cinas India
Consumonit Greece
Domak India
Doxocar Argentina
Elcin India
Elmik India
Emcin India
Emica India
Farcyclin Greece
Flexelite Greece
Greini Argentina
Ipacin Iran
Itukacin Peru
Kancin Greece
Lanomycin Greece
Lukadin Italy
Masmika India
Mediamik Italy
Micalpha Greece
Micigen Mexico
Migracin Italy
Mikacin Saudi Arabia
Nekacin Italy
Novamin Brazil
Orlobin Greece
Remikin Greece
Rovericlin Greece
Uzix Greece
Stability in solutions   injection   Stability in solutions : Amikacin sulfate     
Container Solvent Concentration Temperature Storage Duration of stability References
Glass Sodium chloride 0,9% 0,25 & 5 mg/ml -15°C Protect from light
30 Day
561
Level of evidence D

Glass Sodium chloride 0,9% 0,25 & 5 mg/ml 25°C Not specified
24 Hour
561
Level of evidence D

Glass Sodium chloride 0,9% 0,25 & 5 mg/ml 4°C Protect from light
60 Day
561
Level of evidence D

Glass Sodium chloride 0,9% 4 mg/ml 25°C Not specified
48 Hour
565
Level of evidence D

Glass Glucose 5% 0,25 & 5 mg/ml -15°C Protect from light
30 Day
561
Level of evidence D

Glass Glucose 5% 0,25 & 5 mg/ml 25°C Not specified
24 Hour
561
Level of evidence D

Glass Glucose 5% 0,25 & 5 mg/ml 4°C Protect from light
60 Day
561
Level of evidence D

Glass Glucose 5% 4 mg/ml 25°C Not specified
48 Hour
565
Level of evidence D

Glass Ringer’s lactate solution 0,25 & 5 mg/ml -15°C Protect from light
30 Day
561
Level of evidence D

Glass Ringer’s lactate solution 0,25 & 5 mg/ml 25°C Not specified
24 Hour
561
Level of evidence D

Glass Ringer’s lactate solution 0,25 & 5 mg/ml 4°C Protect from light
60 Day
561
Level of evidence D

Glass Sodium chloride 0,45% 0,25 & 5 mg/ml -15°C Protect from light
30 Day
561
Level of evidence D

Glass Sodium chloride 0,45% 0,25 & 5 mg/ml 25°C Not specified
24 Hour
561
Level of evidence D

Glass Sodium chloride 0,45% 0,25 & 5 mg/ml 4°C Protect from light
60 Day
561
Level of evidence D

Polyvinyl chloride Sodium chloride 0,9% 5 mg/ml 25°C Light
48 Hour
434

Polyvinyl chloride Sodium chloride 0,9% 5 mg/ml 4°C Protect from light
8 Hour
434

Polyvinyl chloride Glucose 5% 20 mg/ml -20°C Protect from light
30 Day
575
Biological analysis

Polyvinyl chloride Glucose 5% 5 mg/ml 25°C Light
48 Hour
434

Polyvinyl chloride Glucose 5% 5 mg/ml 4°C Protect from light
48 Hour
434

Ethylene vinyl acetate Sodium chloride 0,9% 0,25 & 5 mg/ml 23°C Protect from light
7 Day
1816
Level of evidence A+

Ethylene vinyl acetate Sodium chloride 0,9% 0,25 & 5 mg/ml 4°C Protect from light
30 Day
1816
Level of evidence A+

Polypropylen Syringe Sodium chloride 0,9% 190 mg/ml 22°C-23°C Light
48 Hour
639
Level of evidence D

Polyisoprene elastomer Glucose 5% 0,25 & 20 mg/ml 25°C Not specified
24 Hour
604
Manufacturer's stability data


  Mentions Légales