Letztes “update” :
27/01/2026
Antibiotikum   Amikacin sulfate  
Injektion
Stabilität der Lösung Gemengestabilität Stabilitätbeeinflussende Faktoren Kompatibilitäten Applikationsart Literaturverzeichnis pdf
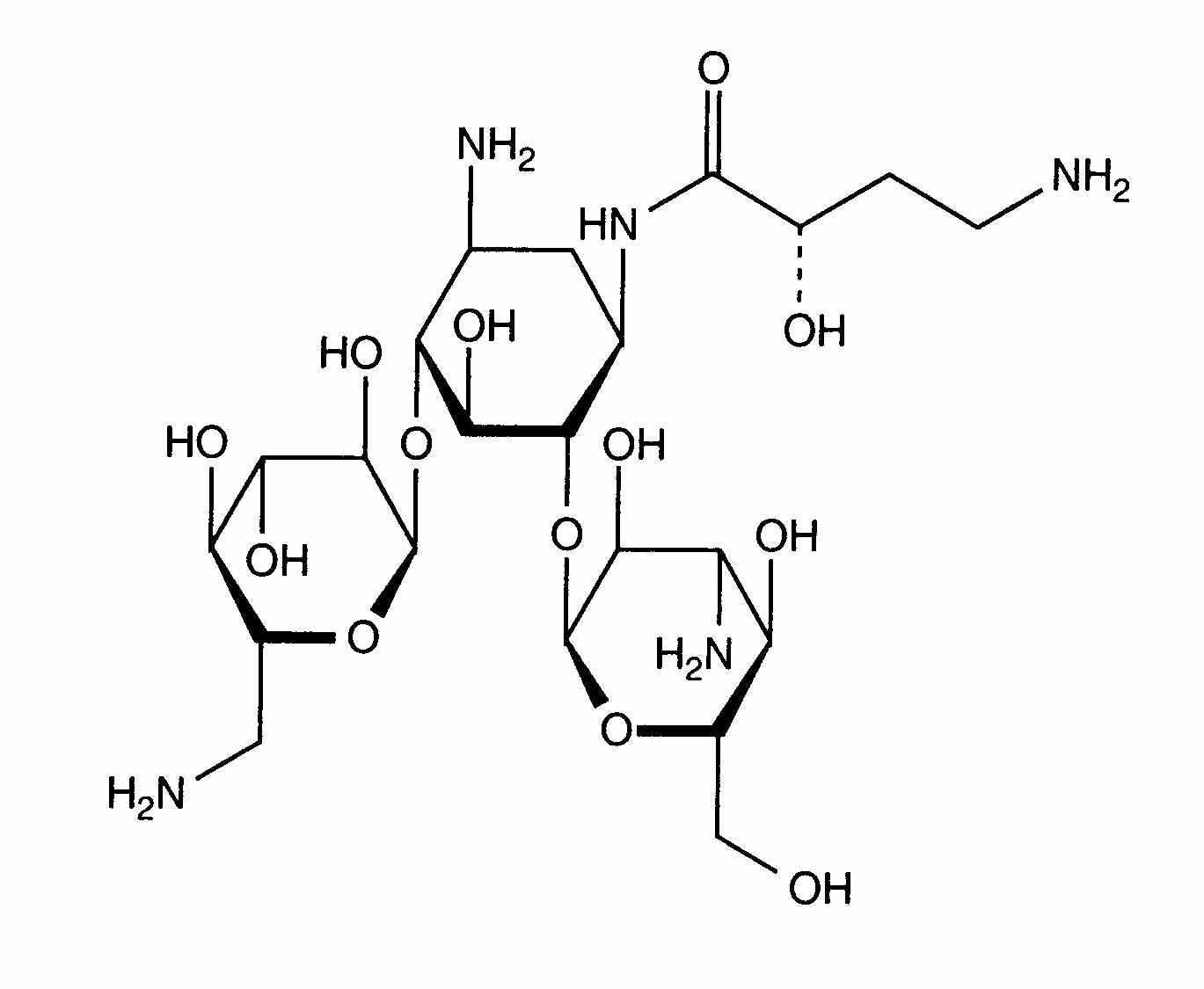
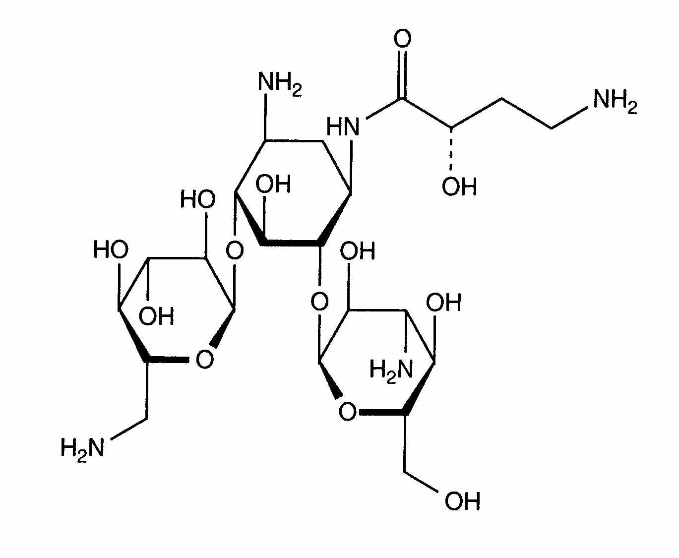
   Chemische Struktur  

Handelsmarke   Handelsmarke     

Handelsnamen sind als beispielhaft anzusehen. Sonstige Bestandteile können je nach Hersteller oder Land verschieden sein

Adnet Indien
Agnicin Mexiko
Akamin Ecuador
Akim Ecuador
Amicacil Brasilien
Amicilon Brasilien
Amicin Malaysia
Amicip Venezuela
Amijeksin Türkei
Amikabiot Ecuador, Peru
Amikacin Ägypten, Deutschland, Großbritannien, Iran, Kanada, Malaysia, Neuseeland, Saudi-Arabien, Vereinigte Staaten von Amerika
Amikacina Argentinien, Chile, Ecuador, Italien, Kolumbien, Mexiko, Peru, Spanien, Venezuela
Amikacine Belgien, Frankreich, Marokko, Niederlande
Amikafur Mexiko
Amikagram Peru
Amikalem Mexiko
Amikamed Peru
Amikamek Peru
Amikan Italien
Amikavax Venezuela
Amikaver Türkei
Amikayect Mexiko
Amikem Peru
Amiketem Türkei
Amikin Ägypten, Australien, Brasilien, Ecuador, Großbritannien, Irland, Kolumbien, Mexiko, Peru, Polen, Saudi-Arabien, Schweiz, Tunesien, Ungarn, Vereinigte Staaten von Amerika
Amiklin Frankreich, Türkei
Amikosit Rumänien, Tunesien, Türkei
Amikram Peru
Amukin Belgien, Luxemburg, Niederlande
Apalin Malaysia
Baxi K Chile, Mexiko
Behcacin Indien, Venezuela
Belka Indien
Biclin Deutschland, Finnland, Mexiko, Österreich, Portugal, Schweden, Spanien
Biodacyna Polen
Biokacin Mexiko
Briklin Griechenland
Cadicin Indien
Chemacin Italien
Cikabit Indien
Cinamica Indien
Cinas Indien
Consumonit Griechenland
Domak Indien
Doxocar Argentinien
Elcin Indien
Elmik Indien
Emcin Indien
Emica Indien
Farcyclin Griechenland
Flexelite Griechenland
Greini Argentinien
Ipacin Iran
Itukacin Peru
Kancin Griechenland
Lanomycin Griechenland
Lukadin Italien
Masmika Indien
Mediamik Italien
Micalpha Griechenland
Micigen Mexiko
Migracin Italien
Mikacin Saudi-Arabien
Nekacin Italien
Novamin Brasilien
Orlobin Griechenland
Remikin Griechenland
Rovericlin Griechenland
Uzix Griechenland
Stabilität der Lösung   Injektion   Stabilität der Lösung : Amikacin sulfate     
Behälter Lösungsmittel Konzentration Temperatur Konservierung Dauer der Stabilität Literaturverzeichnis
Glas 0,9% Natriumchlorid 0,25 & 5 mg/ml -15°C Ohne Licht
30 Tag
561
Evidenzgrad D

Glas 0,9% Natriumchlorid 0,25 & 5 mg/ml 25°C Nicht genau angegeben
24 Stunde
561
Evidenzgrad D

Glas 0,9% Natriumchlorid 0,25 & 5 mg/ml 4°C Ohne Licht
60 Tag
561
Evidenzgrad D

Glas 0,9% Natriumchlorid 4 mg/ml 25°C Nicht genau angegeben
48 Stunde
565
Evidenzgrad D

Glas 5% Glucose 0,25 & 5 mg/ml -15°C Ohne Licht
30 Tag
561
Evidenzgrad D

Glas 5% Glucose 0,25 & 5 mg/ml 25°C Nicht genau angegeben
24 Stunde
561
Evidenzgrad D

Glas 5% Glucose 0,25 & 5 mg/ml 4°C Ohne Licht
60 Tag
561
Evidenzgrad D

Glas 5% Glucose 4 mg/ml 25°C Nicht genau angegeben
48 Stunde
565
Evidenzgrad D

Glas Ringer Lactat - Lösung 0,25 & 5 mg/ml -15°C Ohne Licht
30 Tag
561
Evidenzgrad D

Glas Ringer Lactat - Lösung 0,25 & 5 mg/ml 25°C Nicht genau angegeben
24 Stunde
561
Evidenzgrad D

Glas Ringer Lactat - Lösung 0,25 & 5 mg/ml 4°C Ohne Licht
60 Tag
561
Evidenzgrad D

Glas 0,45% Natriumchlorid 0,25 & 5 mg/ml -15°C Ohne Licht
30 Tag
561
Evidenzgrad D

Glas 0,45% Natriumchlorid 0,25 & 5 mg/ml 25°C Nicht genau angegeben
24 Stunde
561
Evidenzgrad D

Glas 0,45% Natriumchlorid 0,25 & 5 mg/ml 4°C Ohne Licht
60 Tag
561
Evidenzgrad D

Polyvinylchlorid 0,9% Natriumchlorid 5 mg/ml 25°C Licht
48 Stunde
434

Polyvinylchlorid 0,9% Natriumchlorid 5 mg/ml 4°C Ohne Licht
8 Stunde
434

Polyvinylchlorid 5% Glucose 20 mg/ml -20°C Ohne Licht
30 Tag
575
Biologische Analysen

Polyvinylchlorid 5% Glucose 5 mg/ml 25°C Licht
48 Stunde
434

Polyvinylchlorid 5% Glucose 5 mg/ml 4°C Ohne Licht
48 Stunde
434

Äthylenvinylacetat 0,9% Natriumchlorid 0,25 & 5 mg/ml 23°C Ohne Licht
7 Tag
1816
Evidenzgrad A+

Äthylenvinylacetat 0,9% Natriumchlorid 0,25 & 5 mg/ml 4°C Ohne Licht
30 Tag
1816
Evidenzgrad A+

 Spritze Polypropylen 0,9% Natriumchlorid 190 mg/ml 22°C-23°C Licht
48 Stunde
639
Evidenzgrad D

Polyisoprenelastomer 5% Glucose 0,25 & 20 mg/ml 25°C Nicht genau angegeben
24 Stunde
604
Stabilitätsdaten des Herstellers


  Mentions Légales