Cập nhật lần cuối :
18/03/2026
Kháng sinh   Amikacin sulfate  
Dạng tiêm
Tính ổn định của các dung dịch Độ ổn định khi trộn lẫn Những yếu tố ảnh hưởng đến độ ổn định Khả năng tương thích Đường dùng Tài liệu tham khảo Pdf
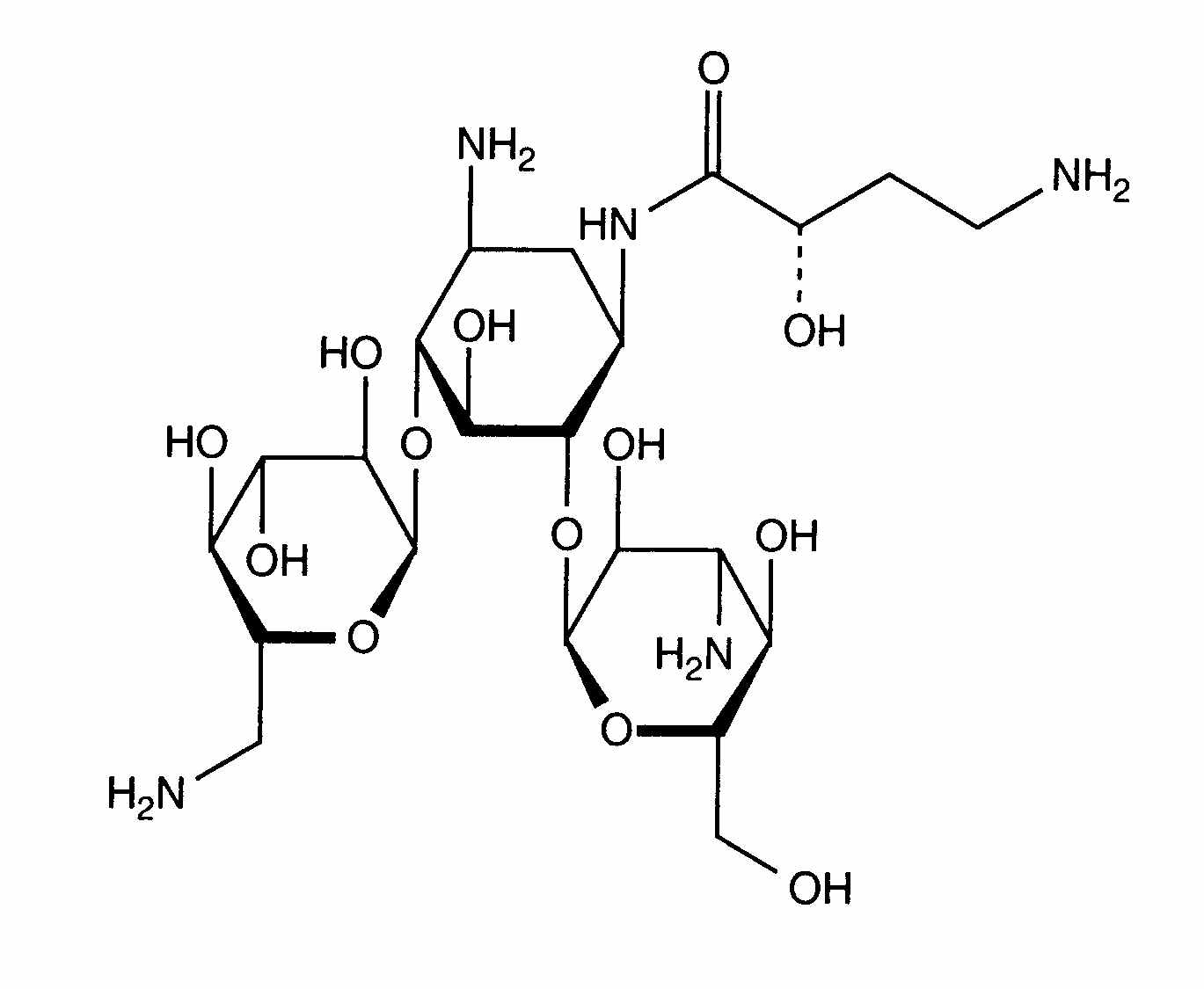
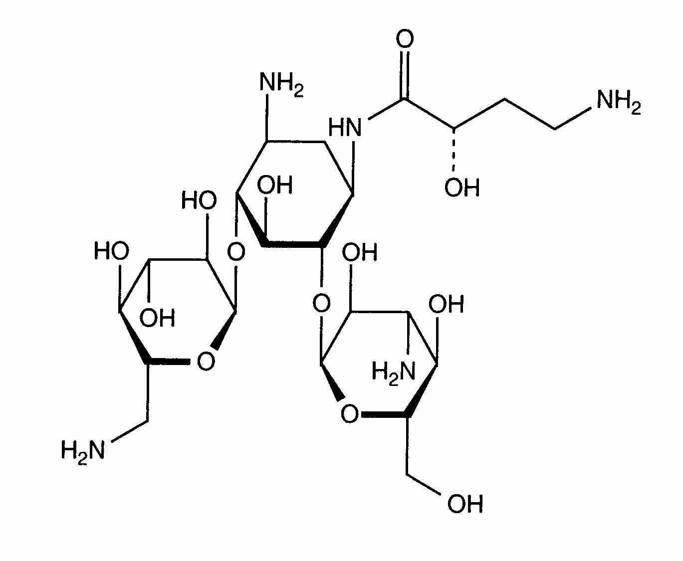
   Cấu trúc hóa học  

Tên thương mại   Tên thương mại     

Các tên thương mại được cung cấp và thành phần tá dược có thể khác nhau giữa các quốc gia và các hãng dược

Adnet Ấn Độ
Agnicin Mexico
Akamin Ecuador
Akim Ecuador
Amicacil Brazil
Amicilon Brazil
Amicin Malaysia
Amicip Venezuela
Amijeksin Thổ Nhĩ Kỳ
Amikabiot Ecuador, Peru
Amikacin Ả Rập, Ả Rập Saudi, Anh, Canada, Hoa Kỳ, Iran, Malaysia, new zealand, Đức
Amikacina Argentina, Chile, Colombia, Ecuador, Mexico, Peru, Tây Ban Nha, Venezuela, Ý
Amikacine Bỉ, Hà Lan, Morocco, Pháp
Amikafur Mexico
Amikagram Peru
Amikalem Mexico
Amikamed Peru
Amikamek Peru
Amikan Ý
Amikavax Venezuela
Amikaver Thổ Nhĩ Kỳ
Amikayect Mexico
Amikem Peru
Amiketem Thổ Nhĩ Kỳ
Amikin Ả Rập, Ả Rập Saudi, Anh, Ba Lan, Brazil, Colombia, Ecuador, Hoa Kỳ, Hungary, Ireland, Mexico, Peru, Thụy Sỹ, Tunisia, Úc
Amiklin Pháp, Thổ Nhĩ Kỳ
Amikosit Romania, Thổ Nhĩ Kỳ, Tunisia
Amikram Peru
Amukin Bỉ, Hà Lan, Luxembourg
Apalin Malaysia
Baxi K Chile, Mexico
Behcacin Ấn Độ, Venezuela
Belka Ấn Độ
Biclin Áo, Bồ Đào Nha, Mexico, Phần Lan, Tây Ban Nha, Thụy Điển, Đức
Biodacyna Ba Lan
Biokacin Mexico
Briklin Hy Lạp
Cadicin Ấn Độ
Chemacin Ý
Cikabit Ấn Độ
Cinamica Ấn Độ
Cinas Ấn Độ
Consumonit Hy Lạp
Domak Ấn Độ
Doxocar Argentina
Elcin Ấn Độ
Elmik Ấn Độ
Emcin Ấn Độ
Emica Ấn Độ
Farcyclin Hy Lạp
Flexelite Hy Lạp
Greini Argentina
Ipacin Iran
Itukacin Peru
Kancin Hy Lạp
Lanomycin Hy Lạp
Lukadin Ý
Masmika Ấn Độ
Mediamik Ý
Micalpha Hy Lạp
Micigen Mexico
Migracin Ý
Mikacin Ả Rập Saudi
Nekacin Ý
Novamin Brazil
Orlobin Hy Lạp
Remikin Hy Lạp
Rovericlin Hy Lạp
Uzix Hy Lạp
Độ ổn định khi trộn lẫn   Dạng tiêm   Độ ổn định khi trộn lẫn : Amikacin sulfate     
Bao bì Dung môi Nồng độ Phân tử Nhiệt độ Bảo quản Thời gian ổn định Mục lục
Thủy tinh NaCl 0,9% 5 mg/ml
Dạng tiêm   Amikacin sulfate   
Dạng tiêm   Cefpirome sulfate 50 mg/ml
23°C
8 Giờ
Ánh sáng 280
Cấp độ bằng chứng B+
Thủy tinh Glucose 5% 5 mg/ml
Dạng tiêm   Amikacin sulfate   
Dạng tiêm   Cefpirome sulfate 50 mg/ml
23°C
8 Giờ
Ánh sáng 280
Cấp độ bằng chứng B+
Thủy tinh Glucose 5% 10 mg/ml
Dạng tiêm   Amikacin sulfate   
Dạng tiêm   Filgrastim 40 µg/ml
25°C
4 Giờ
Không rõ 104
Cấp độ bằng chứng B
Thủy tinh Dung dịch Ringer’s lactate 5 mg/ml
Dạng tiêm   Amikacin sulfate   
Dạng tiêm   Cefpirome sulfate 50 mg/ml
23°C
8 Giờ
Ánh sáng 280
Cấp độ bằng chứng B+
Thủy tinh NaCl 0,45% 5 mg/ml
Dạng tiêm   Amikacin sulfate   
Dạng tiêm   Cefpirome sulfate 50 mg/ml
23°C
8 Giờ
Ánh sáng 280
Cấp độ bằng chứng B+
Nhựa polyvinyl chloride NaCl 0,9% 1,5 mg/ml
Dạng tiêm   Amikacin sulfate   
Dạng tiêm   Ciprofloxacin lactate 1,5 mg/ml
25°C
48 Giờ
Ánh sáng 434
Nhựa polyvinyl chloride NaCl 0,9% 4 mg/ml
Dạng tiêm   Amikacin sulfate   
Dạng tiêm   Clindamycin phosphate 9 mg/ml
25°C
48 Giờ
Không rõ 565
Cấp độ bằng chứng D
Nhựa polyvinyl chloride NaCl 0,9% 1,5 mg/ml
Dạng tiêm   Amikacin sulfate   
Dạng tiêm   Ciprofloxacin lactate 1,5 mg/ml
4°C
48 Giờ
Tránh ánh sáng 434
Nhựa polyvinyl chloride Glucose 5% 1,5 mg/ml
Dạng tiêm   Amikacin sulfate   
Dạng tiêm   Ciprofloxacin lactate 1,5 mg/ml
25°C
48 Giờ
Ánh sáng 434
Nhựa polyvinyl chloride Glucose 5% 4 mg/ml
Dạng tiêm   Amikacin sulfate   
Dạng tiêm   Clindamycin phosphate 9 mg/ml
25°C
48 Giờ
Không rõ 565
Cấp độ bằng chứng D
ống tiêm polypropylene NaCl 0,9% 190 mg/ml
Dạng tiêm   Amikacin sulfate   
Dạng tiêm   Clindamycin phosphate 90 mg/ml
22°C-23°C
48 Giờ
Ánh sáng 639
Cấp độ bằng chứng D

  Mentions Légales