Dernière mise à jour :
18/03/2026
Antibiotique   Amikacin sulfate  
injectable
Stabilité des solutions Stabilité en mélange Facteur influençant la stabilité Compatibilités Voie d’administration Bibliographie pdf
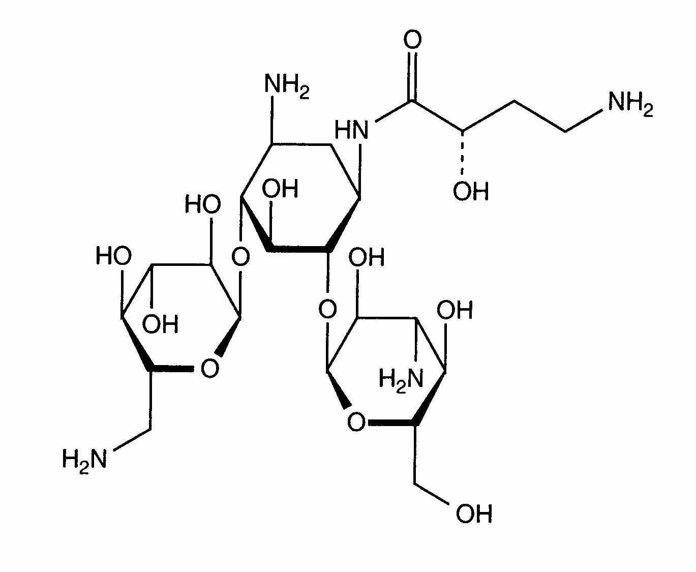
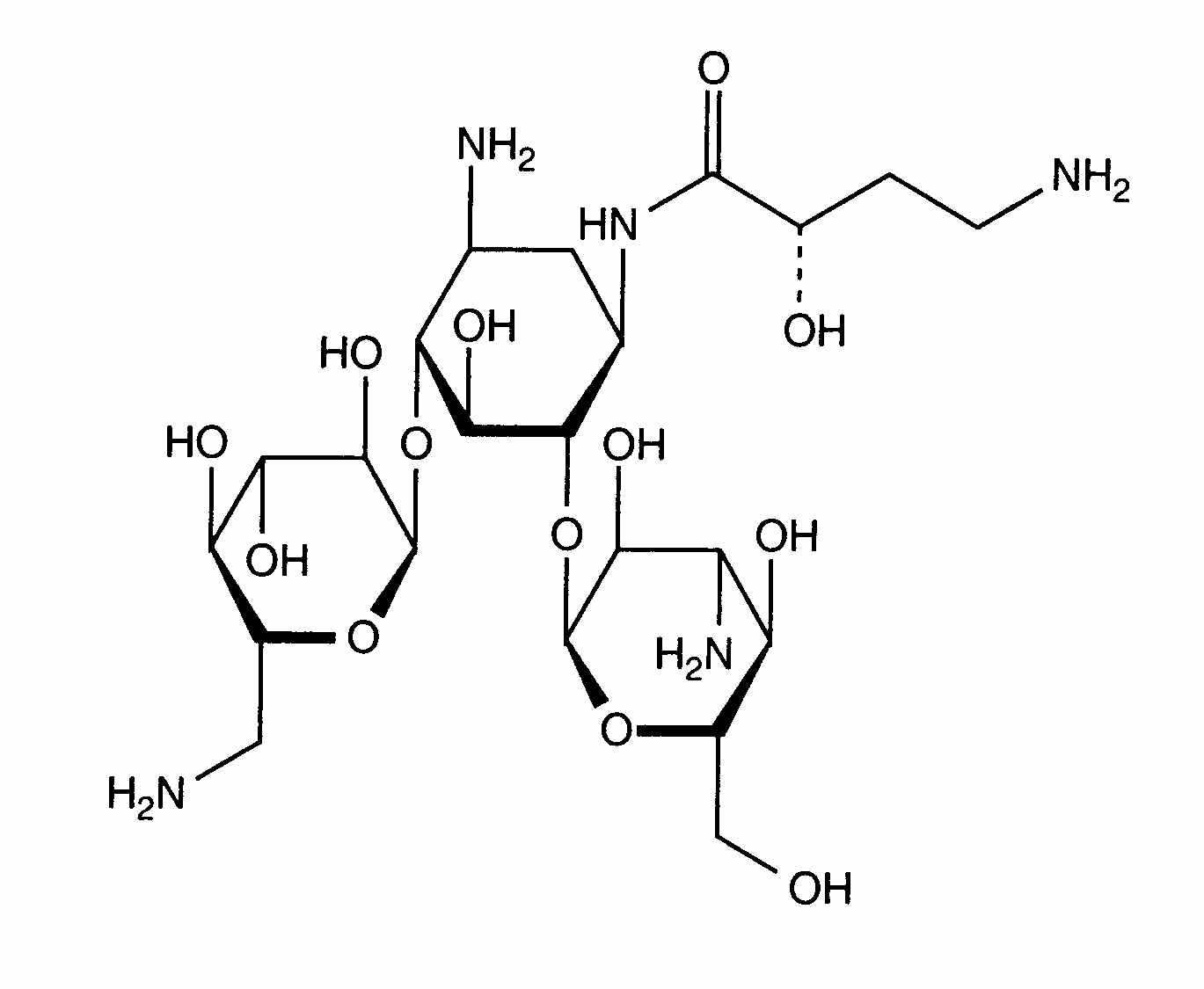
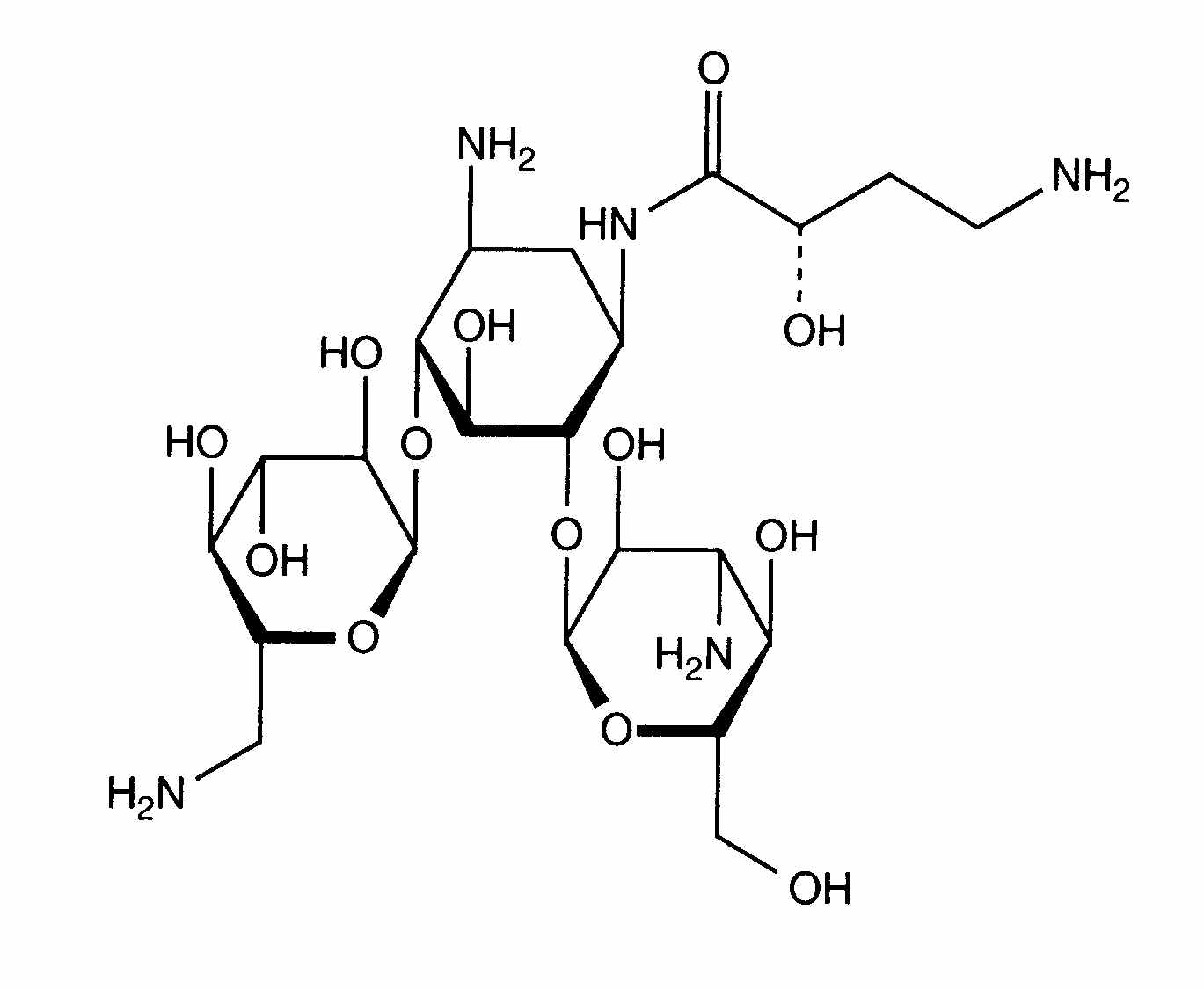
   Structure chimique  

Noms commerciaux   Noms commerciaux     

Les noms commerciaux sont donnés à titre indicatif et la composition en excipients peut être différente selon les pays et selon les laboratoires

Adnet Inde
Agnicin Mexique
Akamin Equateur
Akim Equateur
Amicacil Brésil
Amicilon Brésil
Amicin Malaisie
Amicip Vénézuela
Amijeksin Turquie
Amikabiot Equateur, Pérou
Amikacin Allemagne, Arabie Saoudite, Canada, Egypte, Etats Unis d’Amérique, Grande Bretagne, Iran, Malaisie, Nouvelle Zélande
Amikacina Argentine, Chili, Colombie, Equateur, Espagne, Italie, Mexique, Pérou, Vénézuela
Amikacine Belgique, France, Maroc, Pays bas
Amikafur Mexique
Amikagram Pérou
Amikalem Mexique
Amikamed Pérou
Amikamek Pérou
Amikan Italie
Amikavax Vénézuela
Amikaver Turquie
Amikayect Mexique
Amikem Pérou
Amiketem Turquie
Amikin Arabie Saoudite, Australie, Brésil, Colombie, Egypte, Equateur, Etats Unis d’Amérique, Grande Bretagne, Hongrie, Irlande, Mexique, Pérou, Pologne, Suisse, Tunisie
Amiklin France, Turquie
Amikosit Roumanie, Tunisie, Turquie
Amikram Pérou
Amukin Belgique, Luxembourg, Pays bas
Apalin Malaisie
Baxi K Chili, Mexique
Behcacin Inde, Vénézuela
Belka Inde
Biclin Allemagne, Autriche, Espagne, Finlande, Mexique, Portugal, Suède
Biodacyna Pologne
Biokacin Mexique
Briklin Grèce
Cadicin Inde
Chemacin Italie
Cikabit Inde
Cinamica Inde
Cinas Inde
Consumonit Grèce
Domak Inde
Doxocar Argentine
Elcin Inde
Elmik Inde
Emcin Inde
Emica Inde
Farcyclin Grèce
Flexelite Grèce
Greini Argentine
Ipacin Iran
Itukacin Pérou
Kancin Grèce
Lanomycin Grèce
Lukadin Italie
Masmika Inde
Mediamik Italie
Micalpha Grèce
Micigen Mexique
Migracin Italie
Mikacin Arabie Saoudite
Nekacin Italie
Novamin Brésil
Orlobin Grèce
Remikin Grèce
Rovericlin Grèce
Uzix Grèce
Stabilité en mélange   injectable   Stabilité en mélange : Amikacin sulfate     
Contenant Solvant Concentration Molécule Température Conservation Durée de stabilité Bibliographie
Verre Chlorure de sodium 0,9% 5 mg/ml
injectable   Amikacin sulfate   
injectable   Cefpirome sulfate 50 mg/ml
23°C
8 Heure
Lumière 280
Niveau de preuve B +
Verre Glucose 5% 5 mg/ml
injectable   Amikacin sulfate   
injectable   Cefpirome sulfate 50 mg/ml
23°C
8 Heure
Lumière 280
Niveau de preuve B +
Verre Glucose 5% 10 mg/ml
injectable   Amikacin sulfate   
injectable   Filgrastim 40 µg/ml
25°C
4 Heure
Non précisée 104
Niveau de preuve B
Verre Ringer lactate 5 mg/ml
injectable   Amikacin sulfate   
injectable   Cefpirome sulfate 50 mg/ml
23°C
8 Heure
Lumière 280
Niveau de preuve B +
Verre Chlorure de sodium 0,45% 5 mg/ml
injectable   Amikacin sulfate   
injectable   Cefpirome sulfate 50 mg/ml
23°C
8 Heure
Lumière 280
Niveau de preuve B +
Polyvinyl chlorure Chlorure de sodium 0,9% 1,5 mg/ml
injectable   Amikacin sulfate   
injectable   Ciprofloxacin lactate 1,5 mg/ml
25°C
48 Heure
Lumière 434
Polyvinyl chlorure Chlorure de sodium 0,9% 4 mg/ml
injectable   Amikacin sulfate   
injectable   Clindamycin phosphate 9 mg/ml
25°C
48 Heure
Non précisée 565
Niveau de preuve D
Polyvinyl chlorure Chlorure de sodium 0,9% 1,5 mg/ml
injectable   Amikacin sulfate   
injectable   Ciprofloxacin lactate 1,5 mg/ml
4°C
48 Heure
A l’abri de la lumière 434
Polyvinyl chlorure Glucose 5% 1,5 mg/ml
injectable   Amikacin sulfate   
injectable   Ciprofloxacin lactate 1,5 mg/ml
25°C
48 Heure
Lumière 434
Polyvinyl chlorure Glucose 5% 4 mg/ml
injectable   Amikacin sulfate   
injectable   Clindamycin phosphate 9 mg/ml
25°C
48 Heure
Non précisée 565
Niveau de preuve D
Seringue polypropylène Chlorure de sodium 0,9% 190 mg/ml
injectable   Amikacin sulfate   
injectable   Clindamycin phosphate 90 mg/ml
22°C-23°C
48 Heure
Lumière 639
Niveau de preuve D

  Mentions Légales