Τελευταία ενημέρωση :
18/03/2026
Αντιβιοτικό   Amikacin sulfate  
Ενέσιμο
Σταθερότητα διαλυμάτων Σταθερότητα σε μίγματα Παράγοντας που επηρεάζει τη σταθερότητα Συμβατότητες Τρόπος χορήγησης Βιβλιογραφία pdf
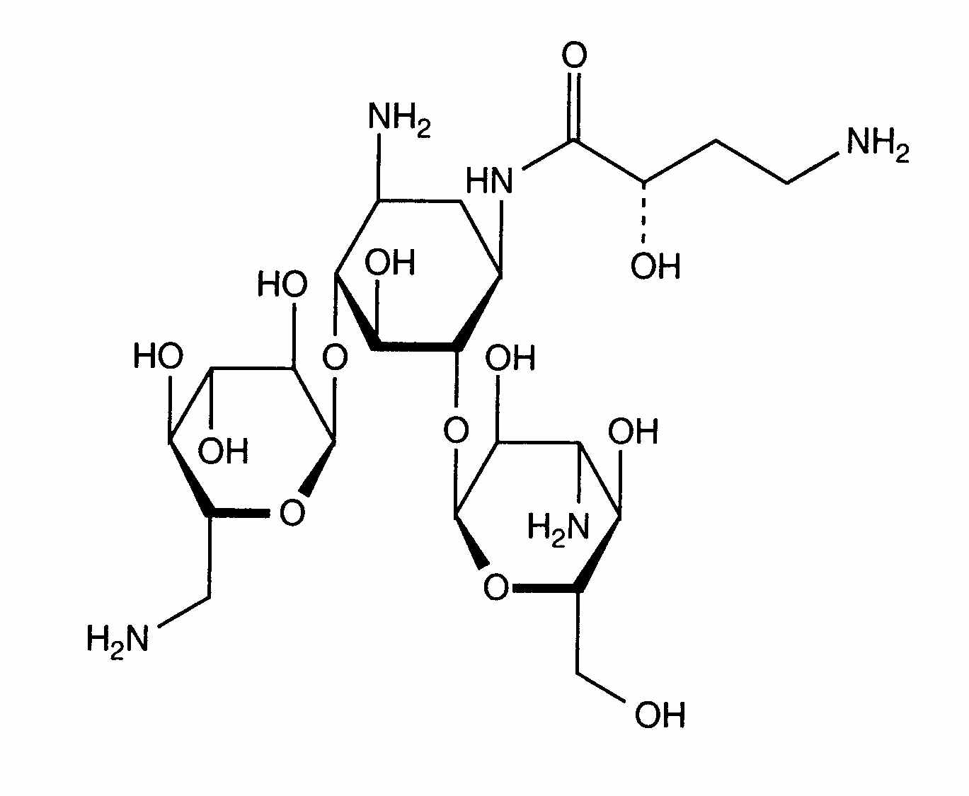
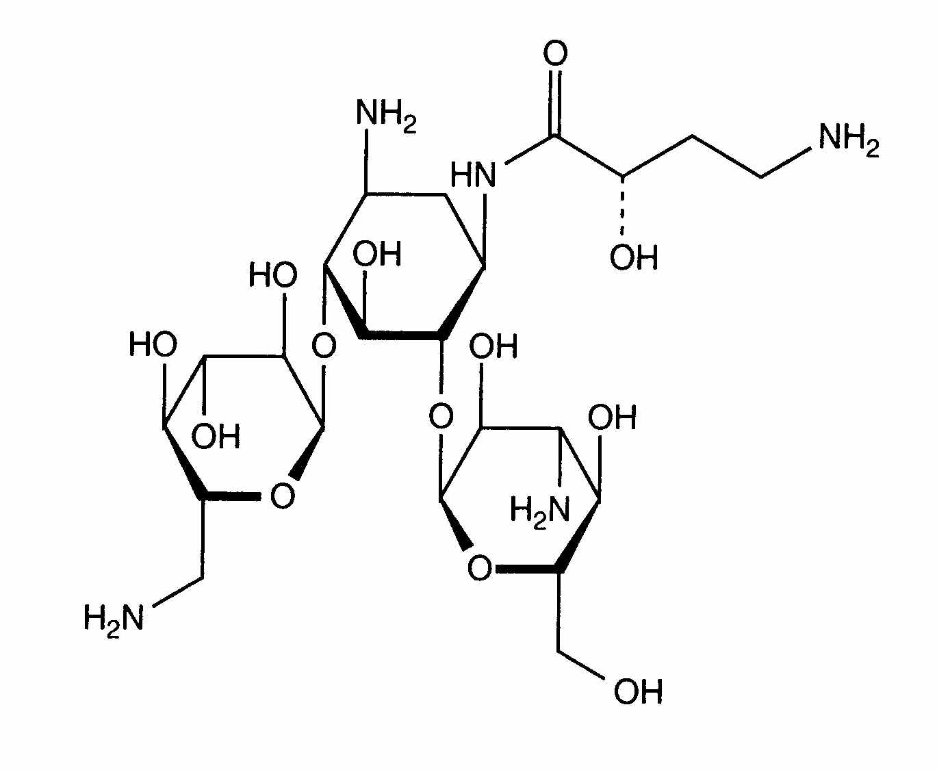
   χημική δομή  

Εμπορική ονομασία   Εμπορική ονομασία     

Οι εμπορικές ονομασίες είναι ενδεικτικές και η σύνθεση των εκδόχων μπορεί να διαφέρει ανάλογα με τη χώρα και τα εργαστήρια

Adnet Ινδία
Agnicin Μεξικό
Akamin Εκουαδόρ
Akim Εκουαδόρ
Amicacil Βραζιλία
Amicilon Βραζιλία
Amicin Μαλαισία
Amicip Βενεζουέλα
Amijeksin Τουρκία
Amikabiot Εκουαδόρ, Περού
Amikacin Αίγυπτος, Γερμανία, Η.Π.Α., Ιράν, Καναδάς, Μαλαισία, Μεγάλη Βρετανία, νέα Ζηλανδία, Σαουδική Αραβία
Amikacina Αργεντινή, Βενεζουέλα, Εκουαδόρ, Ισπανία, Ιταλία, Κολομβία, Μεξικό, Περού, Χιλή
Amikacine Βέλγιο, Γαλλία, Μαρόκο, Ολλανδία
Amikafur Μεξικό
Amikagram Περού
Amikalem Μεξικό
Amikamed Περού
Amikamek Περού
Amikan Ιταλία
Amikavax Βενεζουέλα
Amikaver Τουρκία
Amikayect Μεξικό
Amikem Περού
Amiketem Τουρκία
Amikin Αίγυπτος, Αυστραλία, Βραζιλία, Εκουαδόρ, Ελβετία, Η.Π.Α., Ιρλανδία, Κολομβία, Μεγάλη Βρετανία, Μεξικό, Ουγγαρία, Περού, Πολωνία, Σαουδική Αραβία, Τυνησία
Amiklin Γαλλία, Τουρκία
Amikosit Ρουμανία, Τουρκία, Τυνησία
Amikram Περού
Amukin Βέλγιο, Λουξεμβούργο, Ολλανδία
Apalin Μαλαισία
Baxi K Μεξικό, Χιλή
Behcacin Βενεζουέλα, Ινδία
Belka Ινδία
Biclin Αυστρία, Γερμανία, Ισπανία, Μεξικό, Πορτογαλία, Σουηδία, Φινλανδία
Biodacyna Πολωνία
Biokacin Μεξικό
Briklin Ελλάδα
Cadicin Ινδία
Chemacin Ιταλία
Cikabit Ινδία
Cinamica Ινδία
Cinas Ινδία
Consumonit Ελλάδα
Domak Ινδία
Doxocar Αργεντινή
Elcin Ινδία
Elmik Ινδία
Emcin Ινδία
Emica Ινδία
Farcyclin Ελλάδα
Flexelite Ελλάδα
Greini Αργεντινή
Ipacin Ιράν
Itukacin Περού
Kancin Ελλάδα
Lanomycin Ελλάδα
Lukadin Ιταλία
Masmika Ινδία
Mediamik Ιταλία
Micalpha Ελλάδα
Micigen Μεξικό
Migracin Ιταλία
Mikacin Σαουδική Αραβία
Nekacin Ιταλία
Novamin Βραζιλία
Orlobin Ελλάδα
Remikin Ελλάδα
Rovericlin Ελλάδα
Uzix Ελλάδα
Σταθερότητα σε μίγματα   Ενέσιμο   Σταθερότητα σε μίγματα : Amikacin sulfate     
Υποδοχέας Διαλυτικό Συγκέντρωση Συστατικό Θερμοκρασία Αποθήκευση Διάρκεια σταθερότητας Βιβλιογραφία
Ύαλος Χλωριούχο νάτριο 0,9% 5 mg/ml
Ενέσιμο   Amikacin sulfate   
Ενέσιμο   Cefpirome sulfate 50 mg/ml
23°C
8 Ώρα
Φως 280
Επίπεδο των αποδεικτικών στοιχείων B+
Ύαλος Γλυκόζη 5% 5 mg/ml
Ενέσιμο   Amikacin sulfate   
Ενέσιμο   Cefpirome sulfate 50 mg/ml
23°C
8 Ώρα
Φως 280
Επίπεδο των αποδεικτικών στοιχείων B+
Ύαλος Γλυκόζη 5% 10 mg/ml
Ενέσιμο   Amikacin sulfate   
Ενέσιμο   Filgrastim 40 µg/ml
25°C
4 Ώρα
Απροσδιόριστο 104
Επίπεδο των αποδεικτικών στοιχείων B
Ύαλος Γαλακτικό διάλυμα Ringer 5 mg/ml
Ενέσιμο   Amikacin sulfate   
Ενέσιμο   Cefpirome sulfate 50 mg/ml
23°C
8 Ώρα
Φως 280
Επίπεδο των αποδεικτικών στοιχείων B+
Ύαλος Χλωριούχο νάτριο 0,45% 5 mg/ml
Ενέσιμο   Amikacin sulfate   
Ενέσιμο   Cefpirome sulfate 50 mg/ml
23°C
8 Ώρα
Φως 280
Επίπεδο των αποδεικτικών στοιχείων B+
Πολυβινυλοχλωρίδιο Χλωριούχο νάτριο 0,9% 1,5 mg/ml
Ενέσιμο   Amikacin sulfate   
Ενέσιμο   Ciprofloxacin lactate 1,5 mg/ml
25°C
48 Ώρα
Φως 434
Πολυβινυλοχλωρίδιο Χλωριούχο νάτριο 0,9% 4 mg/ml
Ενέσιμο   Amikacin sulfate   
Ενέσιμο   Clindamycin phosphate 9 mg/ml
25°C
48 Ώρα
Απροσδιόριστο 565
Επίπεδο των αποδεικτικών στοιχείων D
Πολυβινυλοχλωρίδιο Χλωριούχο νάτριο 0,9% 1,5 mg/ml
Ενέσιμο   Amikacin sulfate   
Ενέσιμο   Ciprofloxacin lactate 1,5 mg/ml
4°C
48 Ώρα
Προστατεύετε από το φως 434
Πολυβινυλοχλωρίδιο Γλυκόζη 5% 1,5 mg/ml
Ενέσιμο   Amikacin sulfate   
Ενέσιμο   Ciprofloxacin lactate 1,5 mg/ml
25°C
48 Ώρα
Φως 434
Πολυβινυλοχλωρίδιο Γλυκόζη 5% 4 mg/ml
Ενέσιμο   Amikacin sulfate   
Ενέσιμο   Clindamycin phosphate 9 mg/ml
25°C
48 Ώρα
Απροσδιόριστο 565
Επίπεδο των αποδεικτικών στοιχείων D
σύριγγα πολυπροπυλένιο Χλωριούχο νάτριο 0,9% 190 mg/ml
Ενέσιμο   Amikacin sulfate   
Ενέσιμο   Clindamycin phosphate 90 mg/ml
22°C-23°C
48 Ώρα
Φως 639
Επίπεδο των αποδεικτικών στοιχείων D

  Mentions Légales