Zadnji put ažurirano :
18/03/2026
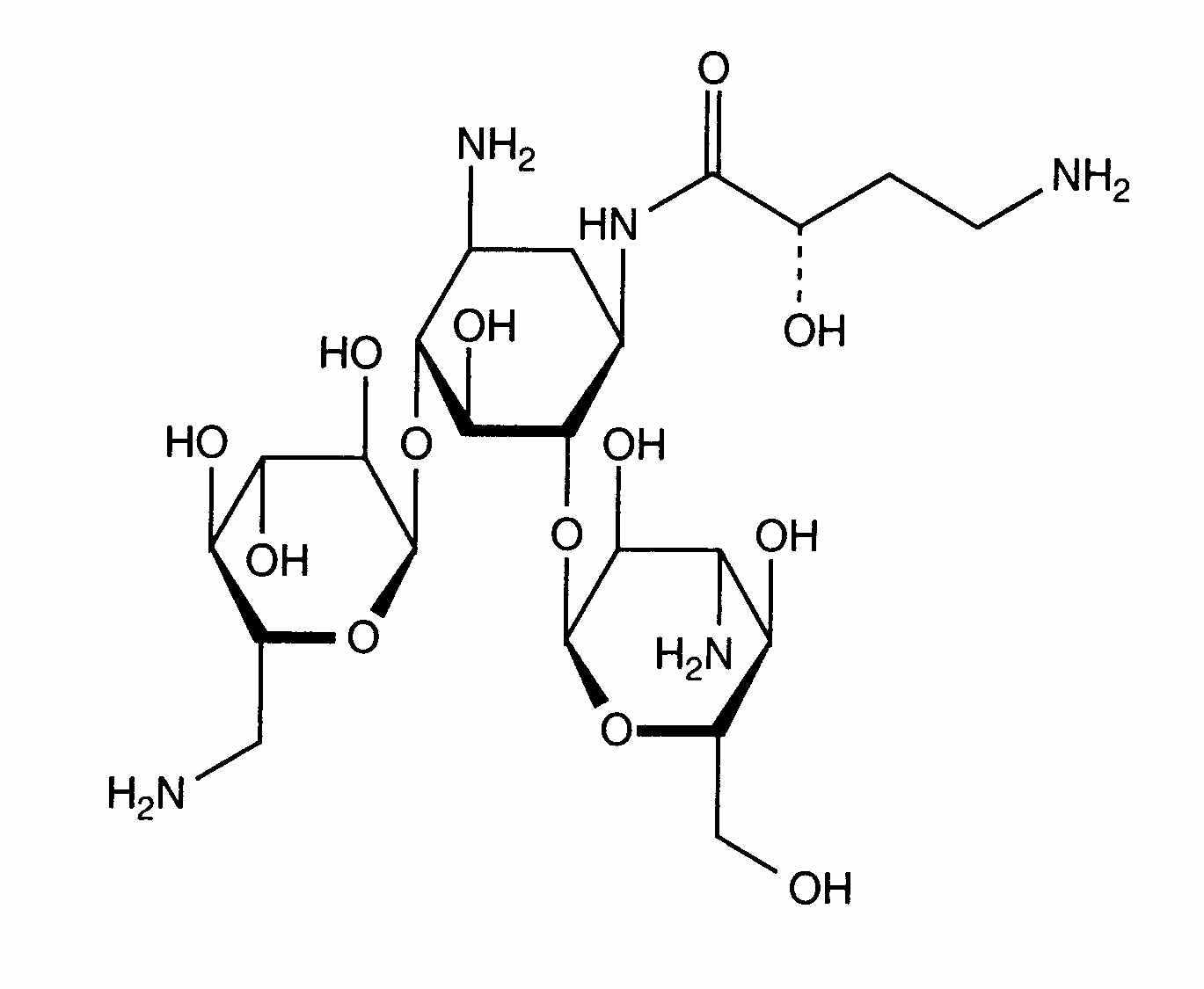
antibiotik   Amikacin sulfate  
injekcija
Stabilizacija rješenja Stabilnost mješavine Stabilizacijski faktor Kompatibilnosti način davanja lijeka Bibliografija pdf
   Kemijska struktura  

Nekomercijalni   Nekomercijalni     

Zaštićeni nazivi su indikativni i sastav ekscipijensa može biti različit ovisno o državi i laboratorijima

Adnet Indija
Agnicin Meksiko
Akamin Ekvador
Akim Ekvador
Amicacil Brazil
Amicilon Brazil
Amicin Malezija
Amicip Venecuela
Amijeksin Turska
Amikabiot Ekvador, Peru
Amikacin Egipat, Iran, Kanada, Malezija, Njemačka, novi Zeland, S A D, Saudijska Arabija, Velika Britanija
Amikacina Argentina, Čile, Ekvador, Italija, Kolumbija, Meksiko, Peru, Španjolska, Venecuela
Amikacine Belgija, Francuska, Maroko, Nizozemska
Amikafur Meksiko
Amikagram Peru
Amikalem Meksiko
Amikamed Peru
Amikamek Peru
Amikan Italija
Amikavax Venecuela
Amikaver Turska
Amikayect Meksiko
Amikem Peru
Amiketem Turska
Amikin Australija, Brazil, Egipat, Ekvador, Irska, Kolumbija, Madžarska, Meksiko, Peru, Poljska, S A D, Saudijska Arabija, Švicarska, Tunis, Velika Britanija
Amiklin Francuska, Turska
Amikosit Rumunjska, Tunis, Turska
Amikram Peru
Amukin Belgija, Luksemburg, Nizozemska
Apalin Malezija
Baxi K Čile, Meksiko
Behcacin Indija, Venecuela
Belka Indija
Biclin Austrija, Finska, Meksiko, Njemačka, Portugal, Španjolska, Švedska
Biodacyna Poljska
Biokacin Meksiko
Briklin Grčka
Cadicin Indija
Chemacin Italija
Cikabit Indija
Cinamica Indija
Cinas Indija
Consumonit Grčka
Domak Indija
Doxocar Argentina
Elcin Indija
Elmik Indija
Emcin Indija
Emica Indija
Farcyclin Grčka
Flexelite Grčka
Greini Argentina
Ipacin Iran
Itukacin Peru
Kancin Grčka
Lanomycin Grčka
Lukadin Italija
Masmika Indija
Mediamik Italija
Micalpha Grčka
Micigen Meksiko
Migracin Italija
Mikacin Saudijska Arabija
Nekacin Italija
Novamin Brazil
Orlobin Grčka
Remikin Grčka
Rovericlin Grčka
Uzix Grčka
Stabilnost mješavine   injekcija   Stabilnost mješavine : Amikacin sulfate     
Kontejner sredstvo za rastapanje koncentracija molekula temperatura Konzerviranje Trajanje stabilnosti Bibliografija
čaša natrijumkorid 0,9% 5 mg/ml
injekcija   Amikacin sulfate   
injekcija   Cefpirome sulfate 50 mg/ml
23°C
8 sat
svjetlost 280
Razina dokaza B+
čaša glukoza 5% 5 mg/ml
injekcija   Amikacin sulfate   
injekcija   Cefpirome sulfate 50 mg/ml
23°C
8 sat
svjetlost 280
Razina dokaza B+
čaša glukoza 5% 10 mg/ml
injekcija   Amikacin sulfate   
injekcija   Filgrastim 40 µg/ml
25°C
4 sat
nespecifičan 104
Razina dokaza B
čaša Ringer laktat 5 mg/ml
injekcija   Amikacin sulfate   
injekcija   Cefpirome sulfate 50 mg/ml
23°C
8 sat
svjetlost 280
Razina dokaza B+
čaša natrijumklorid 0,45% 5 mg/ml
injekcija   Amikacin sulfate   
injekcija   Cefpirome sulfate 50 mg/ml
23°C
8 sat
svjetlost 280
Razina dokaza B+
polivinilklorid natrijumkorid 0,9% 1,5 mg/ml
injekcija   Amikacin sulfate   
injekcija   Ciprofloxacin lactate 1,5 mg/ml
25°C
48 sat
svjetlost 434
polivinilklorid natrijumkorid 0,9% 4 mg/ml
injekcija   Amikacin sulfate   
injekcija   Clindamycin phosphate 9 mg/ml
25°C
48 sat
nespecifičan 565
Razina dokaza D
polivinilklorid natrijumkorid 0,9% 1,5 mg/ml
injekcija   Amikacin sulfate   
injekcija   Ciprofloxacin lactate 1,5 mg/ml
4°C
48 sat
Zaštićeno od svjetlosti 434
polivinilklorid glukoza 5% 1,5 mg/ml
injekcija   Amikacin sulfate   
injekcija   Ciprofloxacin lactate 1,5 mg/ml
25°C
48 sat
svjetlost 434
polivinilklorid glukoza 5% 4 mg/ml
injekcija   Amikacin sulfate   
injekcija   Clindamycin phosphate 9 mg/ml
25°C
48 sat
nespecifičan 565
Razina dokaza D
špric polipropilen natrijumkorid 0,9% 190 mg/ml
injekcija   Amikacin sulfate   
injekcija   Clindamycin phosphate 90 mg/ml
22°C-23°C
48 sat
svjetlost 639
Razina dokaza D

  Mentions Légales