Viimeisin päivitys :
18/03/2026
Antibiootit   Amikacin sulfate  
Injektioneste
Stabilius liuoksessa Stabilius seoksissa Tekijät, jotka vaikuttavat stabiliuteen Yhteensopivuus Antotapa Viitteet pdf
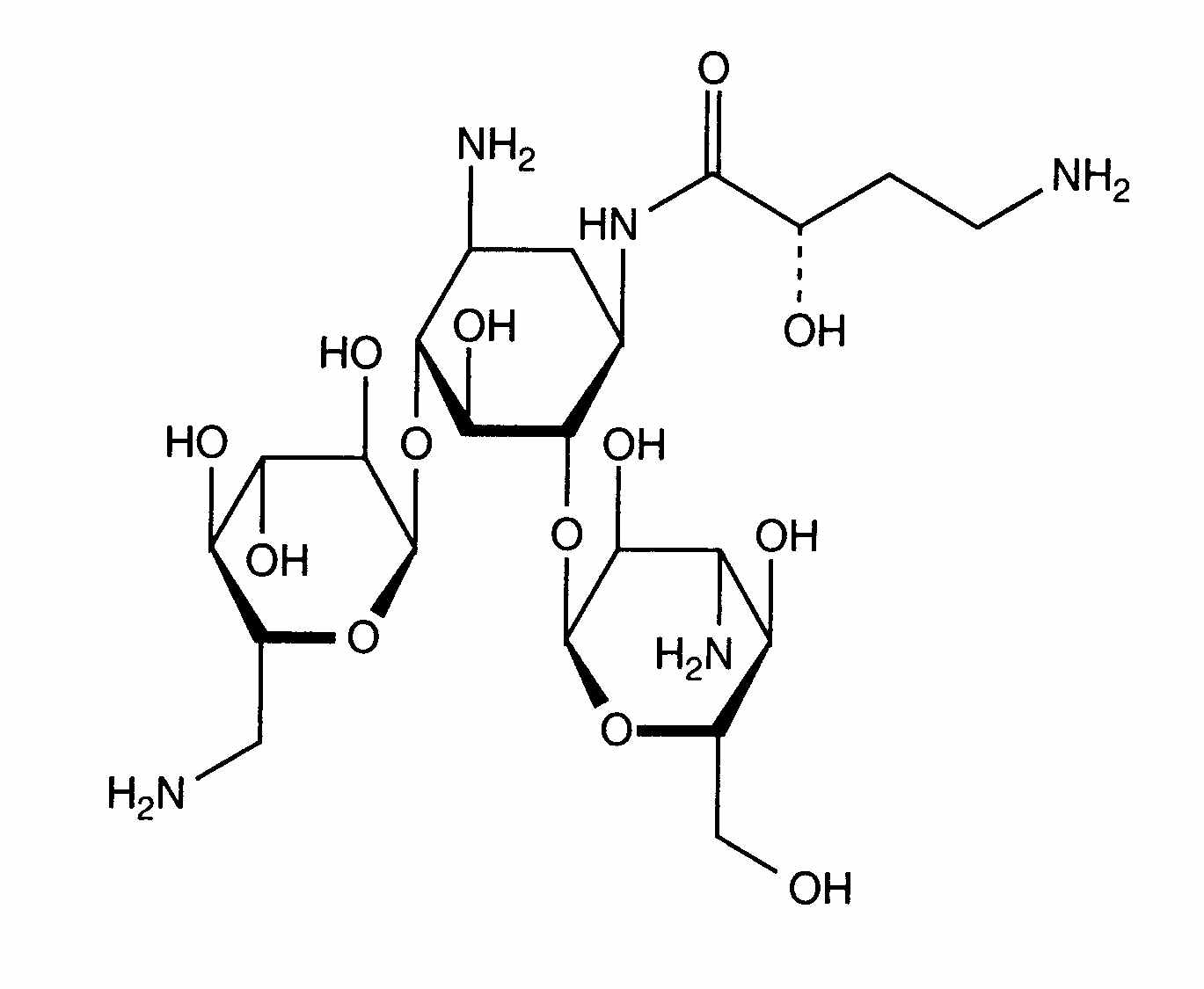
   Kemiallinen rakenne  

Kauppanimi   Kauppanimi     

Trade names are indicative and excipients composition can be different depending on the country and manufacturers

Adnet Intia
Agnicin Meksiko
Akamin Ecuador
Akim Ecuador
Amicacil Brasilia
Amicilon Brasilia
Amicin Malesia
Amicip Venezuela
Amijeksin Turkki
Amikabiot Ecuador, Marokko
Amikacin Egypti, Iran, Iso-Britannia, Kanada, Malesia, New Zealand, Saksa, Saudi-Arabia, Yhdysvallat
Amikacina Argentiina, Chile, Ecuador, Espanja, Italia, Kolumbia, Marokko, Meksiko, Venezuela
Amikacine Belgia, Hollanti, Marokko, Ranska
Amikafur Meksiko
Amikagram Marokko
Amikalem Meksiko
Amikamed Marokko
Amikamek Marokko
Amikan Italia
Amikavax Venezuela
Amikaver Turkki
Amikayect Meksiko
Amikem Marokko
Amiketem Turkki
Amikin Australia, Brasilia, Ecuador, Egypti, Irlanti, Iso-Britannia, Kolumbia, Marokko, Meksiko, Puola, Saudi-Arabia, Sveitsi, Tunisia, Unkari, Yhdysvallat
Amiklin Ranska, Turkki
Amikosit Romania, Tunisia, Turkki
Amikram Marokko
Amukin Belgia, Hollanti, Luxemburg
Apalin Malesia
Baxi K Chile, Meksiko
Behcacin Intia, Venezuela
Belka Intia
Biclin Espanja, Itävalta, Meksiko, Portugali, Ruotsi, Saksa, Suomi
Biodacyna Puola
Biokacin Meksiko
Briklin Kreikka
Cadicin Intia
Chemacin Italia
Cikabit Intia
Cinamica Intia
Cinas Intia
Consumonit Kreikka
Domak Intia
Doxocar Argentiina
Elcin Intia
Elmik Intia
Emcin Intia
Emica Intia
Farcyclin Kreikka
Flexelite Kreikka
Greini Argentiina
Ipacin Iran
Itukacin Marokko
Kancin Kreikka
Lanomycin Kreikka
Lukadin Italia
Masmika Intia
Mediamik Italia
Micalpha Kreikka
Micigen Meksiko
Migracin Italia
Mikacin Saudi-Arabia
Nekacin Italia
Novamin Brasilia
Orlobin Kreikka
Remikin Kreikka
Rovericlin Kreikka
Uzix Kreikka
Stabilius seoksissa   Injektioneste   Stabilius seoksissa : Amikacin sulfate     
Astia Liuotin Konsentraatio Yhdiste Lämpötila Säilytys Vakauden kesto Viitteet
Lasi Natriumkloridi 0,9% 5 mg/ml
Injektioneste   Amikacin sulfate   
Injektioneste   Cefpirome sulfate 50 mg/ml
23°C
8 tunti
Valo 280
Näytön laajuus B+
Lasi Glukoosi 5% 5 mg/ml
Injektioneste   Amikacin sulfate   
Injektioneste   Cefpirome sulfate 50 mg/ml
23°C
8 tunti
Valo 280
Näytön laajuus B+
Lasi Glukoosi 5% 10 mg/ml
Injektioneste   Amikacin sulfate   
Injektioneste   Filgrastim 40 µg/ml
25°C
4 tunti
Ei määritetty 104
Näytön laajuus B
Lasi Ringerlaktaattiliuos 5 mg/ml
Injektioneste   Amikacin sulfate   
Injektioneste   Cefpirome sulfate 50 mg/ml
23°C
8 tunti
Valo 280
Näytön laajuus B+
Lasi Natriumkloridi 0,45% 5 mg/ml
Injektioneste   Amikacin sulfate   
Injektioneste   Cefpirome sulfate 50 mg/ml
23°C
8 tunti
Valo 280
Näytön laajuus B+
Polyvinyylikloridi Natriumkloridi 0,9% 1,5 mg/ml
Injektioneste   Amikacin sulfate   
Injektioneste   Ciprofloxacin lactate 1,5 mg/ml
25°C
48 tunti
Valo 434
Polyvinyylikloridi Natriumkloridi 0,9% 4 mg/ml
Injektioneste   Amikacin sulfate   
Injektioneste   Clindamycin phosphate 9 mg/ml
25°C
48 tunti
Ei määritetty 565
Näytön laajuus D
Polyvinyylikloridi Natriumkloridi 0,9% 1,5 mg/ml
Injektioneste   Amikacin sulfate   
Injektioneste   Ciprofloxacin lactate 1,5 mg/ml
4°C
48 tunti
Suojattava valolta 434
Polyvinyylikloridi Glukoosi 5% 1,5 mg/ml
Injektioneste   Amikacin sulfate   
Injektioneste   Ciprofloxacin lactate 1,5 mg/ml
25°C
48 tunti
Valo 434
Polyvinyylikloridi Glukoosi 5% 4 mg/ml
Injektioneste   Amikacin sulfate   
Injektioneste   Clindamycin phosphate 9 mg/ml
25°C
48 tunti
Ei määritetty 565
Näytön laajuus D
Ruisku  polypropeeni Natriumkloridi 0,9% 190 mg/ml
Injektioneste   Amikacin sulfate   
Injektioneste   Clindamycin phosphate 90 mg/ml
22°C-23°C
48 tunti
Valo 639
Näytön laajuus D

  Mentions Légales