Son güncelleme :
18/03/2026
Antibiyotik   Amikacin sulfate  
Enjeksiyon
Çözeltilerin stabilitesi Karışımlardaki stabilitesi Stabiliteyi etkileyen faktörler Uyumluluk Uygulama yöntemi Kaynaklar pdf
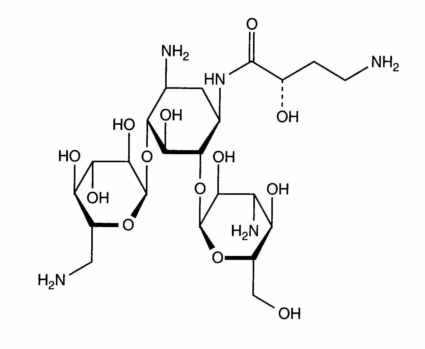
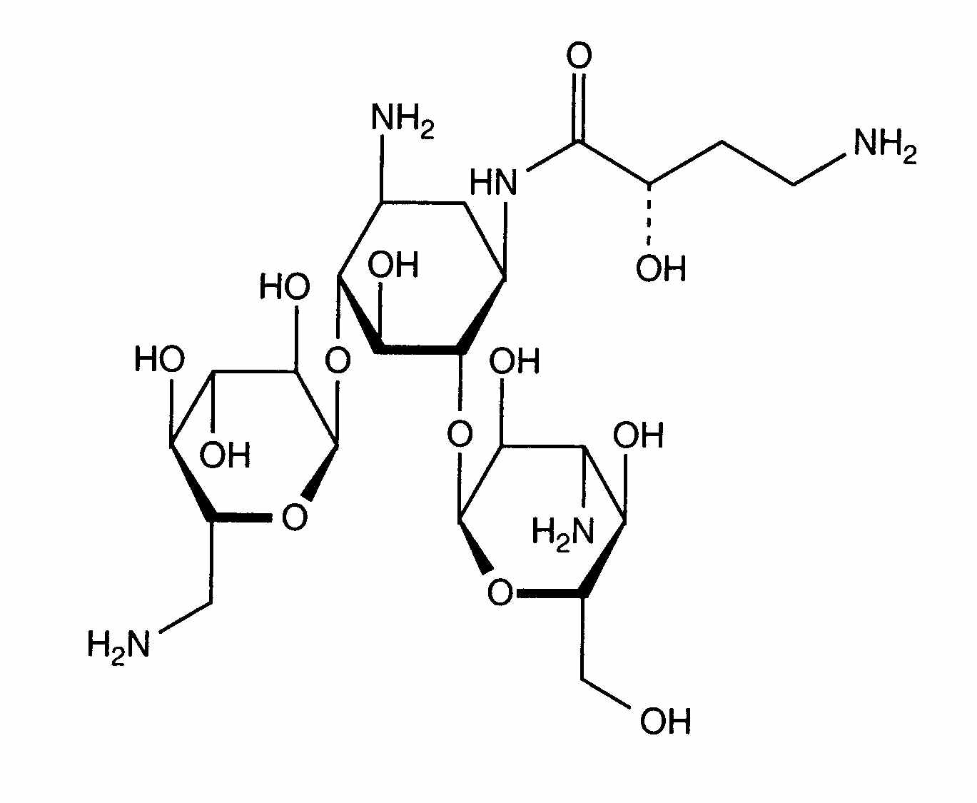
   Kimyasal yapı   

Ticari isim   Ticari isim     

Trade names are indicative and excipients composition can be different depending on the country and manufacturers

Adnet Hindistan
Agnicin Meksika
Akamin Ekvador
Akim Ekvador
Amicacil Brezilya
Amicilon Brezilya
Amicin Malezya
Amicip Venezuela
Amijeksin Türkiye
Amikabiot Ekvador, Peru
Amikacin Almanya, Amerika Birleşik Devletleri, Büyük Britanya, İran, Kanada, Malezya, Mısır, Suudi Arabistan, yeni Zelanda
Amikacina Arjantin, Ekvador, İspanya, İtalya, Kolombiya, Meksika, Peru, Şili, Venezuela
Amikacine Belçika, Fas, Fransa, Hollanda
Amikafur Meksika
Amikagram Peru
Amikalem Meksika
Amikamed Peru
Amikamek Peru
Amikan İtalya
Amikavax Venezuela
Amikaver Türkiye
Amikayect Meksika
Amikem Peru
Amiketem Türkiye
Amikin Amerika Birleşik Devletleri, Avustralya, Brezilya, Büyük Britanya, Ekvador, İrlanda, İsviçre, Kolombiya, Macaristan, Meksika, Mısır, Peru, Polonya, Suudi Arabistan, Tunus
Amiklin Fransa, Türkiye
Amikosit Romanya, Tunus, Türkiye
Amikram Peru
Amukin Belçika, Hollanda, Lüksemburg
Apalin Malezya
Baxi K Meksika, Şili
Behcacin Hindistan, Venezuela
Belka Hindistan
Biclin Almanya, Avusturya, Finlandiya, İspanya, İsveç, Meksika, Portekiz
Biodacyna Polonya
Biokacin Meksika
Briklin Yunanistan
Cadicin Hindistan
Chemacin İtalya
Cikabit Hindistan
Cinamica Hindistan
Cinas Hindistan
Consumonit Yunanistan
Domak Hindistan
Doxocar Arjantin
Elcin Hindistan
Elmik Hindistan
Emcin Hindistan
Emica Hindistan
Farcyclin Yunanistan
Flexelite Yunanistan
Greini Arjantin
Ipacin İran
Itukacin Peru
Kancin Yunanistan
Lanomycin Yunanistan
Lukadin İtalya
Masmika Hindistan
Mediamik İtalya
Micalpha Yunanistan
Micigen Meksika
Migracin İtalya
Mikacin Suudi Arabistan
Nekacin İtalya
Novamin Brezilya
Orlobin Yunanistan
Remikin Yunanistan
Rovericlin Yunanistan
Uzix Yunanistan
Karışımlardaki stabilitesi   Enjeksiyon    Karışımlardaki stabilitesi : Amikacin sulfate     
Saklama kabı Çözücü Konsantrasyon Bileşik Isı Saklama    Stabilite süresi Kaynaklar
Cam Sodyum klorür % 0,9 5 mg/ml
Enjeksiyon   Amikacin sulfate   
Enjeksiyon   Cefpirome sulfate 50 mg/ml
23°C
8 Zaman
I_ık 280
Kanıt düzeyi B+
Cam Glukoz %5 5 mg/ml
Enjeksiyon   Amikacin sulfate   
Enjeksiyon   Cefpirome sulfate 50 mg/ml
23°C
8 Zaman
I_ık 280
Kanıt düzeyi B+
Cam Glukoz %5 10 mg/ml
Enjeksiyon   Amikacin sulfate   
Enjeksiyon   Filgrastim 40 µg/ml
25°C
4 Zaman
Belirtilmemiş 104
Kanıt düzeyi B
Cam Laktatlı ringer 5 mg/ml
Enjeksiyon   Amikacin sulfate   
Enjeksiyon   Cefpirome sulfate 50 mg/ml
23°C
8 Zaman
I_ık 280
Kanıt düzeyi B+
Cam Sodyum klorür % 0,45 5 mg/ml
Enjeksiyon   Amikacin sulfate   
Enjeksiyon   Cefpirome sulfate 50 mg/ml
23°C
8 Zaman
I_ık 280
Kanıt düzeyi B+
Polivinil klorür Sodyum klorür % 0,9 1,5 mg/ml
Enjeksiyon   Amikacin sulfate   
Enjeksiyon   Ciprofloxacin lactate 1,5 mg/ml
25°C
48 Zaman
I_ık 434
Polivinil klorür Sodyum klorür % 0,9 4 mg/ml
Enjeksiyon   Amikacin sulfate   
Enjeksiyon   Clindamycin phosphate 9 mg/ml
25°C
48 Zaman
Belirtilmemiş 565
Kanıt düzeyi D
Polivinil klorür Sodyum klorür % 0,9 1,5 mg/ml
Enjeksiyon   Amikacin sulfate   
Enjeksiyon   Ciprofloxacin lactate 1,5 mg/ml
4°C
48 Zaman
Işıktan koruyunuz 434
Polivinil klorür Glukoz %5 1,5 mg/ml
Enjeksiyon   Amikacin sulfate   
Enjeksiyon   Ciprofloxacin lactate 1,5 mg/ml
25°C
48 Zaman
I_ık 434
Polivinil klorür Glukoz %5 4 mg/ml
Enjeksiyon   Amikacin sulfate   
Enjeksiyon   Clindamycin phosphate 9 mg/ml
25°C
48 Zaman
Belirtilmemiş 565
Kanıt düzeyi D
Şırınga polipropilen Sodyum klorür % 0,9 190 mg/ml
Enjeksiyon   Amikacin sulfate   
Enjeksiyon   Clindamycin phosphate 90 mg/ml
22°C-23°C
48 Zaman
I_ık 639
Kanıt düzeyi D

  Mentions Légales