Ostatnia aktualizacja :
27/11/2025
Antybiotyk   Amikacin sulfate  
Injekcje
Trwałość roztworów Trwałość w mieszaninie Czynnik wpływający na trwałość Zgodność Sposób podania Bibliografia pdf
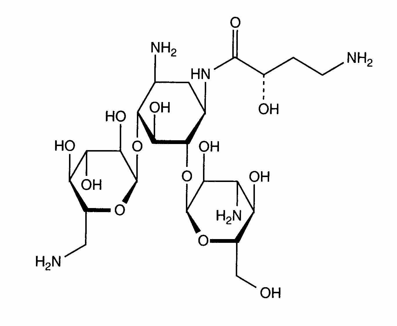
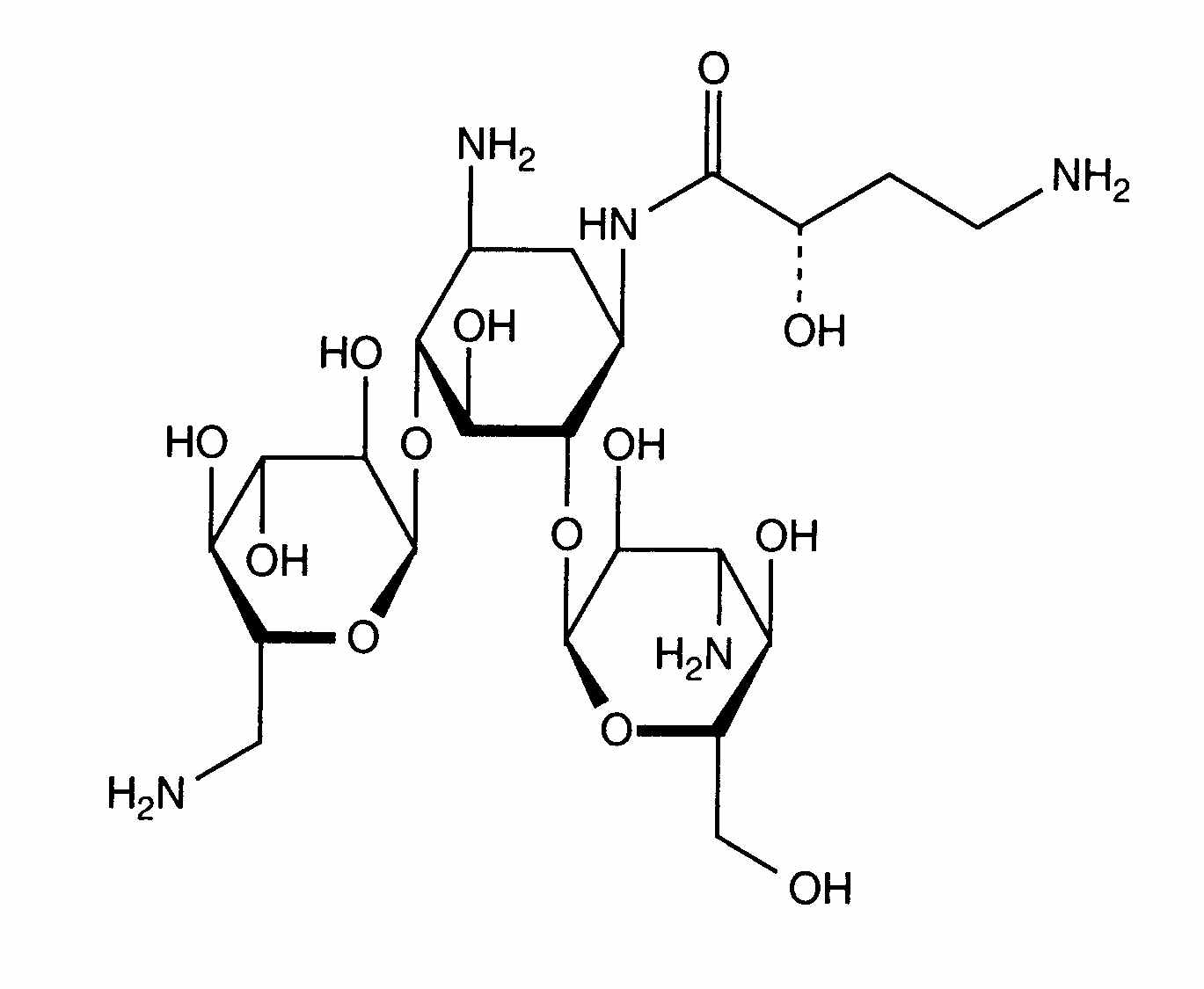
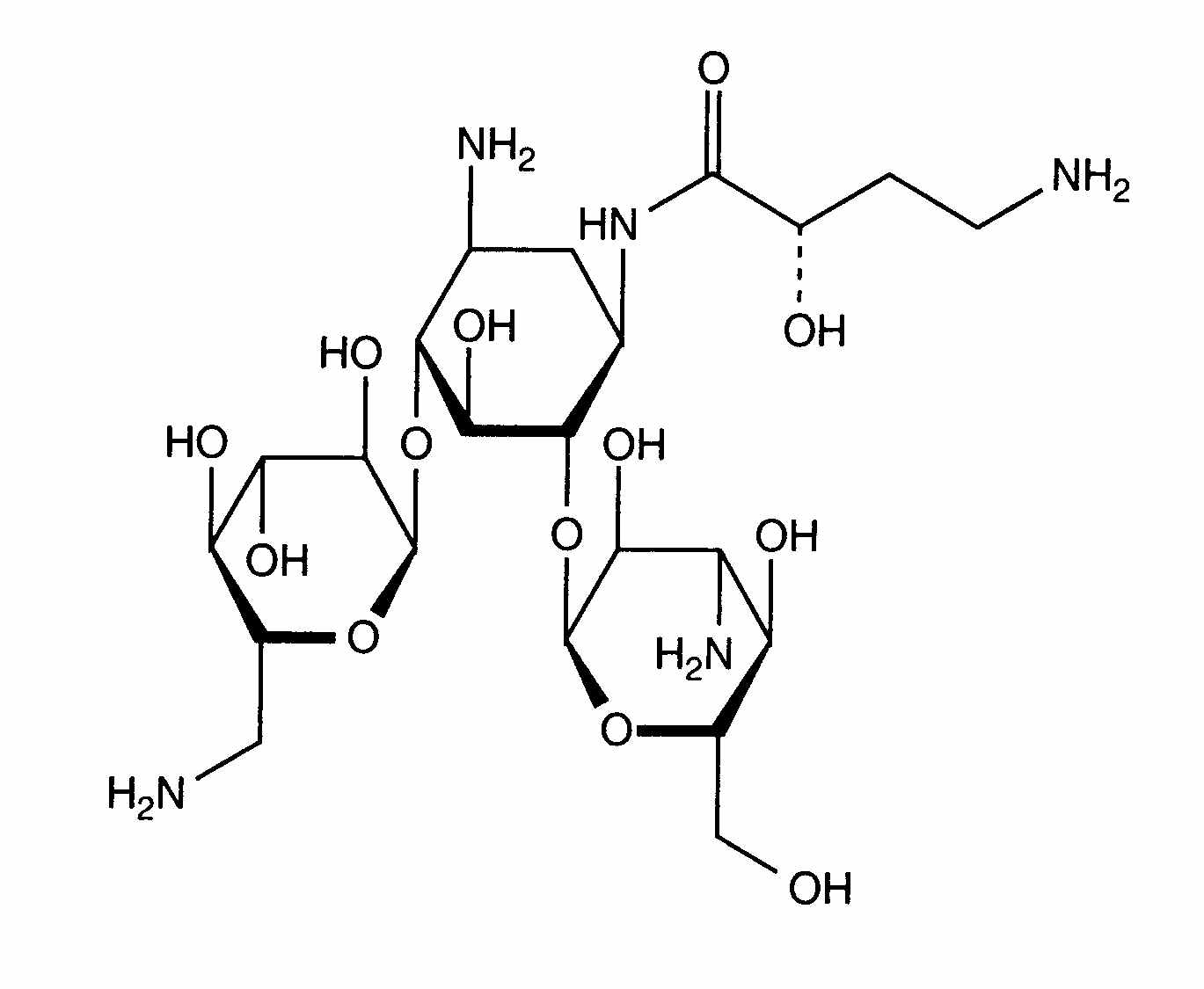
   Struktura chemiczna  

Nazwa handlowa   Nazwa handlowa     

Trade names are indicative and excipients composition can be different depending on the country and manufacturers

Adnet Indie
Agnicin Meksyk
Akamin Ekwador
Akim Ekwador
Amicacil Brazylia
Amicilon Brazylia
Amicin Malezja
Amicip Wenezuela
Amijeksin Turcja
Amikabiot Ekwador, Peru
Amikacin Arabia Saudyjska, Egipt, Iran, Kanada, Malezja, Niemcy, nowa Zelandia, Stany Zjednoczone Ameryki, Wielka Brytania
Amikacina Argentyna, Chile, Ekwador, Hiszpania, KolumbiaKolumbia, Meksyk, Peru, Wenezuela, Włochy
Amikacine Belgia, Francja , Holandia, Maroko
Amikafur Meksyk
Amikagram Peru
Amikalem Meksyk
Amikamed Peru
Amikamek Peru
Amikan Włochy
Amikavax Wenezuela
Amikaver Turcja
Amikayect Meksyk
Amikem Peru
Amiketem Turcja
Amikin Arabia Saudyjska, Australia, Brazylia, Egipt, Ekwador, Irlandia, KolumbiaKolumbia, Meksyk, Peru, Polska, Stany Zjednoczone Ameryki, Szwajcaria, Tunisie, Węgry, Wielka Brytania
Amiklin Francja , Turcja
Amikosit Rumunia, Tunisie, Turcja
Amikram Peru
Amukin Belgia, Holandia, Luksemburg
Apalin Malezja
Baxi K Chile, Meksyk
Behcacin Indie, Wenezuela
Belka Indie
Biclin Austria, Finlandia, Hiszpania, Meksyk, Niemcy, Portugalia, Szwecja
Biodacyna Polska
Biokacin Meksyk
Briklin Grecja
Cadicin Indie
Chemacin Włochy
Cikabit Indie
Cinamica Indie
Cinas Indie
Consumonit Grecja
Domak Indie
Doxocar Argentyna
Elcin Indie
Elmik Indie
Emcin Indie
Emica Indie
Farcyclin Grecja
Flexelite Grecja
Greini Argentyna
Ipacin Iran
Itukacin Peru
Kancin Grecja
Lanomycin Grecja
Lukadin Włochy
Masmika Indie
Mediamik Włochy
Micalpha Grecja
Micigen Meksyk
Migracin Włochy
Mikacin Arabia Saudyjska
Nekacin Włochy
Novamin Brazylia
Orlobin Grecja
Remikin Grecja
Rovericlin Grecja
Uzix Grecja

Czynnik wpływający na trwałość   Injekcje   Czynnik wpływający na trwałość : Amikacin sulfate        
Brak danych

  Mentions Légales