Laatste update :
27/11/2025
Antibioticum   Amikacin sulfate  
injecteerbaar geneesmiddel
Stabiliteit in oplossing Stabiliteit in mengsels Factoren die de stabiliteit beïnvloeden Verenigbaarheden Toedieningswijze Literatuur pdf
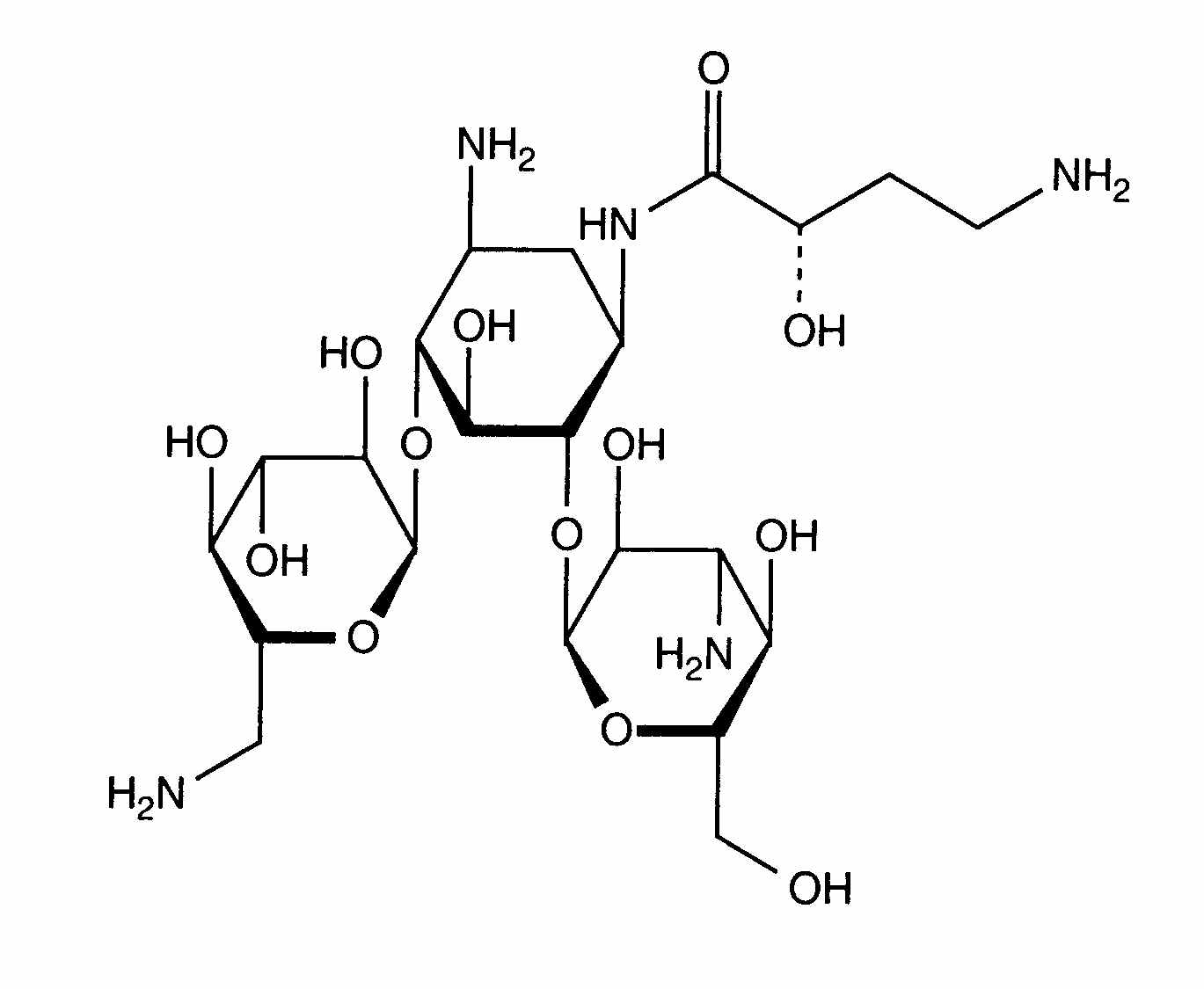
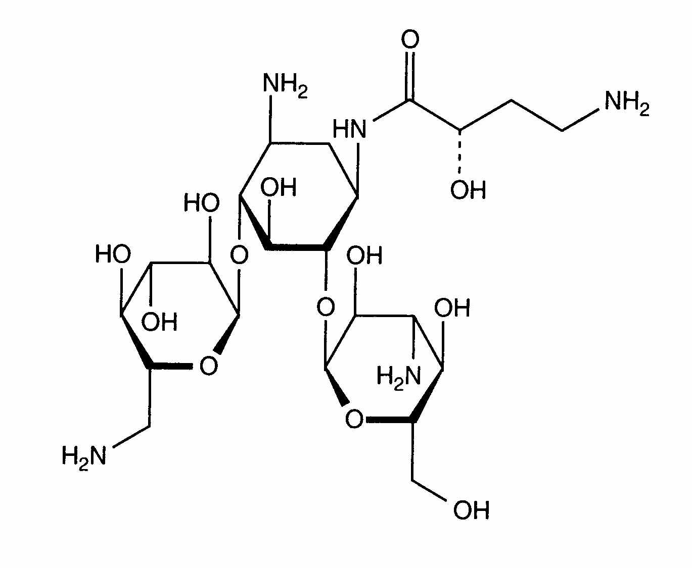
   Molecuulstructuur  

Merknamen in verschillende landen   Merknamen in verschillende landen     

Handelsnamen zijn slechts een indicatie; de samenstelling van hulpstoffen kan per land variëren afhankelijk van de fabrikant

Adnet Indië
Agnicin Mexico
Akamin Ecuador
Akim Ecuador
Amicacil Brazilië
Amicilon Brazilië
Amicin Maleisië
Amicip Venezuela
Amijeksin Turkije
Amikabiot Ecuador, Peru
Amikacin Canada, Duitsland, Egypte, Groot Britannië, Iran, Maleisië, nieuw Zeeland, Saudi-Arabië, USA
Amikacina Argentinië, Chili, Colombia, Ecuador, Italië, Mexico, Peru, Spanje, Venezuela
Amikacine België, Frankrijk, Marokko, Nederland
Amikafur Mexico
Amikagram Peru
Amikalem Mexico
Amikamed Peru
Amikamek Peru
Amikan Italië
Amikavax Venezuela
Amikaver Turkije
Amikayect Mexico
Amikem Peru
Amiketem Turkije
Amikin Australië, Brazilië, Colombia, Ecuador, Egypte, Groot Britannië, Hongarije, Ierland, Mexico, Peru, Polen, Saudi-Arabië, Tunisie, USA, Zwitserland
Amiklin Frankrijk, Turkije
Amikosit Roemenië, Tunisie, Turkije
Amikram Peru
Amukin België, Luxemburg, Nederland
Apalin Maleisië
Baxi K Chili, Mexico
Behcacin Indië, Venezuela
Belka Indië
Biclin Duitsland, Finland, Mexico, Oostenrijk, Portugal, Spanje, Zweden
Biodacyna Polen
Biokacin Mexico
Briklin Griekenland
Cadicin Indië
Chemacin Italië
Cikabit Indië
Cinamica Indië
Cinas Indië
Consumonit Griekenland
Domak Indië
Doxocar Argentinië
Elcin Indië
Elmik Indië
Emcin Indië
Emica Indië
Farcyclin Griekenland
Flexelite Griekenland
Greini Argentinië
Ipacin Iran
Itukacin Peru
Kancin Griekenland
Lanomycin Griekenland
Lukadin Italië
Masmika Indië
Mediamik Italië
Micalpha Griekenland
Micigen Mexico
Migracin Italië
Mikacin Saudi-Arabië
Nekacin Italië
Novamin Brazilië
Orlobin Griekenland
Remikin Griekenland
Rovericlin Griekenland
Uzix Griekenland

Factoren die de stabiliteit beïnvloeden   injecteerbaar geneesmiddel   Factoren die de stabiliteit beïnvloeden : Amikacin sulfate        
geen gegevens

  Mentions Légales