viimane versioon :
18/03/2026
antibiootikum   Amikacin sulfate  
Süsteravim
Stabiilsus lahustes Stabiilsust mõjutavad tegurid stabiilsust mõjutavad faktorid Sobimatus Manustamis viis Viited pdf
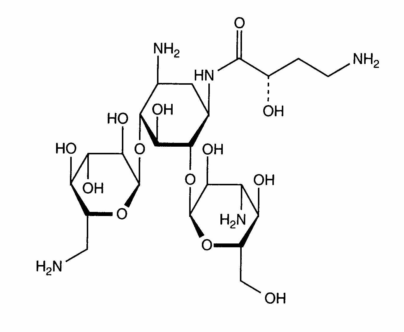
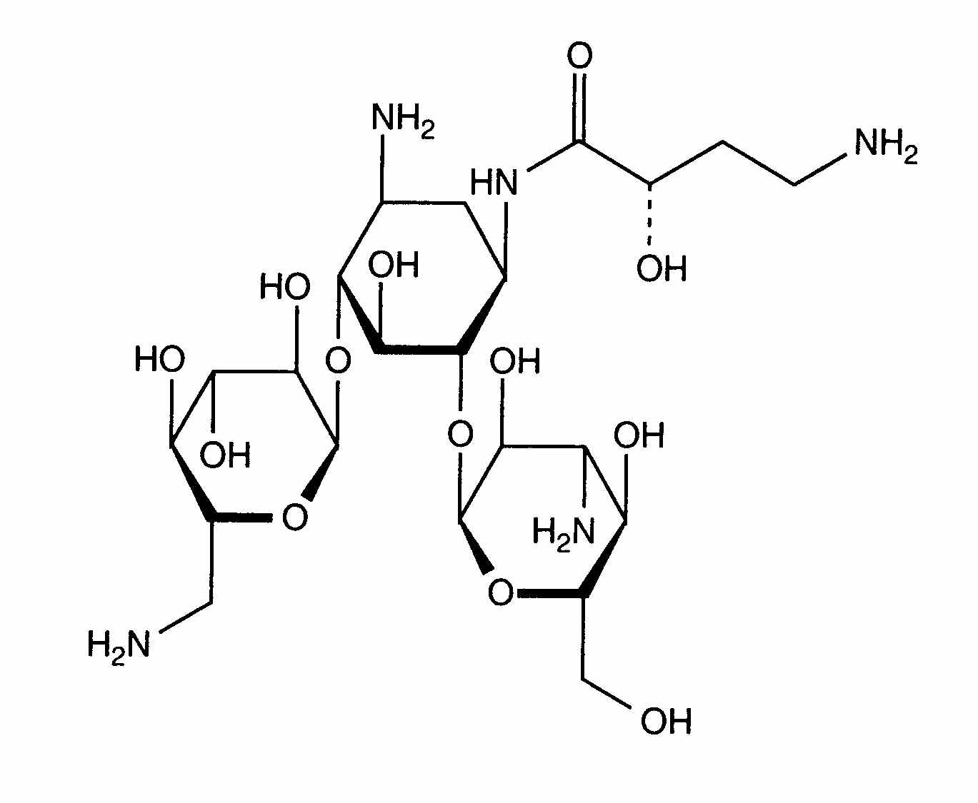
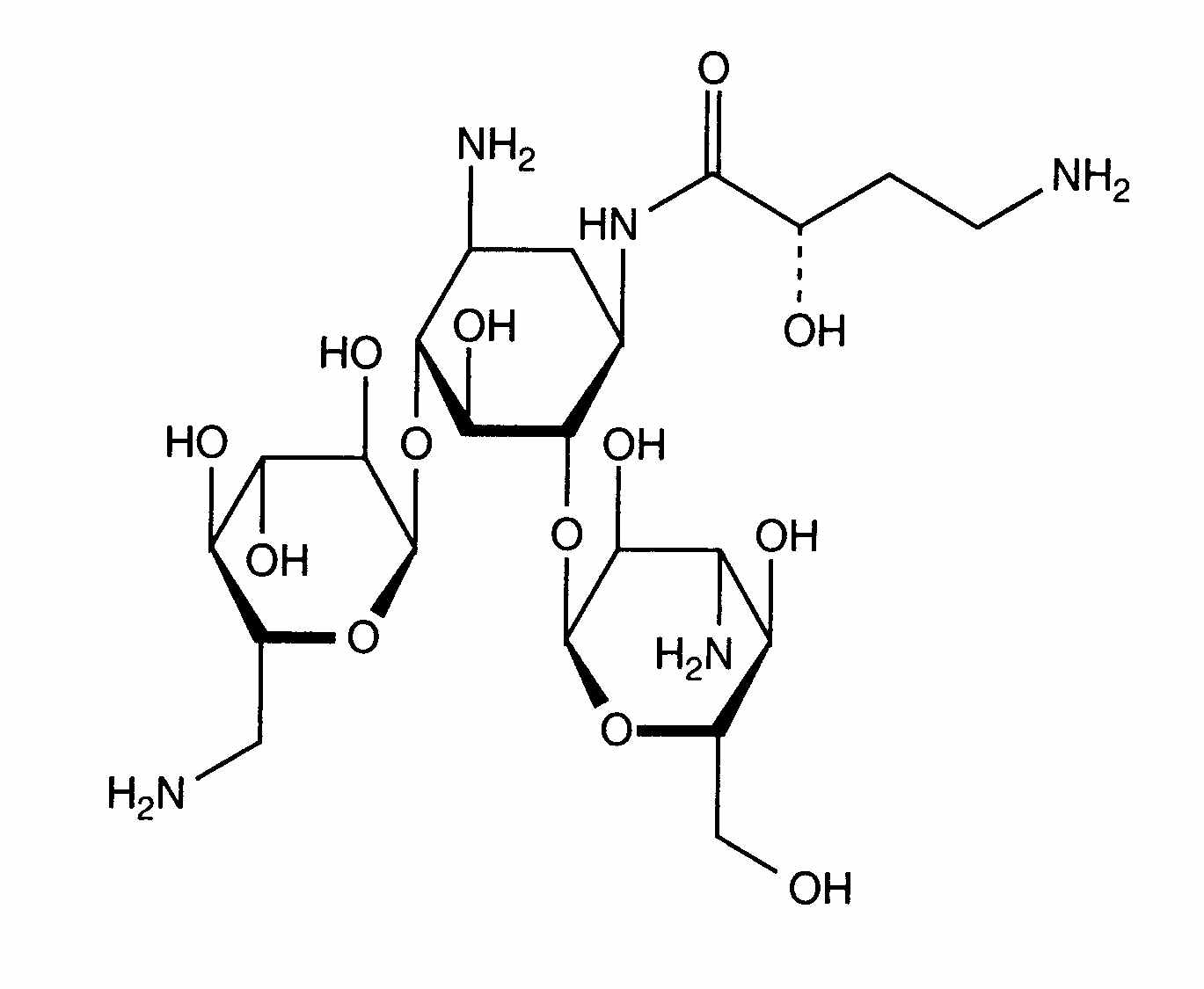
   keemiline struktuur  

Kaubanduslikud nimed erinevates maades   Kaubanduslikud nimed erinevates maades     

Preparaatide nimed on näitlikud ja abianete sisaldus võib erineda sõltuvalt riigist ja laborist

Adnet India
Agnicin Mehhiko
Akamin Ecuador
Akim Ecuador
Amicacil Brasiilia
Amicilon Brasiilia
Amicin Malaisia
Amicip Venetsueela
Amijeksin Türgi
Amikabiot Ecuador, Maroko
Amikacin Ameerika ühendriigid, Egiptus, Iraan, Kanada, Malaisia, Saksamaa, Saudi Araabia, Suurbritannia, uus-Meremaa
Amikacina Argentiina, Ecuador, Hispaania, Itaalia, Kolumbia, Maroko, Mehhiko, Tšiili, Venetsueela
Amikacine Belgia, Holland, Maroko, Prantsusmaa
Amikafur Mehhiko
Amikagram Maroko
Amikalem Mehhiko
Amikamed Maroko
Amikamek Maroko
Amikan Itaalia
Amikavax Venetsueela
Amikaver Türgi
Amikayect Mehhiko
Amikem Maroko
Amiketem Türgi
Amikin Ameerika ühendriigid, Austraalia, Brasiilia, Ecuador, Egiptus, Iirimaa, Kolumbia, Maroko, Mehhiko, Poola, Saudi Araabia, Suurbritannia, Sveits, Tuneesia, Ungari
Amiklin Prantsusmaa, Türgi
Amikosit Rumeenia, Tuneesia, Türgi
Amikram Maroko
Amukin Belgia, Holland, Luksemburg
Apalin Malaisia
Baxi K Mehhiko, Tšiili
Behcacin India, Venetsueela
Belka India
Biclin Austria, Hispaania, Mehhiko, Portugal, Rootsi, Saksamaa, Soome
Biodacyna Poola
Biokacin Mehhiko
Briklin Kreeka
Cadicin India
Chemacin Itaalia
Cikabit India
Cinamica India
Cinas India
Consumonit Kreeka
Domak India
Doxocar Argentiina
Elcin India
Elmik India
Emcin India
Emica India
Farcyclin Kreeka
Flexelite Kreeka
Greini Argentiina
Ipacin Iraan
Itukacin Maroko
Kancin Kreeka
Lanomycin Kreeka
Lukadin Itaalia
Masmika India
Mediamik Itaalia
Micalpha Kreeka
Micigen Mehhiko
Migracin Itaalia
Mikacin Saudi Araabia
Nekacin Itaalia
Novamin Brasiilia
Orlobin Kreeka
Remikin Kreeka
Rovericlin Kreeka
Uzix Kreeka

stabiilsust mõjutavad faktorid   Süsteravim   stabiilsust mõjutavad faktorid : Amikacin sulfate        
andmed puuduvad

  Mentions Légales