Poslední aktualizace :
27/11/2025
Antibiotikas   Amikacin sulfate  
Įpurškimas
Tirpalų stabilumas Mišinių stabilumas Stabilumą lemiantys veiksniai Suderinamumas Leidimo būdai Bibliografija pdf
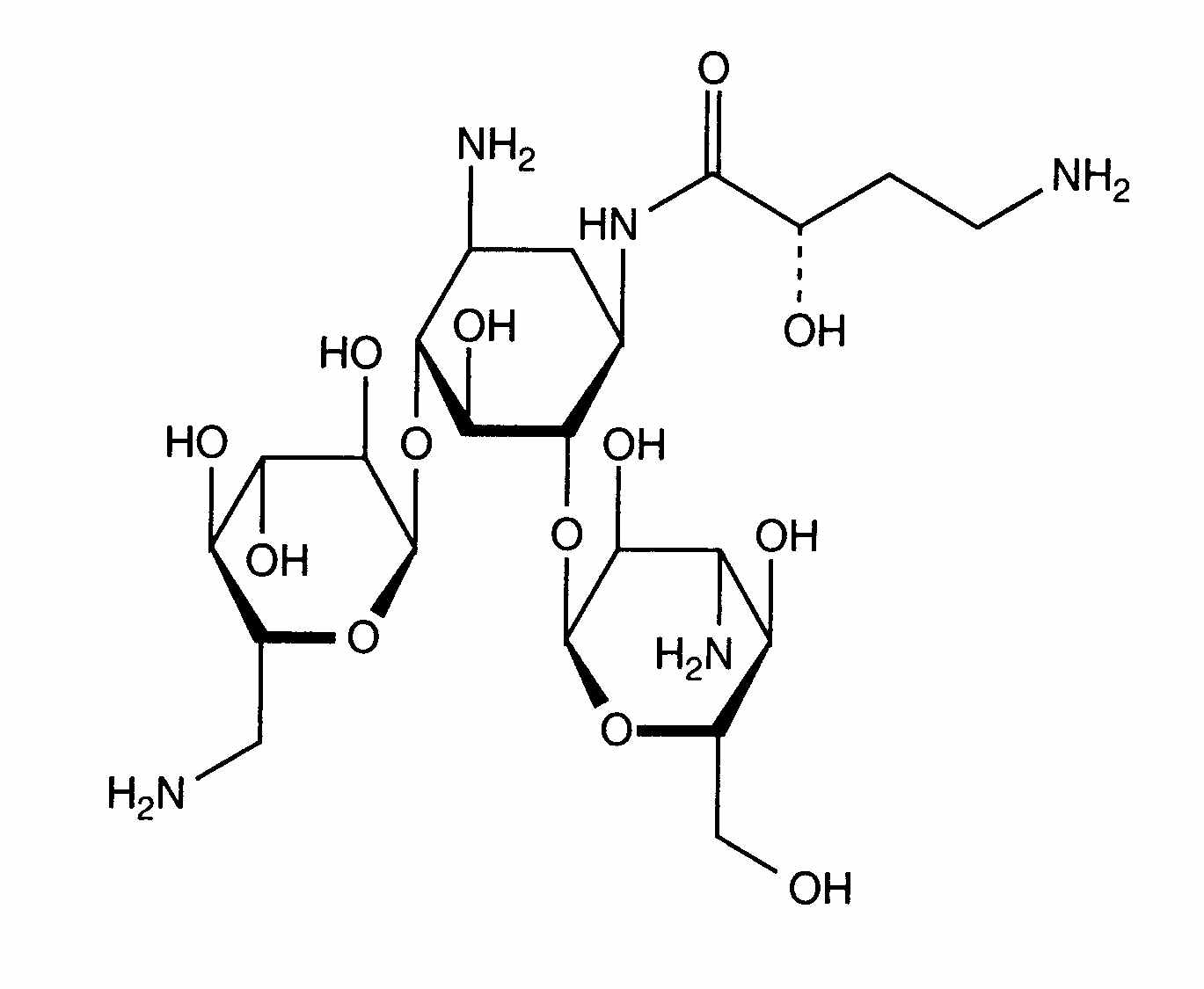
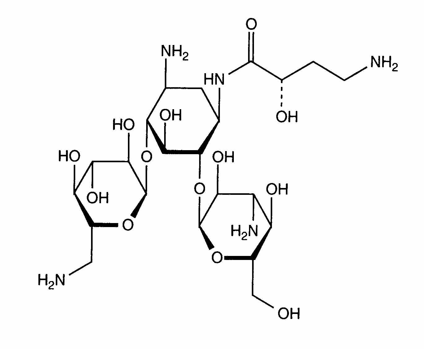
   Cheminė sandara  

Prekinis pavadinimas   Prekinis pavadinimas     

Trade names are indicative and excipients composition can be different depending on the country and manufacturers

Adnet Indija
Agnicin Meksikas
Akamin Ekvadoras
Akim Ekvadoras
Amicacil Brazilija
Amicilon Brazilija
Amicin Malaizija
Amicip Venesuela
Amijeksin Turkija
Amikabiot Ekvadoras, Peru
Amikacin Didžioji Britanija, Egiptas, Iranas, Jungtinės Amerikos Valstijos, Kanada, Malaizija, Naujojoje Zelandijoje, Saudo Arabija, Vokietija
Amikacina Argentina, Čilė, Ekvadoras, Ispanija, Italija, Kolumbija, Meksikas, Peru, Venesuela
Amikacine Belgija, Marokas, Olandija, Prancūzija
Amikafur Meksikas
Amikagram Peru
Amikalem Meksikas
Amikamed Peru
Amikamek Peru
Amikan Italija
Amikavax Venesuela
Amikaver Turkija
Amikayect Meksikas
Amikem Peru
Amiketem Turkija
Amikin Airija, Australija, Brazilija, Didžioji Britanija, Egiptas, Ekvadoras, Jungtinės Amerikos Valstijos, Kolumbija, Lenkija, Meksikas, Peru, Saudo Arabija, Šveicarija, Tunisas, Vengrija
Amiklin Prancūzija, Turkija
Amikosit Rumunija, Tunisas, Turkija
Amikram Peru
Amukin Belgija, Liuksemburgas, Olandija
Apalin Malaizija
Baxi K Čilė, Meksikas
Behcacin Indija, Venesuela
Belka Indija
Biclin Austrija, Ispanija, Meksikas, Portugalija, Suomija, Švedija, Vokietija
Biodacyna Lenkija
Biokacin Meksikas
Briklin Graikija
Cadicin Indija
Chemacin Italija
Cikabit Indija
Cinamica Indija
Cinas Indija
Consumonit Graikija
Domak Indija
Doxocar Argentina
Elcin Indija
Elmik Indija
Emcin Indija
Emica Indija
Farcyclin Graikija
Flexelite Graikija
Greini Argentina
Ipacin Iranas
Itukacin Peru
Kancin Graikija
Lanomycin Graikija
Lukadin Italija
Masmika Indija
Mediamik Italija
Micalpha Graikija
Micigen Meksikas
Migracin Italija
Mikacin Saudo Arabija
Nekacin Italija
Novamin Brazilija
Orlobin Graikija
Remikin Graikija
Rovericlin Graikija
Uzix Graikija

Stabilumą lemiantys veiksniai   Įpurškimas   Stabilumą lemiantys veiksniai : Amikacin sulfate        
Nėra duomenų

  Mentions Légales