Last update :
27/11/2025
Antibiotic   Amikacin sulfate  
injection
Stability in solutions Stability of mixtures Factors which affect stability Compatibility Route of administration References pdf
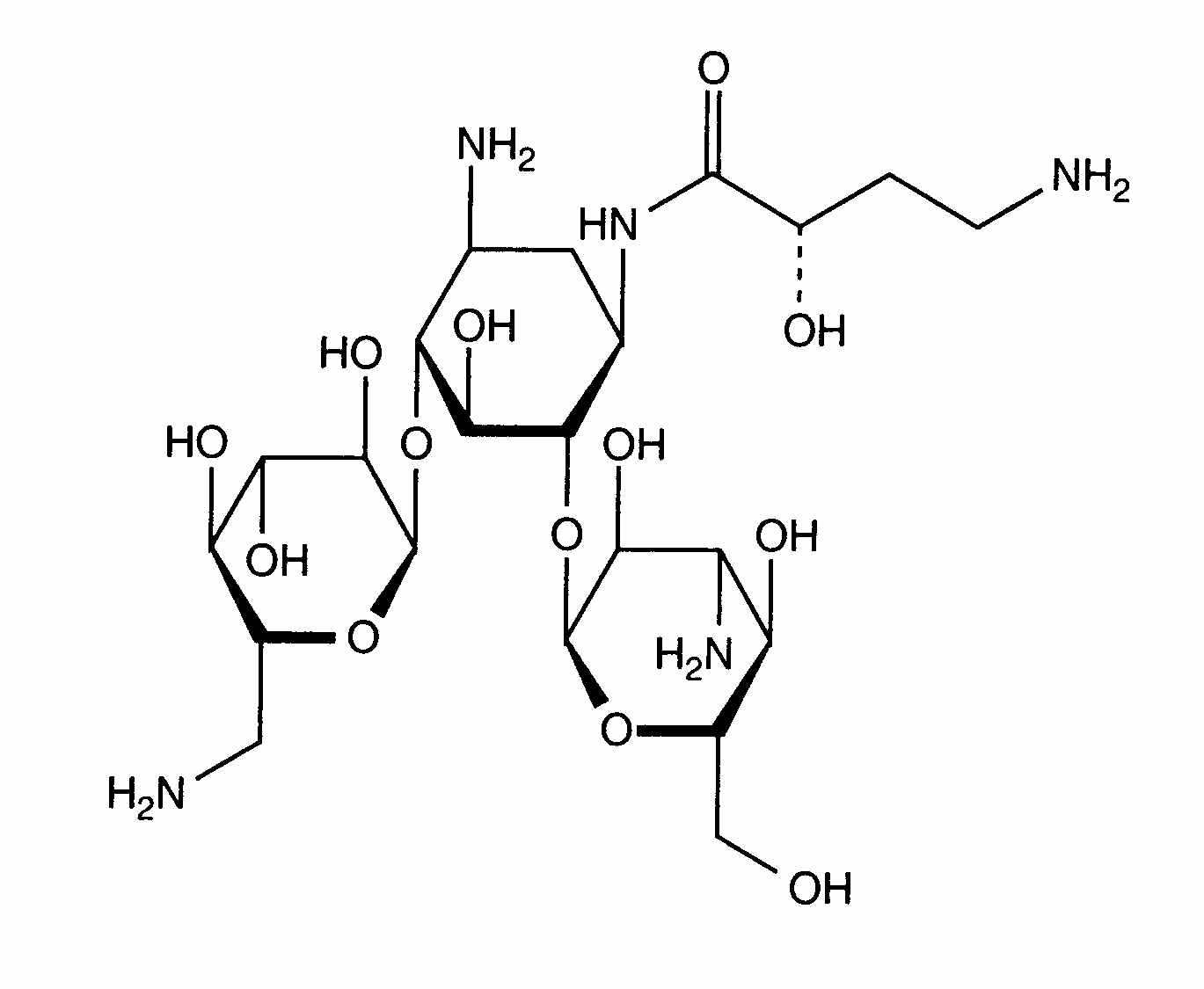
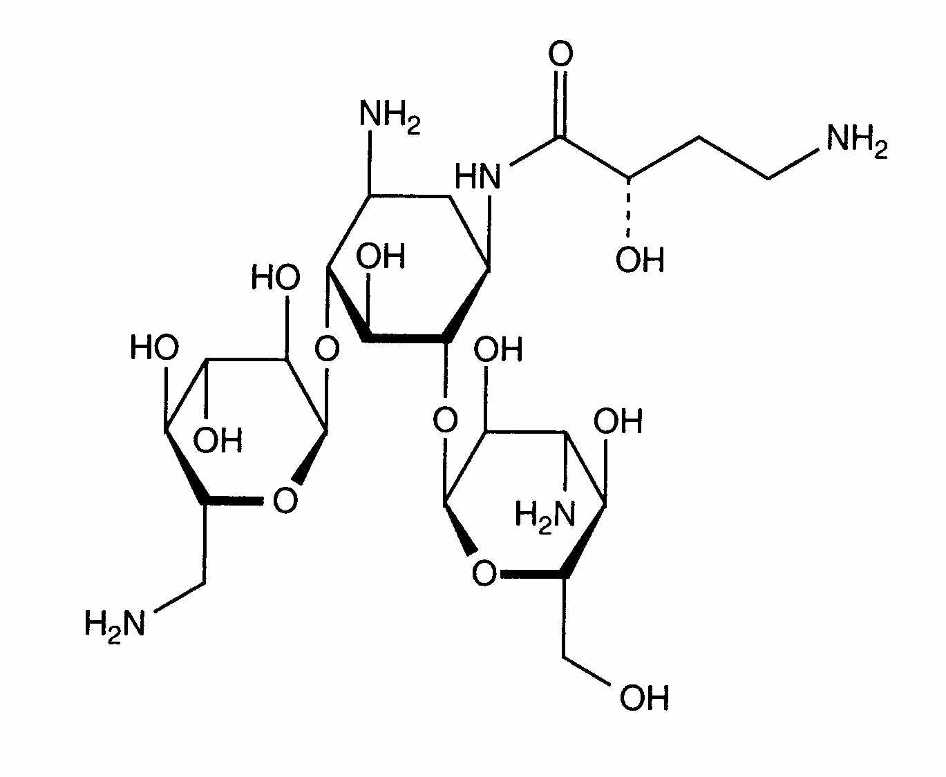
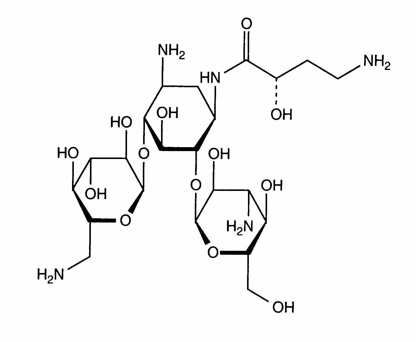
   Chemical structure  

Tradename   Tradename     

Trade names are indicative and excipients composition can be different depending on the country and manufacturers

Adnet India
Agnicin Mexico
Akamin Ecuador
Akim Ecuador
Amicacil Brazil
Amicilon Brazil
Amicin Malaysia
Amicip Venezuela
Amijeksin Turkey
Amikabiot Ecuador, Peru
Amikacin Canada, Egypt, Germany, Great Britain, Iran, Malaysia, New Zealand, Saudi Arabia, United States of America
Amikacina Argentina, Chile, Colombia, Ecuador, Italy, Mexico, Peru, Spain, Venezuela
Amikacine Belgium, France, Morocco, Netherlands
Amikafur Mexico
Amikagram Peru
Amikalem Mexico
Amikamed Peru
Amikamek Peru
Amikan Italy
Amikavax Venezuela
Amikaver Turkey
Amikayect Mexico
Amikem Peru
Amiketem Turkey
Amikin Australia, Brazil, Colombia, Ecuador, Egypt, Great Britain, Hungary, Ireland, Mexico, Peru, Poland, Saudi Arabia, Switzerland, Tunisia, United States of America
Amiklin France, Turkey
Amikosit Romania, Tunisia, Turkey
Amikram Peru
Amukin Belgium, Luxembourg, Netherlands
Apalin Malaysia
Baxi K Chile, Mexico
Behcacin India, Venezuela
Belka India
Biclin Austria, Finland, Germany, Mexico, Portugal, Spain, Sweden
Biodacyna Poland
Biokacin Mexico
Briklin Greece
Cadicin India
Chemacin Italy
Cikabit India
Cinamica India
Cinas India
Consumonit Greece
Domak India
Doxocar Argentina
Elcin India
Elmik India
Emcin India
Emica India
Farcyclin Greece
Flexelite Greece
Greini Argentina
Ipacin Iran
Itukacin Peru
Kancin Greece
Lanomycin Greece
Lukadin Italy
Masmika India
Mediamik Italy
Micalpha Greece
Micigen Mexico
Migracin Italy
Mikacin Saudi Arabia
Nekacin Italy
Novamin Brazil
Orlobin Greece
Remikin Greece
Rovericlin Greece
Uzix Greece

Factors which affect stability   injection   Factors which affect stability : Amikacin sulfate        
No data

  Mentions Légales