Последно актуализиране :
27/11/2025
Антибиотик   Amikacin sulfate  
Инжекция/Инжекционен
Стабилност на разтвори Стабилност на смеси Фактори, повлияващи стабилността Съвместимост Път на въвеждане Библиография Pdf
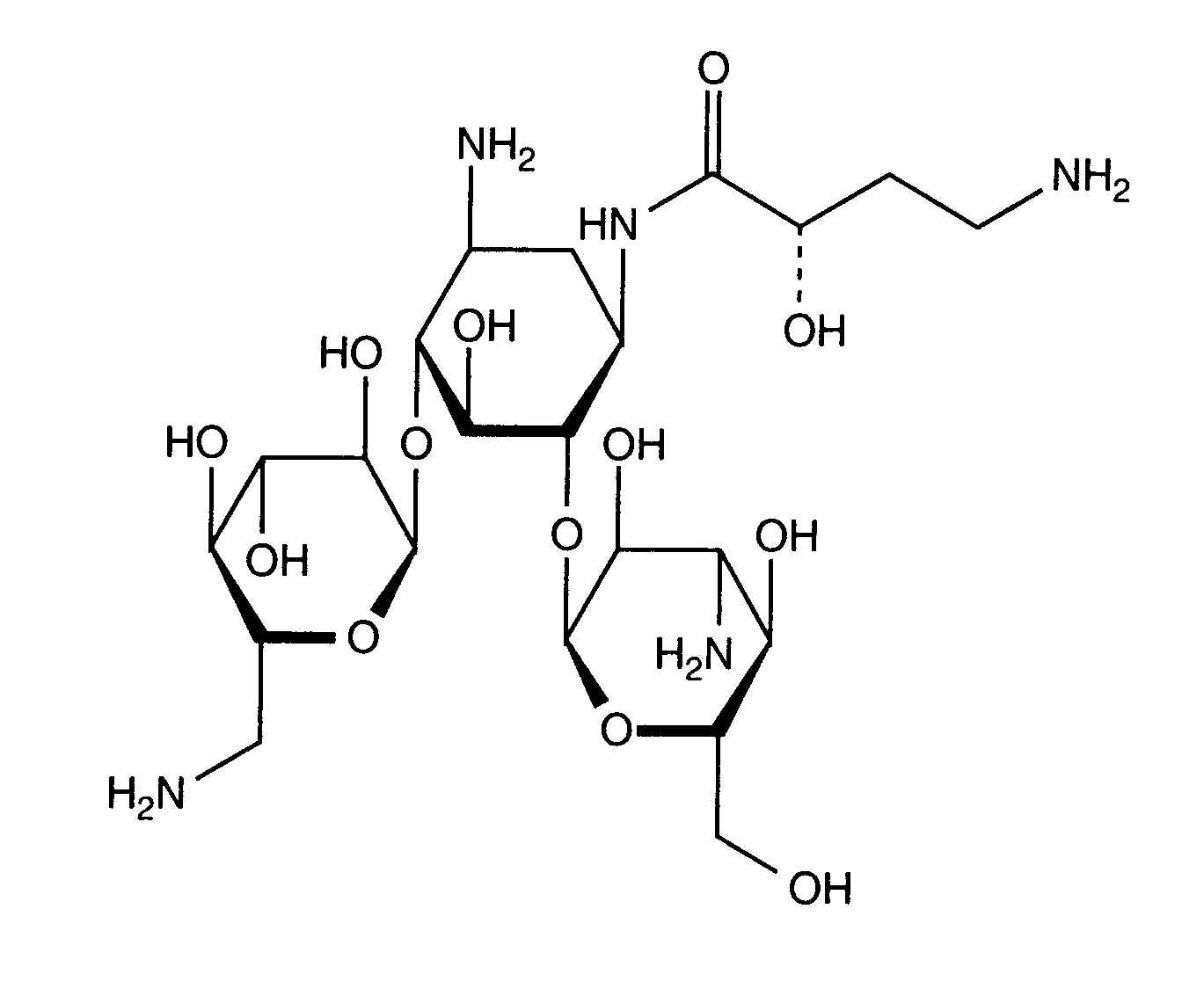
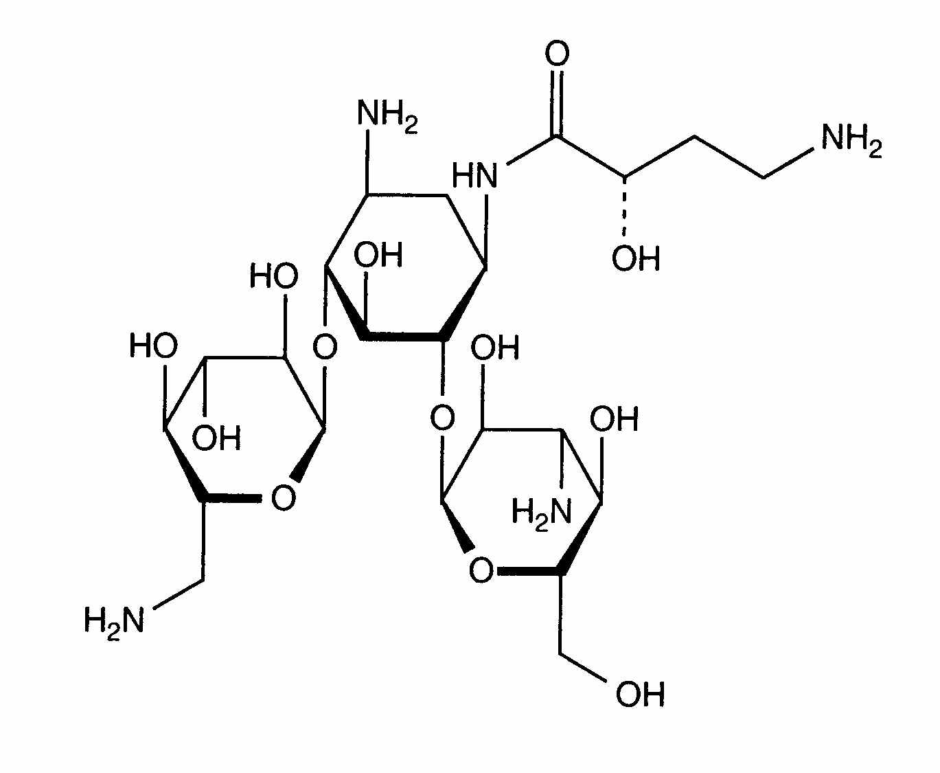
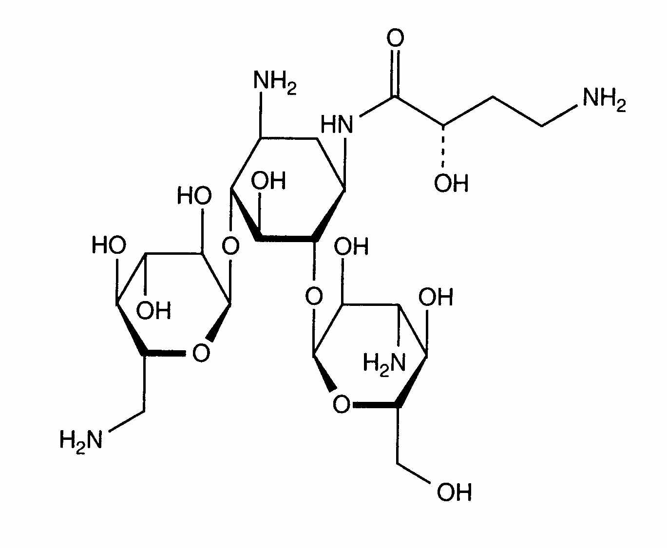
   Химична структура  

Търговско наименование   Търговско наименование     

Търговските имена са примерни и съставът на помощните вещества може да бъде различен в зависимост от държавата и лабораториите

Adnet Индия
Agnicin Мексико
Akamin Еквадор
Akim Еквадор
Amicacil Бразилия
Amicilon Бразилия
Amicin Малайзия
Amicip Венецуела
Amijeksin Турция
Amikabiot Еквадор, Перу
Amikacin Великобритания, Германия, Египет, Иран, Канада, Малайзия, нова Зеландия, Саудитска Арабия, Съединени Американски щати / САЩ
Amikacina Аржентина, Венецуела, Еквадор, Испания, Италия, Колумбия, Мексико, Перу, Чили
Amikacine Белгия, Мароко, Франция, Холандия
Amikafur Мексико
Amikagram Перу
Amikalem Мексико
Amikamed Перу
Amikamek Перу
Amikan Италия
Amikavax Венецуела
Amikaver Турция
Amikayect Мексико
Amikem Перу
Amiketem Турция
Amikin Австралия, Бразилия, Великобритания, Египет, Еквадор, Ирландия, Колумбия, Мексико, Перу, Полша, Саудитска Арабия, Съединени Американски щати / САЩ, Тунис, Унгария, Швейцария
Amiklin Турция, Франция
Amikosit Румъния, Тунис, Турция
Amikram Перу
Amukin Белгия, Люксенбург, Холандия
Apalin Малайзия
Baxi K Мексико, Чили
Behcacin Венецуела, Индия
Belka Индия
Biclin Австрия, Германия, Испания, Мексико, Португалия, Финландия, Швеция
Biodacyna Полша
Biokacin Мексико
Briklin Гърция
Cadicin Индия
Chemacin Италия
Cikabit Индия
Cinamica Индия
Cinas Индия
Consumonit Гърция
Domak Индия
Doxocar Аржентина
Elcin Индия
Elmik Индия
Emcin Индия
Emica Индия
Farcyclin Гърция
Flexelite Гърция
Greini Аржентина
Ipacin Иран
Itukacin Перу
Kancin Гърция
Lanomycin Гърция
Lukadin Италия
Masmika Индия
Mediamik Италия
Micalpha Гърция
Micigen Мексико
Migracin Италия
Mikacin Саудитска Арабия
Nekacin Италия
Novamin Бразилия
Orlobin Гърция
Remikin Гърция
Rovericlin Гърция
Uzix Гърция

Фактори, повлияващи стабилността   Инжекция/Инжекционен   Фактори, повлияващи стабилността : Amikacin sulfate        
Няма данни

  Mentions Légales