Cập nhật lần cuối :
18/03/2026
Kháng sinh   Tobramycin sulfate  
Dạng tiêm
Dung dịch uống Khí dung Thuốc nhỏ mắt
Tính ổn định của các dung dịch Độ ổn định khi trộn lẫn Những yếu tố ảnh hưởng đến độ ổn định Khả năng tương thích Đường dùng Tài liệu tham khảo Pdf
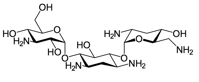
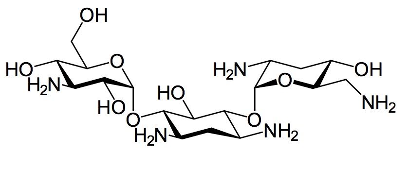
   Cấu trúc hóa học  

Tên thương mại   Tên thương mại     

Các tên thương mại được cung cấp và thành phần tá dược có thể khác nhau giữa các quốc gia và các hãng dược

Bactob Ấn Độ
Beltob Ấn Độ
Bramicil Ý
Brulamycin Hungary, Malaysia, Slovenia
Eltol Ấn Độ
Fytobra Ấn Độ
Gernebcin Đức
Komitob Ấn Độ
Nebcin Ả Rập, Ả Rập Saudi, Anh, Hy Lạp, new zealand, United Arab Emirates
Nebcina Morocco, Na Uy, Thụy Điển, Đan Mạch
Nebcine Morocco, Pháp, Slovenia
Nebicina Ý
Obracin Bỉ, Hà Lan, Luxembourg, Thụy Sỹ
Tobracin Ả Rập, Ả Rập Saudi, Brazil
Tobramicina Argentina, Bồ Đào Nha, Brazil, Chile, Colombia, Ecuador, Tây Ban Nha, Ý
Tobramina Brazil
Tobramycin Ả Rập Saudi, Anh, Canada, Hoa Kỳ, Ireland, Na Uy, Úc, Đức
Tobramycine Hà Lan, Ireland, Pháp
Tobrasix Áo
Tobrazid Đức
Đường dùng   Đường dùng :Tobramycin sulfate     
Đường dùng
Tiêm tĩnh mạch
Truyền tĩnh mạch
Tiêm bắp
Tiêm vào trong não thất
Truyền dưới da

  Mentions Légales