最新更新 :
18/03/2026
抗菌薬   Tobramycin sulfate  
注射薬
エアロゾル 点眼薬 経口液
溶媒内の安定性 混合時の安定性 安定性に影響する因子 互換性 投与経路 引用文献 PDF
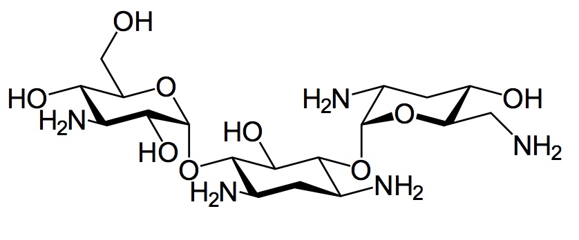
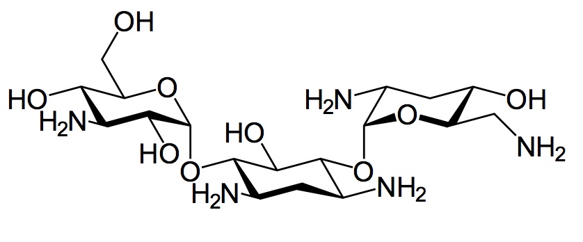
   化学構造  

商品名   商品名     

商品名、賦形剤は国、製薬会社ごとに異なることがあります

Bactob インド
Beltob インド
Bramicil イタリア
Brulamycin スロベニア, ハンガリー, マレーシア
Eltol インド
Fytobra インド
Gernebcin ドイツ
Komitob インド
Nebcin アラブ首長国連邦, イギリス, エジプト, ギリシア, サウジアラビア, ニュージーランド
Nebcina スウェーデン, デンマーク, ノルウェー, モロッコ
Nebcine スロベニア, フランス, モロッコ
Nebicina イタリア
Obracin オランダ, スイス, ベルギー, ルクセンブルグ
Tobracin エジプト, サウジアラビア, ブラジル
Tobramicina アルゼンチン, イタリア, エクアドル, コロンビア, スペイン, チリ, ブラジル, ポルトガル
Tobramina ブラジル
Tobramycin アイルランド, アメリカ, アーストラリア, イギリス, カナダ, サウジアラビア, ドイツ, ノルウェー
Tobramycine アイルランド, オランダ, フランス
Tobrasix オーストリア
Tobrazid ドイツ
投与経路   投与経路 :Tobramycin sulfate     
経路
静脈内
点滴静注
筋肉注射
脳室内
皮下注射

  Mentions Légales