viimane versioon :
18/03/2026
antibiootikum   Tobramycin sulfate  
Süsteravim
aerosool Silmatilgad suukaudne lahus
Stabiilsus lahustes Stabiilsust mõjutavad tegurid stabiilsust mõjutavad faktorid Sobimatus Manustamis viis Viited pdf
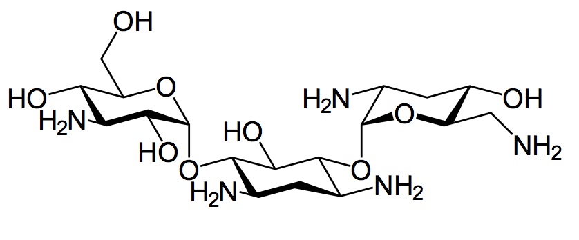
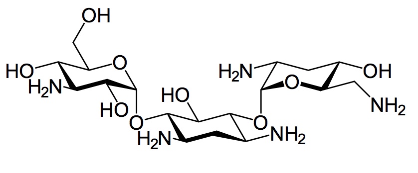
   keemiline struktuur  

Kaubanduslikud nimed erinevates maades   Kaubanduslikud nimed erinevates maades     

Preparaatide nimed on näitlikud ja abianete sisaldus võib erineda sõltuvalt riigist ja laborist

Bactob India
Beltob India
Bramicil Itaalia
Brulamycin Malaisia, Sloveenia, Ungari
Eltol India
Fytobra India
Gernebcin Saksamaa
Komitob India
Nebcin Araabia Ühendemiraadid, Egiptus, Kreeka, Saudi Araabia, Suurbritannia, uus-Meremaa
Nebcina Maroko, Norra, Rootsi, Taani
Nebcine Maroko, Prantsusmaa, Sloveenia
Nebicina Itaalia
Obracin Belgia, Holland, Luksemburg, Sveits
Tobracin Brasiilia, Egiptus, Saudi Araabia
Tobramicina Argentiina, Brasiilia, Ecuador, Hispaania, Itaalia, Kolumbia, Portugal, Tšiili
Tobramina Brasiilia
Tobramycin Ameerika ühendriigid, Austraalia, Iirimaa, Kanada, Norra, Saksamaa, Saudi Araabia, Suurbritannia
Tobramycine Holland, Iirimaa, Prantsusmaa
Tobrasix Austria
Tobrazid Saksamaa
Manustamis viis   Manustamis viis :Tobramycin sulfate     
Voie
intravenoosne
intravenoosne infusioon
intramuskulaarne
intraventrikulaarne
subkutaanne infusioon

  Mentions Légales