Останнє оновлення :
18/03/2026
Антибіотик   Tobramycin sulfate  
ін'єкція
аерозоль Очні краплі Розчин для перорального застосування
Стійкість в розчинах Стійкість сумішей Фактори, що впливають на стабільність Сумісність Шлях введення Список літератури pdf
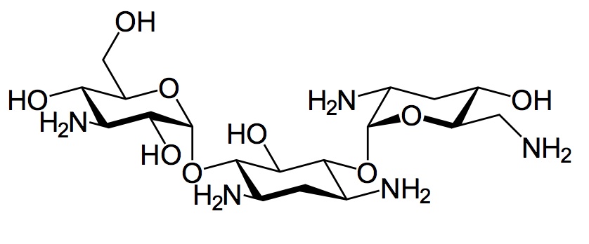
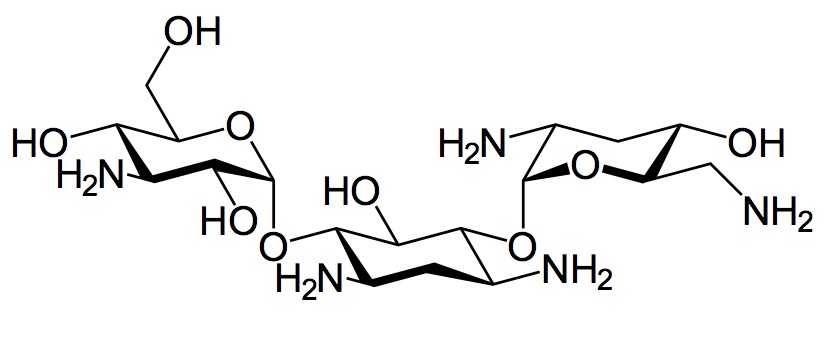
   Хімічна структура  

Торгова назва   Торгова назва     

Торгові назви є орієнтовними, а склад допоміжних речовин може бути різним залежно від країни та виробника

Bactob Індія
Beltob Індія
Bramicil Італія
Brulamycin Малайзія, Словенія, Угорщина
Eltol Індія
Fytobra Індія
Gernebcin Німеччина
Komitob Індія
Nebcin Єгипет, Великобританія, Греція, Нова Зеландія, Об'єднані Арабські Емірати, Саудівська Аравія
Nebcina Данія, Марокко, Норвегія, Швеція
Nebcine Марокко, Словенія, Франція
Nebicina Італія
Obracin Бельгія, Люксембург, Нідерланди, Швейцарія
Tobracin Єгипет, Бразилія, Саудівська Аравія
Tobramicina Іспанія, Італія, Аргентина, Бразилія, Еквадор, Колумбія, Португалія, Чилі
Tobramina Бразилія
Tobramycin Ірландія, Австралія, Великобританія, Канада, Німеччина, Норвегія, Саудівська Аравія, Сполучені Штати Америки
Tobramycine Ірландія, Нідерланди, Франція
Tobrasix Австрія
Tobrazid Німеччина
Шлях введення   Шлях введення :Tobramycin sulfate     
Маршрут
Внутрішньовенне
Внутрішньовенне вливання
Внутрішньом'язове
Внутрішньошлуночкові
Підшкірна інфузія

  Mentions Légales