Последнее обновление :
18/03/2026
Антибиотик   Tobramycin sulfate  
Инъекция
Аэрозоль Глазные капли Раствор для перорального приёма
Стабильность растворов Стабильность смесей Факторы, которые влияют на стабильность Совместимость Способы введения Библиография pdf
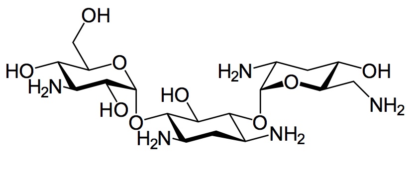
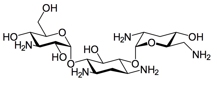
   Химическая структура  

Товарное название   Товарное название     

Trade names are indicative and excipients composition can be different depending on the country and manufacturers

Bactob Индия
Beltob Индия
Bramicil Италия
Brulamycin Венгрия, Малайзия, Словения
Eltol Индия
Fytobra Индия
Gernebcin Германия
Komitob Индия
Nebcin Великобритания, Греция, Египет, новая Зеландия, Объединенные Арабские Эмираты, Саудовская Аравия
Nebcina Дания, Марокко, Норвегия, Швеция
Nebcine Марокко, Словения, Франция
Nebicina Италия
Obracin Бельгия, Голландия, Люксембург, Швейцария
Tobracin Бразилия, Египет, Саудовская Аравия
Tobramicina Аргентина, Бразилия, Испания, Италия, Колумбия, Португалия, чили, Эквадор
Tobramina Бразилия
Tobramycin Австралия, Великобритания, Германия, Ирландия, Канада, Норвегия, Саудовская Аравия, Соединённые Штаты Америки
Tobramycine Голландия, Ирландия, Франция
Tobrasix Австрия
Tobrazid Германия
Способы введения   Способы введения :Tobramycin sulfate     
Voie
Интравенный, внутривенный
Интравенная, внутривенная инфузия
Внутримышечный
Интравентрикулярный
Подкожная инфузия

  Mentions Légales