Cập nhật lần cuối :
18/03/2026
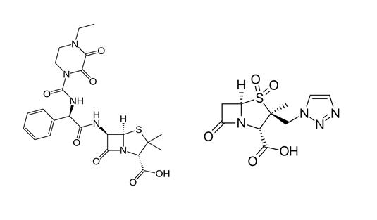
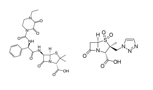
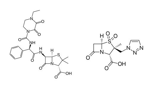
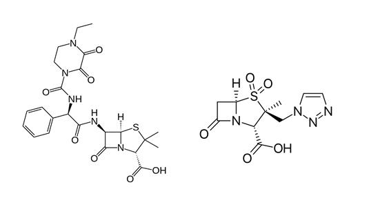
Kháng sinh   Piperacillin sodium / tazobactam  
Dạng tiêm
Tính ổn định của các dung dịch Độ ổn định khi trộn lẫn Những yếu tố ảnh hưởng đến độ ổn định Khả năng tương thích Đường dùng Tài liệu tham khảo Pdf
   Cấu trúc hóa học  

Tên thương mại   Tên thương mại     

Các tên thương mại được cung cấp và thành phần tá dược có thể khác nhau giữa các quốc gia và các hãng dược

Bagotaz Argentina
Betampil Ecuador
Bioval Chile
Petezam Argentina
Piperac Đức
Piperacillin tazobactam Bỉ, Canada, Đức
Piperazam Brazil
Pipetazo Chile
Pipitaz Áo
Pixamol Colombia
Tazobac Bồ Đào Nha, Ecuador, Thụy Sỹ, Ý
Tazocel Tây Ban Nha
Tazocilline Pháp
Tazocin Ả Rập, Anh, Argentina, Ba Lan, Bắc ireland, Brazil, Colombia, Cộng hòa Nam Phi, Croatia, Hà Lan, Hungary, Hy Lạp, Luxembourg, Mexico, Na Uy, new zealand, Peru, Phần Lan, Thổ Nhĩ Kỳ, Thụy Điển, Úc, United Arab Emirates, Ý, Đan Mạch
Tazonam Áo, Chile
Tazopip Úc
Tazpen Colombia, Mexico
Tazrobida Colombia
Tigux Chile
Tratac Chile
Trital Ecuador
Zosyn Hoa Kỳ, Nhật
Đường dùng   Đường dùng :Piperacillin sodium / tazobactam     
Đường dùng
Truyền tĩnh mạch

  Mentions Légales