Utolsó frissítés :
18/03/2026
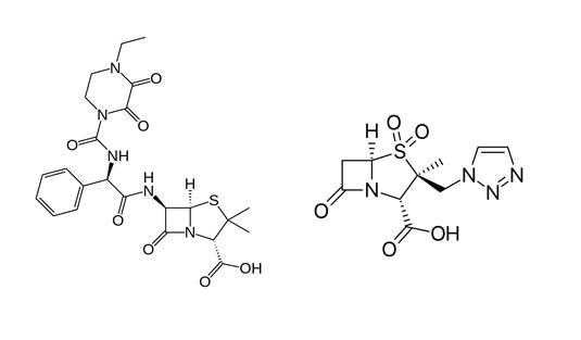
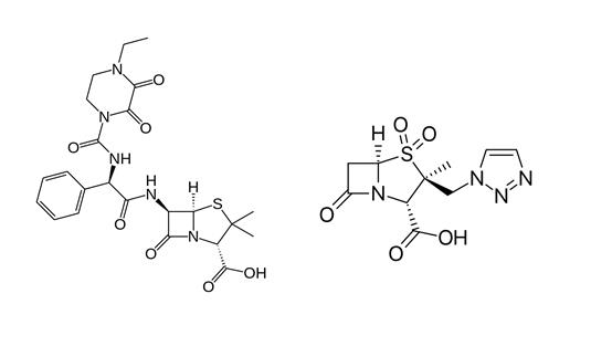
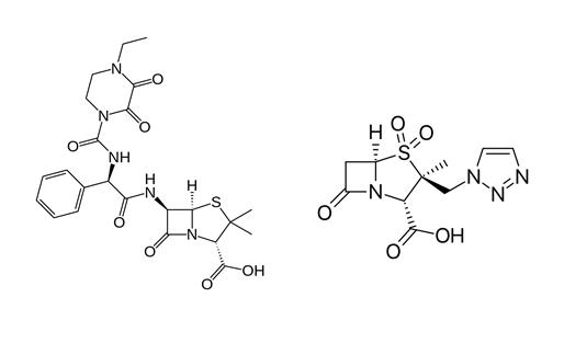
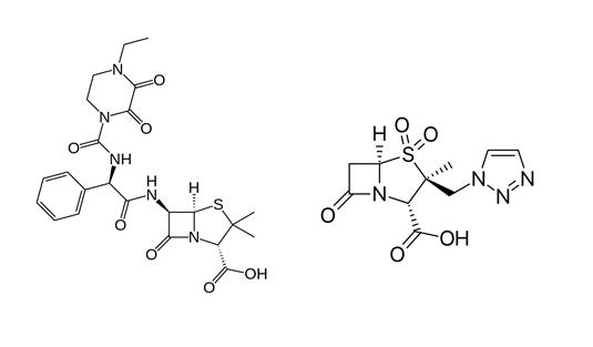
Antibiotikum   Piperacillin sodium / tazobactam  
Injekció
Az oldatok stabilitása A keverékek stabilitása Stabilitást befolyásoló tényezők Kompatibilitás Az alkalmazás módja Irodalom pdf
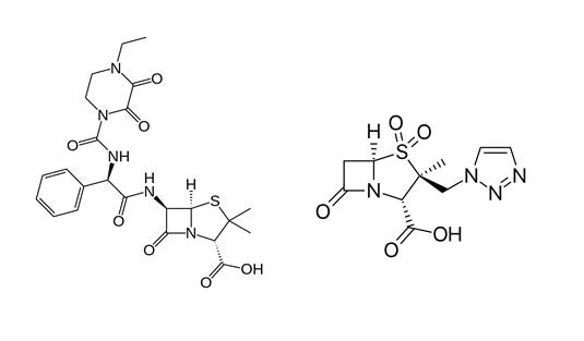
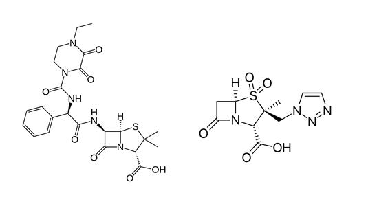
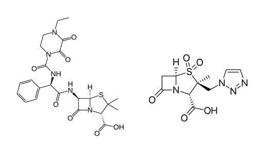
   Kémiai szerkezet   

Kereskedelmi név   Kereskedelmi név     

A kereskedelmi név meghatározó jelentőségű: a készítmények összetétele országonként, előállítóként eltérő lehet

Bagotaz Argentína
Betampil Ecuador
Bioval Chile
Petezam Argentína
Piperac Németország
Piperacillin tazobactam Belgium, Kanada, Németország
Piperazam Brazília
Pipetazo Chile
Pipitaz Ausztria
Pixamol Colombia
Tazobac Ecuador, Olaszország, Portugália, Svájc
Tazocel Spanyolország
Tazocilline Franciaország
Tazocin Argentína, Ausztrália, Brazília, Colombia, Dánia, Dél-Afrikai Köztársaság, Egyesült Arab Emírségek, Egyiptom, Észak-Írország, Finnország, Görögország, Hollandia, Horvátország, Lengyelország, Luxemburg, Magyarország, Mexikó, Nagy-Britannia, Norvégia, Olaszország, Peru, Svédország, Törökország, új-Zéland
Tazonam Ausztria, Chile
Tazopip Ausztrália
Tazpen Colombia, Mexikó
Tazrobida Colombia
Tigux Chile
Tratac Chile
Trital Ecuador
Zosyn Amerikai Egyesült Államok, Japán
Az alkalmazás módja   Az alkalmazás módja :Piperacillin sodium / tazobactam     
Voie
Intravénás infúzió

  Mentions Légales