Zadnji put ažurirano :
18/03/2026
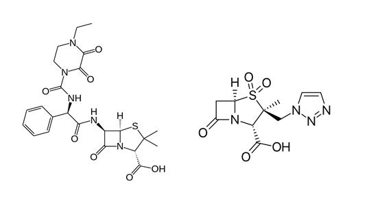
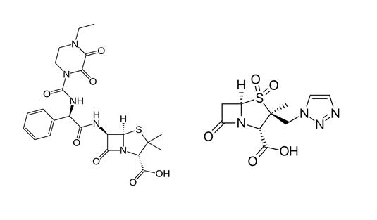
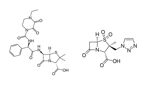
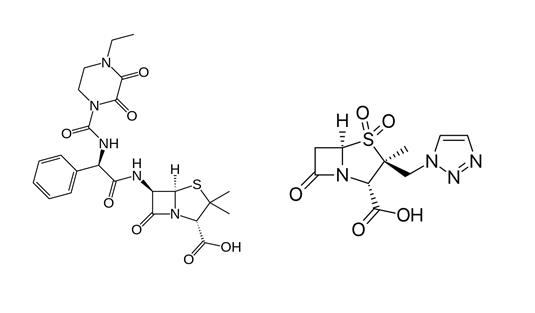
antibiotik   Piperacillin sodium / tazobactam  
injekcija
Stabilizacija rješenja Stabilnost mješavine Stabilizacijski faktor Kompatibilnosti način davanja lijeka Bibliografija pdf
   Kemijska struktura  

Nekomercijalni   Nekomercijalni     

Zaštićeni nazivi su indikativni i sastav ekscipijensa može biti različit ovisno o državi i laboratorijima

Bagotaz Argentina
Betampil Ekvador
Bioval Čile
Petezam Argentina
Piperac Njemačka
Piperacillin tazobactam Belgija, Kanada, Njemačka
Piperazam Brazil
Pipetazo Čile
Pipitaz Austrija
Pixamol Kolumbija
Tazobac Ekvador, Italija, Portugal, Švicarska
Tazocel Španjolska
Tazocilline Francuska
Tazocin Argentina, Australija, Brazil, Danska, Egipat, Finska, Grčka, Hrvatska, Italija, Južna Afrika, Kolumbija, Luksemburg, Madžarska, Meksiko, Nizozemska, Norveška, novi Zeland, Peru, Poljska, Sjeverna Irska, Švedska, Turska, Ujedinjeni Arapski Emirati, Velika Britanija
Tazonam Austrija, Čile
Tazopip Australija
Tazpen Kolumbija, Meksiko
Tazrobida Kolumbija
Tigux Čile
Tratac Čile
Trital Ekvador
Zosyn Japan, S A D
način davanja lijeka   način davanja lijeka :Piperacillin sodium / tazobactam     
Voie
intravenozna infuzija

  Mentions Légales