zadnja posodobitev :
18/03/2026
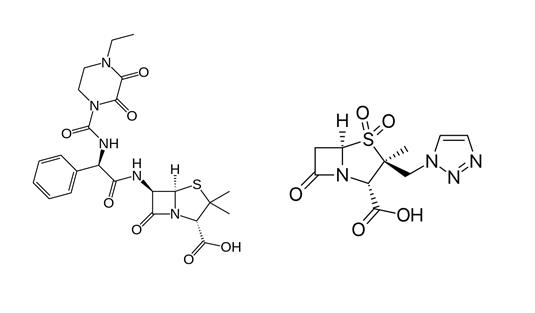
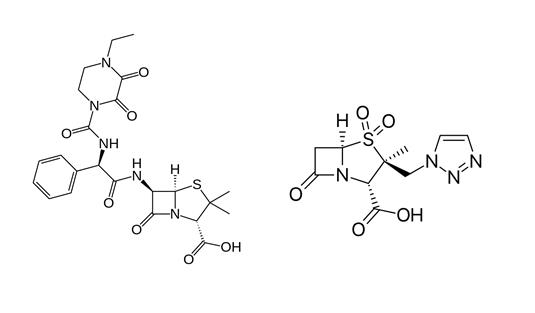
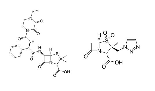
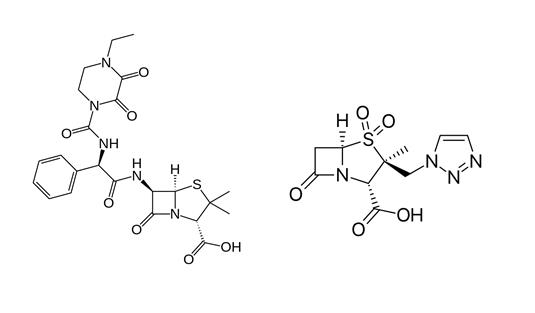
Antibiotik   Piperacillin sodium / tazobactam  
Brizgalka
Stabilnost raztopine Stabilnost mešanice Faktorji, ki vplivajo na stabilnost Kompatibilnost način aplikacije Viri pdf
   Kemična formula  

Lastniško ime   Lastniško ime     

Sestava pomožnih snovi je med paralelami lahko različna

Bagotaz Argentina
Betampil Ekvador
Bioval Čile
Petezam Argentina
Piperac Nemčija
Piperacillin tazobactam Belgija, Kanada, Nemčija
Piperazam Brazilija
Pipetazo Čile
Pipitaz Avstrija
Pixamol Kolumbija
Tazobac Ekvador, Italija, Portugalska, Švica
Tazocel Španija
Tazocilline Francija
Tazocin Argentina, Avstralija, Brazilija, Danska, Egipt, Finska, Grčija, Hrvaška, Italija, Južnoafriška republika, Kolumbija, Luksemburg, Madžarska, Mehika, Nizozemska, Norveška, nova Zelandija, Peru, Poljska, Severna irska, Švedska, Turčija, Velika Britanija, Združeni arabski emirati
Tazonam Avstrija, Čile
Tazopip Avstralija
Tazpen Kolumbija, Mehika
Tazrobida Kolumbija
Tigux Čile
Tratac Čile
Trital Ekvador
Zosyn Japonska, Združene države Amerike
način aplikacije   način aplikacije :Piperacillin sodium / tazobactam     
Voie
Intravenska infuzija

  Mentions Légales