Senaste uppdateringen :
18/03/2026
Antibiotikum   Piperacillin sodium / tazobactam  
injektion
Lösningars stabilitet Stabilitet i blandningar Faktorer som påverkar stabiliteten Kompatibilitet Administreringssätt Hänvisningar pdf
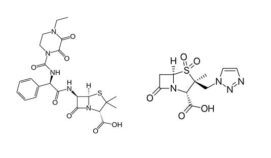
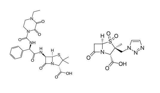
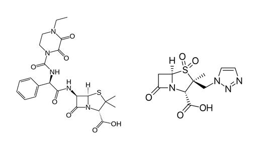
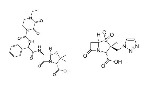
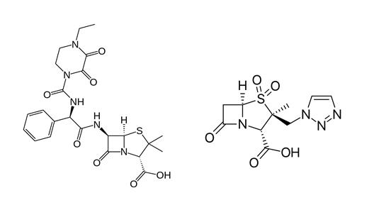
   Molekylstruktur  

Varunamn   Varunamn     

Angivna handelsnamn på läkemedel är enbart vägledande då formulering inklusive hjälpämnen kan variera mellan länder och tillverkare

Bagotaz Argentina
Betampil Ecuador
Bioval Chile
Petezam Argentina
Piperac Tyskland
Piperacillin tazobactam Belgien, Kanada, Tyskland
Piperazam Brasilien
Pipetazo Chile
Pipitaz Österrike
Pixamol Colombia
Tazobac Ecuador, Italien, Portugal, Schweiz
Tazocel Spanien
Tazocilline Frankrike
Tazocin Argentina, Australien, Brasilien, Colombia, Danmark, Egypten, Finland, Förenade Arabemiraten, Grekland, Italien, Kroatien, Luxemburg, Mexiko, Nederländerna, Nordirland, Norge, nya Zeeland, Peru, Polen, Storbritannien, Sverige, Sydafrikanska republiken, Turkiet, Ungern
Tazonam Chile, Österrike
Tazopip Australien
Tazpen Colombia, Mexiko
Tazrobida Colombia
Tigux Chile
Tratac Chile
Trital Ecuador
Zosyn Förenta Staterna, Japan
Administreringssätt   Administreringssätt :Piperacillin sodium / tazobactam     
Voie
Intravenös infusion

  Mentions Légales