آخر تحديث :
18/03/2026
مضاد حيوي   Piperacillin sodium / tazobactam  
حقن
الاستقرار في حلول استقرار مخاليط العوامل التي تؤثر على الاستقرار التوافق طريقة التعاطي مراجع pdf
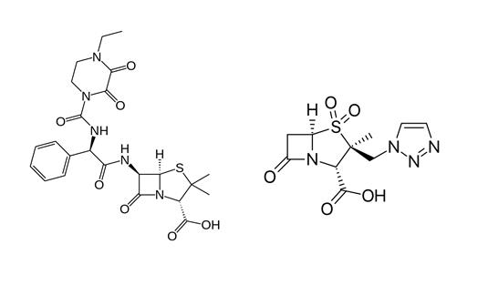
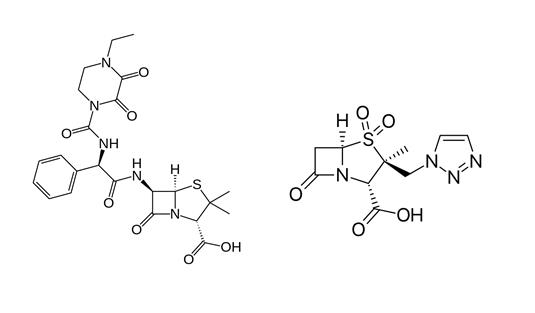
   التركيب الكيميائي  

حجز الاسم التجاري   حجز الاسم التجاري     

تحذير الأسماء التجاريه المختلفه قد تحتوي علي محتوي إضافات مختلفة حسب الدوله و المعمل

Bagotaz الأرجنتين
Betampil الإكوادور
Bioval تشيلي
Petezam الأرجنتين
Piperac ألمانيا
Piperacillin tazobactam ألمانيا, بلجيكا, كندا
Piperazam البرازيل
Pipetazo تشيلي
Pipitaz النمسا
Pixamol كولومبيا
Tazobac إيطاليا, الإكوادور, البرتغال, سويسرا
Tazocel إسبانيا
Tazocilline فرنسا
Tazocin أستراليا, إيرلندا الشمالية, إيطاليا, الأرجنتين, الإمارات العربية المتحدة, البرازيل, الدنمارك, السويد, المكسيك, النرويج, بريطانيا العظمي, بولندا, بيرو, تركيا, جمهورية جنوب أفريقيا, زيلاندا الجديدة, فنلندا, كرواتيا, كولومبيا, لوكسمبورغ, مصر, هنغاريا, هولندا, يونان
Tazonam النمسا, تشيلي
Tazopip أستراليا
Tazpen المكسيك, كولومبيا
Tazrobida كولومبيا
Tigux تشيلي
Tratac تشيلي
Trital الإكوادور
Zosyn الولايات المتحدة, اليابان
طريقة التعاطي   طريقة التعاطي :Piperacillin sodium / tazobactam     
Voie
الحقن الوريدي   المستمر

  Mentions Légales