|
|
Lastniško ime |
|
|
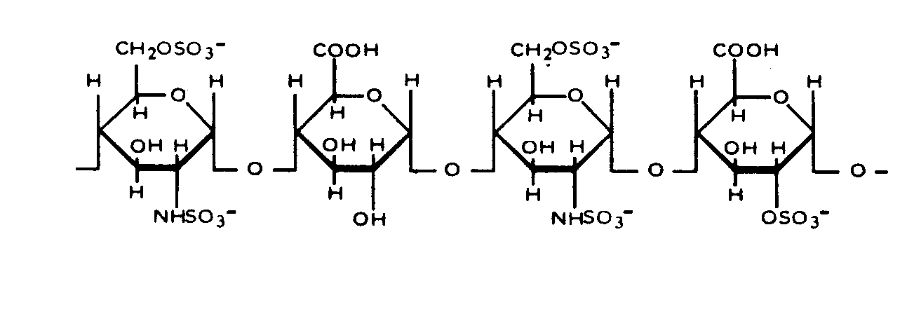
Sestava pomožnih snovi je med paralelami lahko različna
|
|
Arapin |
Čile |
|
Ateroclar |
Italija |
|
Clarisco |
Italija |
|
Epsoclar |
Italija |
|
Hepaflex |
Finska, Norveška |
|
Hepamax |
Čile, Ekvador, Kolumbija |
|
Heparin |
Avstrija, Danska, Finska, Grčija, Jugoslavija, Južnoafriška republika, Kanada, Madžarska, Nizozemska, Norveška, ruščina, Švedska, Švica, Tajska, Turčija, Velika Britanija, Združene države Amerike |
|
Heparine |
Belgija, Francija |
|
Heparinised |
Avstralija |
|
Heparstad |
Nemčija |
|
Liquemin |
Švica, Turčija |
|
Liquemine |
Brazilija |
|
Monoparin |
Savdska Arabija |
|
Normoparin |
Italija |
|
Nuparin |
Ekvador |
|
Pharepa |
Italija |
|
Riveparin |
Argentina |
|
Sobrius |
Argentina, Ekvador |
|
Thrombophob |
Nemčija |
|
|